Opakovatelnost koeficient opakovatelnosti Korelace genetick prosteov a fenotypov




















- Slides: 20
Opakovatelnost (koeficient opakovatelnosti) Korelace genetická, prostřeďová a fenotypová Karel Mach
R, rop. . . též možno
Typy opakovatelnosti 1. ) O. s věkem n 2. ) O. pořadí (rangů) n 3. ) O. částečná část. . . celek část…část n 4. ) O. prostorová n 5. ) O. prostřeďová n ---- -- -------
Metody výpočtu 1. ) pomocí rx 1 x 2. . . známe-li 2 opakování opakovatelnost pro 1 -4; 2. . . R (pořadová korelace) n 2. ) Pomocí analýzy rozptylu…známe-li 3 a více opakování pro 1, 3, 4 n ¨ Jedinec ¨ 1. . . . x 11 x 12 x 13 ¨ 2. . . . x 21 x 22 x 23 ¨ 3. . . . x 31 x 32 x 33
3. ) O. prostřeďová
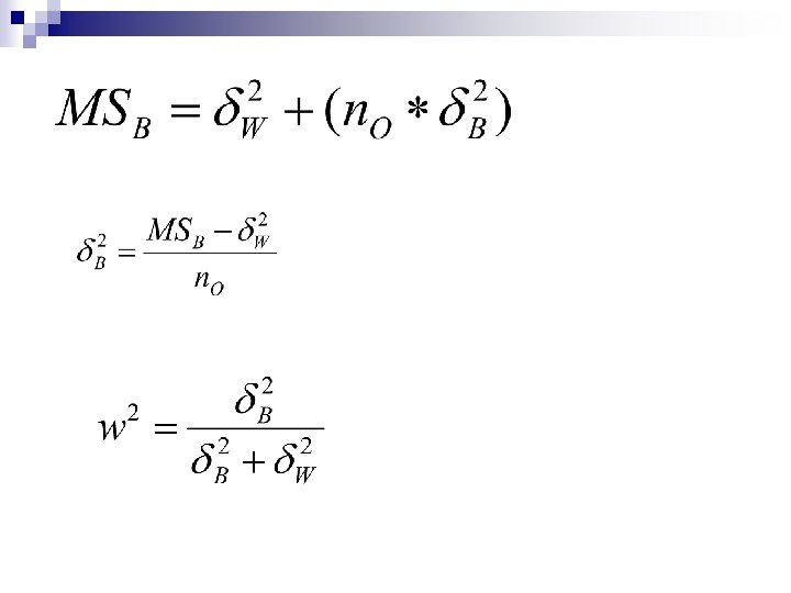
Rozdíl: dědivost opakovatelnost Analýza rozptylu Anylýza rozptylu h 2 w 2 Třída (faktor) rozď. stat. soub. příb. vztah jedinci Jednotl. prom. Užitkovost jednotlivých zvířat Jed. opakov. téže užitk. u jed. zvířat
h 2. . . б 2 B mezi skupinami příb. jed. (rodinami) n h 2. . . б 2 W skupin příb. jed. (rodin) n w 2. . . б 2 B mezi jedinci n w 2. . . б 2 w uvnitř jedinců n
Uplatnění w 2 n 1. ) Předpověď následné užitkovosti ¨ vys. n w 2 prvé (prvá)opak. = opakov. následující 2. )Stanovení geneticky podmíněné užitkové hodnoty jedince
n 3. ) Hrubý odhad dědivosti ¨ w 2≥h 2 n horní hranice 4. )Zpřesnění hodnoty h 2 a. )zjištění hodnoty h 2 za větší počet opakování
Zjištění hodnoty h 2 z většího počtu opakování pro opakování jedno
n Koeficienty korelace r. G Gx h r. Gx. Gy r. E r. P Gy h x y r. Pxy e e Ex Ey r. Ex. Ey
Příčiny genetických korelací n 1. ) Pleiotropní účinek polygenů ¨ vlastnosti x y: část souboru polygenů pro vlastnost x a y je společných n 2. ) Vazba vloh ¨ geny pro vlastnosti x a y uloženy na jednom chromozomovém páru tzn. v jedné vazbové skupině
Výpočet r. G r. E r. P a. ) pomocí analýzy kovariance b. ) Hazelova metoda. . . výpočet r. G
Podstata r. E (přesněji r. Ex. Ey) odpověď na otázku. . . zda soubor stejných vlivů vnějšího prostředí ovlivňuje ve stejném směru a stejně intenzivně obě vlastnosti (příklady) n r. Gxy a r. Exy. . . často se mohou lišit velikostí i znaménkem n
Ve šlechtění nemůže být r. G nahrazena r. E (zpravidla ani r. P) Příklady: index tvaru vajec – hmotnosti vajec ¨ r. G : ¨ r. P : ¨ r. E : +0, 22 - + 0, 40 +0, 003 - + 0, 10 -0, 07 - + 0, 85 živá hmotnost nosnic – hmotnost vajec ¨ r. G : ¨ r. P : ¨ r. E : +0, 20 - + 0, 30 +0, 40 - + 0, 70 +0, 60 - + 0, 70
Význam r. G: selekce vlastnosti y pomocí vlastnosti x n n x. . . pomocná vlastnost; resp. dvě užitkové vlastnosti y. . . užitková vlastnost -0, 5 0 +0, 5 Prakticky se jedná o výpočet ΔG (odhadovaný korelovaný selekční efekt) x, y. . . dvě různé vlastnosti. . . jedna vlastnost zjišťovaná dvěma způsoby Význam r. E. . . na úseku chovatelských opatření
Koeficienty korelace mezi výkonnosti, tělesnou stavbou a pohybem n n n n 45 koní (12 chladnokrevných, 32 teplokrevných) 2 chovy. . . Heřman. Městec Albertovec Výkonnost (x) rxy 0, 6255 0, 7426 KVH (y) rxz 0, 3302 0, 8151 Hloub. hrud. (z) ryz 0, 5585 0, 9207 Výkonnost Rychlost poh. Délka kroku (x) (y) (z) rxy rxz ryz 0, 0254 0, 4540 0, 7430 0, 6234 0, 5665 0, 6361
n n Značně problematické nalézt optimální exteriérový standard. Stavba těla částečně ovlivňuje funkci organismu při pracovním výkonu. Důležitost (dále): fyziologické funkce, temperament, charakter Nelze pro selekci jednostranně použít některého ze sledovaných tělesných rozměrů. . . i když některé dávají předpoklady k vyšším výkonům. Např. významný vztah délkových a šířkových rozměrů pánve (včetně délky bérce) k mechanice pohybu.
Děkuji Vám za pozornost!