OKLU REGRESYON MODEL Bir baml deikene etki eden
…ÇOKLU REGRESYON MODELİ… Bir bağımlı değişkene etki eden çok sayıda bağımsız değişkeni analize dahil ederek çoklu regresyon modeli uygulanabilir. Y=b 1 + b 2 X 2 + b 3 X 3 + u Y=b 1 + b 2 X 2 + b 3 X 3 +. . . + bk Xk + u EKKY varsayımları çoklu regresyon analizinde de geçerlidir.
…ÇOKLU REGRESYON MODELİ… Tütün Miktarı Gelir Fiyat 59. 20 65. 40 62. 30 64. 70 67. 40 64. 40 68. 00 73. 40 75. 70 70. 70 76. 2 91. 7 106. 7 111. 6 119. 0 129. 2 143. 4 159. 6 180. 00 193. 0 23. 50 24. 40 32. 10 32. 40 31. 10 34. 10 35. 30 38. 70 39. 60 46. 70
…ÖRNEK REGRESYON DENKLEMİ… Katsayıların Tahmini Normal Denklemler ile, Ortalamadan Farklar ile,
…NORMAL DENKLEMLER… SY=? , n , SX 2=? , SX 3=? , SYX 2= ? , SYX 3= ? , SX 22=? , SX 32=?
Tütün Miktarı Gelir Fiyat Y X 2 X 3 YX 2 YX 3 59. 20 76. 2 23. 50 4511. 04 1391. 20 65. 40 91. 7 24. 40 5997. 18 1595. 76 62. 30 106. 7 32. 10 6647. 41 1999. 83 64. 70 111. 6 32. 40 7220. 52 2096. 28 67. 40 119. 0 31. 10 8020. 60 2096. 14 64. 40 129. 2 34. 10 8320. 48 2196. 04 68. 00 143. 4 35. 30 9751. 20 2400. 40 73. 40 159. 6 38. 70 11714. 6 2840. 58 75. 70 180. 0 39. 60 13626. 0 2997. 72 70. 70 193. 0 46. 70 13645. 1 3301. 69 SY=671. 20 SX 2=1310. 40 SX 3=337. 90 SYX 2=89454. 17 SYX 2=22915. 64
X 2 X 3 1790. 70 2237. 48 3425. 07 3615. 84 3700. 90 4405. 72 5062. 02 6176. 52 7128. 00 9013. 10 SX 2 X 3=46555. 35 X 22 5806. 44 8408. 89 11384. 89 12454. 56 14161. 00 16692. 64 20563. 56 25472. 16 32400. 00 37249. 00 SX 22=184593. 14 X 32 552. 2 595. 3 1030. 41 1049. 76 967. 2 1162. 81 1246. 09 1497. 69 1568. 16 2180. 89 SX 32=22915. 64
…NORMAL DENKLEMLER…
…NORMAL DENKLEMLER… -131. 04/
…NORMAL DENKLEMLER… -33. 79/
…NORMAL DENKLEMLER… -5. 26 /
…NORMAL DENKLEMLER…
…NORMAL DENKLEMLER…
…ÖRNEK REGRESYON DENKLEMİ…
…ORTALAMADAN FARKLAR YOLUYLA… y=? , x 2=? , x 3=? Syx 2=? , Syx 3=? , Sx 22=? , Sx 32=?
…ORTALAMADAN FARKLAR… Tütün Miktarı Gelir Fiyat X 2 Y X 3 59. 20 76. 2 23. 50 65. 40 91. 7 24. 40 62. 30 106. 7 32. 10 64. 70 111. 6 32. 40 67. 40 119. 0 31. 10 64. 40 129. 20 34. 10 68. 00 143. 4 35. 30 73. 40 159. 6 38. 70 75. 70 180. 0 39. 60 70. 70 193. 0 46. 70 SY=671. 20 SX 2=1310. 40 SX 3=337. 90 y -7. 92 -1. 72 -4. 82 -2. 42 0. 28 -2. 72 0. 88 6. 28 8. 58 3. 58 x 2 -54. 84 -39. 34 -24. 34 -19. 44 -12. 04 -1. 84 12. 36 28. 56 48. 96 61. 96 x 3 -10. 29 -9. 39 -1. 69 -1. 39 -2. 69 0. 31 1. 51 4. 91 5. 81 12. 91
…ORTALAMADAN FARKLAR… yx 2 434. 3 67. 66 117. 3 47. 04 -3. 37 5. 00 10. 88 179. 3 420. 0 221. 8 yx 3 x 2 x 3 81. 50 16. 15 8. 15 3. 36 -0. 75 -0. 84 1. 33 30. 83 49. 85 46. 22 564. 3 369. 4 41. 13 27. 02 32. 39 -0. 57 18. 66 140. 2 284. 4 799. 9 x 22 3007. 43 1547. 64 592. 4 377. 9 144. 9 3. 39 152. 7 815. 6 2397. 08 3839. 04 x 32 105. 8 88. 17 2. 86 1. 93 7. 24 0. 10 2. 28 24. 11 33. 76 166. 67 Syx 2=1500. 12 Syx 3=235. 79 Sx 2 x 3=2276. 93 Sx 22=12878. 32 Sx 32 =432. 99
…ORTALAMADAN FARKLAR… -5. 26 /
…ORTALAMADAN FARKLAR…
…ORTALAMADAN FARKLAR…
…ÖRNEK REGRESYON DENKLEMİ… Tütün miktarı Gelir Fiyat
…ELASTİKİYETLERİN HESAPLANMASI… • Nokta Elastikiyet • Ortalama Elastikiyet
…NOKTA ELASTİKİYET… X 20 = 140 X 30 = 38
…NOKTA ELASTİKİYET… 0. 62 Tütünün gelir elastikiyeti
…NOKTA ELASTİKİYET… -0. 57 Tütünün fiyat elastikiyeti
…ORTALAMA ELASTİKİYET… = 0. 57 = -0. 49
…ÖRNEK REGRESYON DENKLEMİ…
…ÇOKLU REGRESYON MODELİNDE TAHMİNİN STANDART HATASI…
…VARYANS FORMÜLLERİNİN GENELLEŞTİRİLMESİ… 1) Tek açıklayıcı değişkenli model 2) İki açıklayıcı değişkenli model Bu ifadeler determinantla şöyle yazılabilir.
…VARYANS FORMÜLLERİNİN GENELLEŞTİRİLMESİ… Sapmalar biçiminde yazılmış iki açıklayıcı değişkenli modelin normal denklemleri şöyledir. (1) (2) Parantez içindeki terimler, örnek gözlemlerinden hesaplanmış determinantlardır ise bilinmeyenlerdir.
…VARYANS FORMÜLLERİNİN GENELLEŞTİRİLMESİ… (1) ve (2) nolu denklemin sağ tarafında yer alan bilinenler, determinant kalıbında yazılabilir. Her bir parametrenin varyansı, bu parametreye ilişkin minör determinantının (bütün) determinanta bölümünün İle çarpımıdır. Yani…
…VARYANS FORMÜLLERİNİN GENELLEŞTİRİLMESİ… (1) (2) için Ve. .
…VARYANS FORMÜLLERİNİN GENELLEŞTİRİLMESİ… için
…VARYANS FORMÜLLERİNİN GENELLEŞTİRİLMESİ… 3) Üç açıklayıcı değişkenli model Normal denklemin sağ tarafında görülen bilinen terimlerin determinantı şöyledir:
…VARYANS FORMÜLLERİNİN GENELLEŞTİRİLMESİ… Daha önce iki açıklayıcı değişkenli model için açıklanan işlemleri burada da yenilersek varyansları determinant cinsinden şöyle yazabiliriz. için:
…VARYANS FORMÜLLERİNİN GENELLEŞTİRİLMESİ…
…VARYANS FORMÜLLERİNİN GENELLEŞTİRİLMESİ…
…VARYANS FORMÜLLERİNİN GENELLEŞTİRİLMESİ… Katsayı tahminlerinin varyanslarını gösteren daha önceki ifadeler incelenecek olursa, şu genelleme yapılabilir. k sayıda açıklayıcı değişken içeren bir tahminlerinin varyansı iki determinantın oranından hesaplanabilir. modelin birbirine
…VARYANS FORMÜLLERİNİN GENELLEŞTİRİLMESİ… Örneğin nın varyansı aşağıdaki ifadedir.
…Çoklu Regresyon Modelinde Tahminin Standart Hatası… Tütün Gelir Y X 2 59. 20 76. 2 65. 40 91. 7 62. 30 106. 7 64. 70 111. 6 67. 40 119. 0 64. 40 129. 2 68. 00 143. 4 73. 40 159. 6 75. 70 180. 0 70. 70 193. 0 SY=671. 20 Fiyat e X 3 23. 50 24. 40 32. 10 32. 40 31. 10 34. 10 35. 30 38. 70 39. 60 46. 70 61. 30455 64. 91151 61. 72264 62. 84776 66. 26159 66. 28019 69. 21737 70. 58173 75. 60724 72. 42623 -2. 10 0. 49 0. 58 1. 85 1. 14 -1. 88 -1. 22 2. 82 0. 09 -1. 73 e 2 4. 429131 0. 238622 0. 333345 3. 430793 1. 295977 3. 535114 1. 48199 7. 942646 0. 008604 2. 97987 Se = 0. 04 0 Se 2 = 25. 68
…Çoklu Regresyon Modelinde Tahmincilerin Standart Hataları… =1. 9154 =0. 0637
…Çoklu Regresyon Modelinde Tahmincilerin Standart Hataları… =0. 3473
…Çoklu Belirlilik Katsayısı… = 0. 8879 0. 89 = 0. 11
…Düzeltilmiş Belirlilik Katsayısı… R 2 değeri yeni bağımsız değişken eklendiğinde daima artar, R 2 de payın değeri artarken payda aynı kalır. Bu sakıncayı ortadan kaldırabilmek için aşağıdaki düzeltilmiş belirlilik katsayısı hesaplanabilir: = 0. 86 Çoklu korelasyon katsayısı (R) : Y bağımlı değişkeni ile X bağımsız değişkenleri arasındaki ilişkinin derecesini göstermektedir.
…Basit Korelasyon Katsayıları… = 0. 8737 = 0. 7490 = 0. 9642
…Kısmi Korelasyon Katsayıları… İfadenin her iki yanı bölünürse
…Kısmi Korelasyon Katsayıları… X 2’nin Y’ye Toplam Etkisi = X 2’nin Y’ye Doğrudan Etkisi - X 2’nin Y’ye Dolaylı Etkisi
…Kısmi Korelasyon Katsayıları… =0. 8623 = -0. 7242 =0. 9612
…Kısmi Regresyon Parametrelerinin Ayrı Testi… 1. Aşama H 0: b 2 = 0 H 1: b 2 0 2. Aşama a=? = 0. 05 ; S. d. =? = n-k =10 -3 = 7 ta, sd =? t 0. 05, 7=? =2. 365 3. Aşama =4. 5447 4. Aşama |thes= 4. 5447 | > |ttab= 2. 365 | H 0 hipotezi reddedilebilir
…Kısmi Regresyon Parametrelerinin Ayrı Testi… 1. Aşama H 0: b 3 = 0 H 1: b 3 0 2. Aşama a=? = 0. 05 ; S. d. =? = n-k =10 -3 = 7 ta, sd =? t 0. 05, 7=? =2. 365 3. Aşama =-2. 8163 4. Aşama |thes=- 2. 8163 | > |ttab= 2. 365| H 0 hipotezi reddedilebilir
…Regresyon Parametrelerinin Topluca Testi… Y=b 1 + b 2 X 2 + b 3 X 3 + u (Sınırlandırılmamış Model)(SM) Y=b 1 + u (Sınırlandırılmış Model)(SR) H 0: b 2 = b 3 = 0 1. Aşama H 1: b i 0 2. Aşama Fa, f a=? 1, f 2 = 0. 05 ; f 1=? f 2=? =? F 0. 05, 2, 7=? =4. 74 = k-1 = 3 -1=2 = n-k =10 -3=7
…Regresyon Parametrelerinin Topluca Testi… 3. Aşama =27. 7221 4. Aşama Fhes= 27. 7221 > Ftab= 4. 74 H 0 hipotezi reddedilebilir
…Varyans Analiz Tablosu… Değişkenlik SKT sd RBD HBD 203. 2235 3 -1 25. 6725 10 -3 TD 228. 8960 10 -1 SKTO 101. 6117 3. 6675 Fhes 27. 7060 F-Anlamlılık [0. 0005]
…Güven Aralıkları… = 0. 2895 2. 365 (0. 0637) 0. 1370 < b 2 < 0. 4381 = -0. 9781 2. 365 (0. 3473) -1. 7887 < b 3 < -0. 1466
Sabit Terimsiz Bağlanım(Regresyon) Modeli Sabit Terimsiz Bağlanım Modeli 0<b 2<1
Sabit Terimsiz Bağlanım Modelinin Özellikleri 1) Sabit terimsiz regresyonda Σei lerin sıfıra eşit olması şart değildir. 2) Sabit terimsiz regresyonda r 2 belirlilik katsayısı uygun bir ölçü değildir. Çünkü bu katsayının sabit terimsiz regresyonda negatif değer alması söz konusu olabilmektedir.
Sabit Terimsiz Bağlanım Model Örnekleri İmalat Sanayi Mamülleri Üretim Fonksiyonları Üretim faktörleri girdileri sıfırken çıktı yani üretim de sıfır olmalıdır. Orijinden Geçen Uzun Dönem Tüketim Fonksiyonu b 1 sabitinin pozitif değeri bize ekonomik birimlerin gelir seviyeleri sıfırken daha önce yaptıkları tasarrufları tükettiklerini ve daha önceki dönemlerde üretilmiş mallardan faydalandıklarını ifade etmektedir. Kapalı bir ekonominin daha önce ürettiği tüketim malları stoku yoksa, b 1 değeri sıfırdan büyük olamaz. Bu halde gelir seviyesi sıfıra indiğinde tüketim geliri aşacak, bu da negatif bir tasarrufa karşılık gelecektir.
Sabit Terimsiz Bağlanım Model Örnekleri Gelirden bağımsız ve kısıtlanması mümkün olmayan tüketim seviyesi b 1'e bağımsız tüketim harcamaları denir. Bu durum kısa dönemde söz konusu olur. Buna karşılık, daha önceki birikmiş tasarruflara bağlı olarak belli bir tüketim seviyesi b 1 in varlığının kabulünün uzun dönemde hiç bir anlamı olmaz.
Sabit Terimsiz Bağlanım Model Örnekleri Portföy Teorisi Bir yatırım projesinin toplam riski, iki riskten oluşur: Sistematik risk veya piyasa riski ve sistematik olmayan risk. Sistematik olmayan risk firmanın yönetim şartları, firmalar arası rekabet, grevler ve tüketici davranışlarındaki değişmeler gibi faktörlere bağlıdır. Sistematik risk , Piyasa faiz oranlarının değişmesi, enflasyon riski, finansal piyasalardaki değişmeler gibi faktörlere bağlıdır
Sabit Terimsiz Bağlanım Model Örnekleri Finansal Varlıkları Fiyatlama Modelinin Beta Katsayısı, projelerin sistematik riskini ölçmeye yarar. Finansal Varlıklar Fiyatlama Modeli : Ri - rf = ßi (Rm - rf) + ui Ri = i finansal varlığı verim oranı Rm = Piyasa portföyü verim oranı (riskli varlıklardan oluşan) rf = Risksiz piyasa verim oranı (hazine bonosunun 90 günlük verim oranı gibi) ßi = Finansal varlığın sistematik riski (Beta katsayısı) ui = hata terimi
Sabit Terimsiz Bağlanım Model Örnekleri Yi = ai + ß i X i + u i Yi = Şirketin yıllık verimlilik oranı (%) Xi = Piyasa portföyü yıllık verimlilik oranı (%) ßi = Eğim katsayısı, portföy teorisinde Beta katsayısı (Sistematik Risk) Yi = 1. 0899 Xi s (bi): (0. 1916) , Se 2 = 3425. 285 t (5. 6884) Yi= 1. 2797 + 1. 0691 Xi s (bi) (7. 6886) (0. 2383) t = (0. 1664) (4. 4860)
…DOĞRUSAL OLMAYAN REGRESYON MODELLERİ… Tam Logaritmik Modeller Yarı-Logaritmik Model *Log-Doğ Model(Üstel Model) *Yarı-Logaritmik Model Doğ - Log Model Polinomial Model
…Tam Logaritmik Model… X 3 Y b 2>1 0<b 2<1 Y 2 X 2 b 2<0 X 2 (X 3 sabit tutulduğunda)
…Tam Logaritmik Model(Üslü model-log Modeller-Sabit Elastikiyetli Modeller)… veya
Y’nin eşiti üstteki denklemde yerine konursa
…Tam Logaritmik Model… Birden fazla bağımsız değişken olduğunda ln. Y =lnb 1 + b 2 ln. X 2+ b 3 ln. X 3 +. . . + bk ln. Xk + u lne Y* =b 1 *+ b 2 X 2*+ b 3 X 3* +. . . + bk Xk* + u
Y
Uygulama 4. 3 (207 -210)
Uygulama 4. 3 (207 -210)
Uygulama 4. 3 (207 -210)
Uygulama 4. 3 (207 -210) = 4. 0458 = 4. 9615 Sx*2 Sy*x* =7. 3986 =2. 6911
Uygulama 4. 3 (207 -210) = 0. 3637 = 4. 0458 - (0. 3637) 4. 9615 = 2. 2413 [ln(9. 4046) = 2. 2413]
…Üretim Fonksiyonu… Y= Üretim X 2=Emek ; X 3=Sermaye = Emeğin Marjinal Verimliliği = Sermayenin Marjinal Verimliliği ln. Y = -3. 4485 + 1. 5255 ln. X 2 + 0. 4858 ln. X 3 (t) (-1. 43) (2. 87) n=15 Düz-R 2= 0. 8738 (4. 82)
…Yarı-Logaritmik Model… Log-Doğ Model(Üstel Model)
…Yarı-Logaritmik Fonksiyon… Log-Doğ Model(Üstel Model) ln. Y = b 1 +b 2 X+ u = ( b 2 Y ) = b 2 X
Artış Hızı Modeli Log-Doğ Model(Üstel Model) ln. Y = b 1 +b 2 t + u r = (Antilog b 2 - 1). 100 Y= İş hacmi(1983 -1988) r= = (Antilog 0. 131 - 1). 100 (1. 13997 - 1). 100 (0. 139971). 100 % 14
Örnek 1969 -1983 yıllarına ait GSMH verileri aşağıdadır. Buna göre büyüme hızını bulunuz. Y t log. Y*t t 2 Ytahmin e GSMH YIL LOGGSMH_YIL YILKARE YTAHMIN HATA 1969 1088. 000 1. 000000 6. 992096 1. 000000 6. 990414 0. 001682 1970 1086. 000 2. 000000 6. 990257 13. 98051 4. 000000 7. 017268 -0. 027012 1971 1122. 000 3. 000000 7. 022868 21. 06860 9. 000000 7. 044122 -0. 021254 1972 1186. 000 4. 000000 7. 078342 28. 31337 16. 00000 7. 070976 0. 007365 1973 1254. 000 5. 000000 7. 134094 35. 67047 25. 00000 7. 097830 0. 036263 1974 1246. 000000 7. 127694 42. 76616 36. 00000 7. 124685 0. 003009 1975 1231. 000 7. 000000 7. 115582 49. 80907 49. 00000 7. 151539 -0. 035957 1976 1298. 000000 7. 168580 57. 34864 64. 00000 7. 178393 -0. 009813 1977 1370. 000 9. 000000 7. 222566 65. 00309 81. 00000 7. 205247 0. 017319 1978 1438. 000 10. 00000 7. 271009 72. 71009 100. 0000 7. 232101 0. 038907 1979 1479. 000 11. 00000 7. 299121 80. 29034 121. 0000 7. 258955 0. 040166 1980 1475. 000 12. 00000 7. 296413 87. 55696 144. 0000 7. 285809 0. 010604 1981 1512. 000 13. 00000 7. 321189 95. 17545 169. 0000 7. 312663 0. 008525 1982 1480. 000 14. 00000 7. 299797 102. 1972 196. 0000 7. 339518 -0. 039720 1983 1535. 000 15. 00000 7. 336286 110. 0443 225. 0000 7. 366372 -0. 030086 obs
ln. Y = b 1 +b 2 t + u LOG(GSMH)= 6. 963560+ 0. 026854 YIL t (461. 0034) (16. 16401) Prob (0. 0000) = (Antilog b 2 - 1). 100 r = (Antilog 0. 02685 - 1). 100
Ücret Modeli Log-Doğ Model(Üstel Model) Aşağıdaki ücret modeli Uygulama 9. 3’den alınmıştır. (s. 427) Modelde: Y: Haftalık Kazanç ($) ; X 2: Tecrübe ; X 3 : Eğitim Kategorisi ln. Y = 1. 19 + 0. 033 X 2 + 0. 074 X 3
…Yarı-Logaritmik Fonksiyon… Doğ - Log Model Y = b 1 +b 2 ln. X+ u
…Yarı-Logaritmik Fonksiyon… Doğ - Log Model Y = b 1 +b 2 ln. X+ u
Hedonik Model Doğ - Log Model Y = b 1 +b 2 ln. X 2+ b 3 ln. X 3 + u Fiyat = -1. 749. 97 + 299. 97 ln(m 2) - 145. 09 ln(Yatak. Oda) (t) (-6. 8) (7. 5) Prob. Düz-R 2= 0. 826 (-1. 7) [0. 1148] sd=11
Polinomial Fonksiyonlar Y = b 1 + b 2 X + b 3 X 2 + b 4 X 3 +. . . + bk+1 Xk + u Kuadratik Model: Y = b 1 + b 2 X + b 3 X 2 + u = b 2 + 2 b 3 X = 0 X 0= -b 2 / 2 b 3 = 2 b 3 Eğer b 3<0 ise X 0 noktası maksimumdur Eğer b 3>0 ise X 0 noktası minimumdur
Polinomial Fonksiyonlar Kuadratik Model OM= Ortalama Maliyet ; Çıktı =Üretimİndeksi GMİ= Girdi Maliyetleri İndeksi OM = 10. 52 - 0. 175 Çıktı + 0. 0009 (Çıktı)2 + 0. 02 GMİ (t) (14. 3) (-9. 7) Düz-R 2=0. 978 (7. 8) sd=16 (14. 45)
Polinomial Fonksiyonlar Kübik Model TM= Toplam Maliyet ; Q =Üretim Miktarı
Polinomial Fonksiyonlar Kübik Model Y = b 1 + b 2 X + b 3 X 2 + b 4 X 3 + u TM = 141. 76 + 63. 47 Q - 12. 96 Q 2 + 0. 94 Q 3 s(bi) (6. 37) (4. 78) R 2 =0. 998 sd=6 (0. 98) (0. 059)
En Yüksek Olabilirlik Yöntemi İstatistikte, tüm anakütleler kendilerine karşılık gelen bir olasılık dağılımı ile tanımlanırlar. Basit(sıradan) en küçük kareler yöntemi, özünde olasılık dağılımları ile ilgili herhangi bir varsayım içermez. Bu yüzden, çıkarsama yapmada BEK tek başına bir işe yaramaz. BEK, genel bir tahmin yaklaşımından çok regresyon doğrularını bulmada kullanılabilecek bir hesaplama yöntemi olarak görülmelidir. 86
BEK yönteminden daha güçlü kuramsal özellikler gösteren bir başka nokta tahmincisi EYO, yani “en yüksek olabilirlik” (maximum likelihood) yöntemidir. En yüksek olabilirlik yönteminin ardında yatan temel ilke şu beklentidir: “Rassal bir olayın gerçekleşmesi, o olayın, gerçekleşme olasılığının en yüksek olay olmasındandır. ” Bu yöntem, 1920’li yıllarda˙Ingiliz istatistikçi Sir Ronald A. Fisher (1890 -1962) tarafından bulunmuştur. Ki-kare testi, bayesgil yöntemler ve çeşitli ölçüt modelleri gibi birçok istatistiksel çıkarım yöntemi, temelde EYO yaklaşımına dayanmaktadır. 87
EYO yöntemini anlayabilmek için, elimizde dağılım katsayıları bilinen farklı anakütleler ve rassal olarak belirlenmiş bir örneklem olduğunu varsayalım: Bu örneklemin farklı anakütlelerden gelme olasılığı farklı ve bazı ana kütlelerden gelme olasılığı diğerlerine göre daha yüksektir. Elimizdeki örneklem, eğer bu anakütlelerden birinden alınmışsa, “alınma olasılığı en yüksek anakütleden alınmış olmalıdır” diye düşünülebilir. 88
Kısaca: 1. Anakütlenin olasılık dağılımı belirlenir veya bu yönde bir varsayımda bulunulur. 2. Eldeki örneklem verilerinin, hangi katsayılara sahip anakütleden gelmiş olma olasılığının en yüksek olduğu bulunur. YALTA (2007 – 2008 Ders Notları) 89
Regresyon Katsayılarının En Yüksek Olabilirlik Tahminleri Y b 2 X + b Y= 1 b 1 + b 2 Xi b 1 Xi X Y = b 1 + b 2 X + u modelinde katsayıların en yüksek olabilirlik tahminleri yapılmadan önce modelde hata terimi olmadığını ifade edelim. Nokta ile gösterilen yerde Y değerine karşılık gelen X değerinin Xi değerine eşit olduğu görülmektedir. 90
Y b 2 X + b 1 Y= b 1 + b 2 Xi b 1 Xi X Eğer modele hata terimini eklersek hataların belli bir ortalama ve varyansa bağlı olarak normal dağıldığını varsayabiliriz. 91
Y b 2 X + b Y= 1 b 1 + b 2 Xi b 1 Xi X Şekilde gösterilen dağılış hata teriminin önceden tahmin edilen dağılışıdır. Gerçekte hata teriminin dağılışının belli bir değere bağlı olarak modelde normal dağıldığını varsayabiliriz. 92
Y b 2 X + b Y= 1 b 1 + b 2 Xi b 1 Xi X Ayrıca yatay eksene göre bakıldığında; şekilde gösterilen dağılış X=Xi durumunda Y’nin tahmini dağılımını da ifade etmektedir. 93
Y b 2 X + b Y= 1 b 1 + b 2 Xi b 1 Xi X Y değeri b 1 + b 2 Xi e yaklaştıkça göreceli olarak daha yüksek yoğunluğa sahip olmaktadır. 94
Y b 2 X + b 1 Y= b 1 + b 2 Xi b 1 Xi X Bununla birlikte b 1 + b 2 Xi den uzaklaştıkça yoğunluk azalmaktadır. 95
Y b 2 X + b 1 Y= b 1 + b 2 Xi b 1 Xi X Yi ‘nin ortalama değeri b 1 + b 2 Xi ve hata terimlerinin standart sapması da s, olduğunu varsayarsak. 96
Y b 2 X + b 1 Y= b 1 + b 2 Xi b 1 Xi X Yi ’lerin olasılık yoğunluk fonksiyonları f(Yi) fonksiyonu ile ifade edilebilir. 97
İki Değişkenli Basit Regresyon Modelinin En Yüksek Olabilirlik Yöntemi İle Tahmini Tek denklemli ekonometrik modellerin tahmininde EKKY dışında kullanılan alternatif yöntem En Yüksek Olabilirlik Yöntemidir. Büyük örneklerde her iki yöntemde yakın sonuçlar vermektedir. Küçük örneklerde ise EYOBY’de olup sapmalıdır. EKKY’de ise sapmasızdır. 98
EYOBY’’nin regresyon modeline uygulanışı şöyledir: Y bağımlı değişkeninin ortalamalı varyanslı normal ve Yi değerlerinin bağımsız dağıldığı varsayılmaktadır. Yani (1) 99
Bu ortalama ve varyansla Yi nin Y 1, Y 2, …, Yn değerlerinin bileşik olasılık yoğunluk fonksiyonu şöyledir: Y’ler birbirinden bağımsız olduğundan, bu bileşik olasılık yoğunluk fonksiyonu, n tane bireysel yoğunluk fonksiyonunun çarpımı olarak yazılabilecektir. (2) deki f(Yi), (1) deki ortalama ve varyanslı normal dağılımlı yoğunluk fonksiyonu olup şöyle ifade edilir: 100
(3) (3)’ü (1) deki her Yi yerine koyarak aşağıdaki ifadeyi elde ederiz: (4) Ortak yoğunluk fonksiyonları her bir yoğunluk fonksiyonunun çarpımına eşittir. (4) de Yi ler bilindiğinde ve b 1, b 2 ve s 2 ler bilinmediğinde (4) ifadesine en yüksek olabilirlik fonksiyonu adı verilir ve L(b 1, b 2, s 2) şeklinde gösterilir. 101
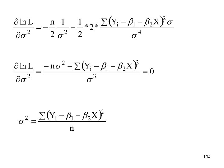
(5) En yüksek olabilirlik yöntemi bilinmeyen bi parametrelerinin, verilen Y’nin gözlenme olasılığının ençok(maksimum) olacak tarzda tahmini esasına dayanır. Bu sebepten b’lerin EYOBY’ ile tahmin için (5) fonksiyonunun maksimumunun araştırılması gerekir. Bu türevdir, türev için en kısa yol (5) in log. nın alınmasıdır. 102
103
104
- Slides: 104