ON E 0 TRANSITIONS IN HEAVY EVEN EVEN


















































































- Slides: 82
ON E 0 TRANSITIONS IN HEAVY EVEN – EVEN NUCLEI VLADIMIR GARISTOV, A. GEORGIEVA* Institute for Nuclear Research and Nuclear Energy, Sofia, Bulgaria, garistov@mail. ru *Institute of Solid Physics, Sofia, Bulgaria This work was partially supported by the Bulgarian National Foundation for Scientific Research under Grant Number № ДФНИ-Е 02/6 Sofia 2015
Scenario: To make You familiar with our approaches for the classification of the excited states energies with Jp = 0+ in the same nucleus Parabolic distribution and classification of the excited states within the Interacting Vector Bosons Model (IVBM) : energies with the same set of model parameters and also the estimation of the E 0 transition probabilities in this two approaches. Sofia 2015
Sofia 2015
Distribution function n
Exploration of the energy distributions of excited states with arbitrary Jp in the same nucleus Parabolic distribution En = a n – b n 2 +C In the case of Jp = 0+ C=0 Редкоземельные элементы: 58 Ce 60 Nd 62 Sm 64 Gd 66 Dy 68 Er 70 Yb Актиниды: 90 Th 92 U 94 Pu 96 Cm 98 Cf 100 Fm 102 No
Dy isotopes En = a n – b n 2
114 Cd
118 Sn
132 Ba
156 Gd
2. 9460 0(+), 1, 2, 3+ 3. 1789 0(+), 1, 2, 3(+) 3. 2120 0(+), 1, 2, 3+ 3. 3476 0(+), 1, 2, 3+ 3. 5050 0(+), 1, 2, 3+ 3. 5425 (0+), 1, 2, 3, 4(+) 3. 5590 0(+), 1, 2, 3(+) 3. 5795 0+, 1, 2, 3, 4+ 3. 6500 (0+), 1, 2, 3, 4(+) 3. 6985 (0+), 1, 2, 3, 4(+) 3. 8485 0(+), 1, 2, 3+ 3. 8595 0(+), 1, 2, 3(+) 3. 99254 0(+), 1, 2, 3+ 4. 0086 0(+), 1, 2, 3(+) 136 Ba Ambiguous spins data + 0 ? ? D = 1. 46471 Ke. V
We also had a chance to drag into this affair the experimentalists from JINR - Dubna: Adam J, Solnyshkin A. A. Islamov T. A. and ITEP – Moscow: Bogachenko D. D. , Egorov O. K. , Kolesnikov V. V. , Silaev V. I. . As a result – trusting in our predictions the two new 0+ states in 160 Dy has been observed.
Time to blow ones own trumpet
Observed transitions in 160 Dy 2503. 8 2+ 2297. 5 1952. 3 g 1594. 5 Ig=0. 8 K 1271. 0 IK=0. 024 0+ 0+ g 1822. 5 Ig=0. 24 2+ 0+ 0+ 2+ g 616. 2 0+ 160 Dy K 703 IK=0. 086 K 681. 3 IK=0. 024 g 594. 5 1708. 2 1456. 7 1280. 0 703. 0 681. 3 86. 8 0. 0 Adam J et. al. (2014) Bulg. J. Phys. } 41, 10– 23. Sofia 2015
Why did we impose the restrictions positive and integer classification parameter? To draw attention of theoreticians that work with the application of the group theory in nuclear physics Ana Georgieva, Michael Ivanov, Svetla Drenska, Nikolay Minkov, Huben Ganev, Kalin Drumev We found a suitable approach Interacting Vector Bosons Model (IVBM) Sofia 2015
Interacting Vector Bosons Model (IVBM) Peter Raychev, Roussy Roussev, Ana Georgieva Philosophy of this approach Georgieva A I, Raychev P and Roussev R, (1982) J. Phys. G: Nucl. Phys. , 8, 1377. Ganev H G, Garistov V P, Georgieva A I and Draayer J P, (2004), Phys. Rev. , C 70, 054317. Solnyshkin A A, Garistov V P, Georgieva A, Ganev H and Burov V V (2005) Phys. Rev. , C 72, 064321. Georgieva, A. I. , Ganev, H. G. , Draayer, J. P and Garistov V. P. , Physics of Elementary Particles and Atomic Nuclei, 40, 461 (2009). Garistov V P, Georgieva A I and Shneidman T M, (2013), Bulg. J. Phys. , 40, 1– 16 Adam J et. al. (2014) Bulg. J. Phys. } 41, 10– 23.
sp(4, R) and su(3) algebras are related through the u(2) su(2) u(1) algebra of the pseudo spin T, which is the same in both chains.
Classification of the excited states energies with arbitrary Jp within the same set of model parameters and also the estimation of the transition probabilities IVBM confirmed it’s advantages in description of the rotational bands energies. To bind our new clssification to the predetermined parameters obtained from the description of rotational bands’ energies To make the analysis of the structure of low lying excited states we need the description of several rotational bands.
Band’s energies Here K and N 0 marks the belonging to rotational band type
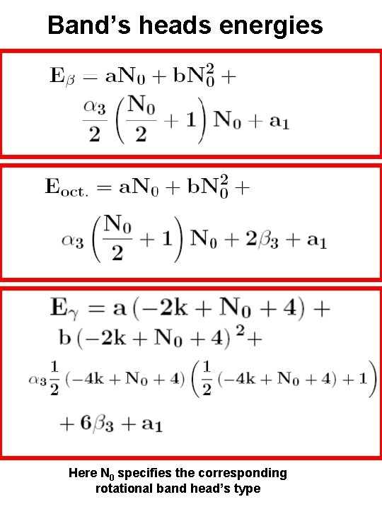
Band’s heads energies Here N 0 specifies the corresponding rotational band head’s type
Rotational β - band energies β - type band’s heads energies Here N 0 specifies the position of rotational band head N 0 = 2 , 4, 6, 8, …
IVBM
Band’s head energy
Garistov’s approach IVBM
Band’s head energy
IVBM 0+ states energies From b band 160 Gd
Band’s head energy Here N 0 specifies the corresponding rotational band head’s type and for Jp N 0 = 2 , 4, 6, 8, … = 0+
Parabola IVBM
Band’s head energy Here N 0 specifies the corresponding rotational band head’s type and for Jp N 0 = 2 , 4, 6, 8, … = 0+
IVBM 0+ states energies 160 Gd From b band
Band’s head energy
168 Yb
0+ a = 0. 485916 b = 0. 0275156 D=0. 002 Me. V E 0+ = a n – b n 2 IVBM 0+ states energy distribution 168 Yb
T a h k n ! u o Y
Band’s heads energies Here N 0 specifies the corresponding rotational band head’s type
3 beta 2++ 1 - gamma 2+
beta 2+ gamma 2+
Dy isotopes En = a n – b n 2 +c
160 Gd IVBM 2+ states energies From b band From g band
156 Gd IVBM 2+ states energies From g band From b band
152 Gd 2+ states
gamma beta
2→ 0 r 2/2000 DN=N DN=2 4→ 0 6→ 4 4→ 2 2→ 0 6→ 0 8→ 0
2+ beta 2+ gamma
N 0=4 N 0=0 N 0=10
Ambiguous Spin Data 168 Yb 2+ E 2+ = a n – b n 2 + c a = 0. 55132 b = 0. 0266917 c = - 0. 450742 D = 0. 002 Me. V
beta 2+ gamma 2+
3 beta 2++ 1 - gamma 2+
Ambiguous Spin Data 168 Yb 2+ E 2+ = a n – b n 2 + c a = 0. 55132 b = 0. 0266917 c = - 0. 450742 D = 0. 002 Me. V 168 Yb g type 2+ states b type 2+ states Ground band 2+ state
mutual complementarity of sp(4, R) with the so(3) sp(12, R) sp(4, R) so(3) ∩ u(6) u(2) su(3) sp(4, R) and su(3) algebras are related through the u(2) su(2) u(1) algebra of the pseudo spin T, which is the same in both chains. This permits an investigation of the behavior of low lying collective states with the same angular momentum L in respect to the number of excitations N that build these states.