Nucleotide base ribose deoxyribose phosphate Nucleotide nucleic acid
중점 학습 사항 • • • • • • Nucleotide의 구성 성분인 base, ribose (deoxyribose), phosphate에 대해 알기 Nucleotide와 nucleic acid 차이에 대해 알기 Polymerization에 대해 알기 Base paring에 대해 알기 DNA double helix의 구조에 대해 알기 Genome size와 chromosomal number에 대해 알기 Chromatid와 chromosome 차이에 대해 알기 nucleosome에 대해 알기 histone과 그의 modification에 대해 알기 mitochondrial DNA의 특성에 대해 알기 RNA 구조의 특성에 대해 알기 RNA 종류에 대해 알기 Reverse transcription, transposon에 대해 알기 psudogene에 대해 알기 hairpin loop 구조에 대해 알기 eukaryotic m. RNA alternative splicing에 대해 알기 eukaryotic m. RNA capping, polyadenylation에 대해 알기 r. RNA gene 구조에 대해 알기 polysome에 대해 알기 t. RNA 구조에 대해 알기 codon, anticodon에 대해 알기 amioacy t. RNA 구조에 대해 알기
I. Naked DNA & RNA
Cell Structure
One gene, One protein
polymerization
DNA polymerization
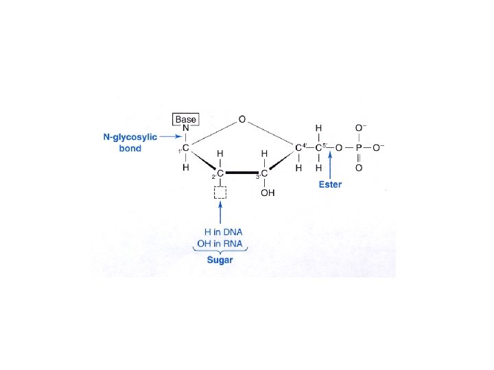
DNA, RNA similarity
X-ray Crystalography
Base paring
Hydrogen Bonding
DNA Double Helix
DNA Double Helix
DNA replication
Genome Size
Chromosome Numbers of Eukaryotic Cells
II. From Chromatin to Chromosome
Interphase Chromatin
Chromatin Condensation During Mitosis
The Organization of Chromatin in Nucleosomes (Part 1)
Structure of a Chromatosome
The Major Histone Proteins
Chromatin Fibers
Chromatin Fibers
Interphase Chromatin
Chromatin Condensation During Mitosis
Phases of the Cell Cycle
Chromosomes during Mitosis
The Centromere of a Metaphase Chromosome
Fluorescence In Situ Hybridization
Chromosome Numbers of Eukaryotic Cells
Repetitive Sequences in the Human Genome
III. Mitochondral DNA
Structure of a Mitochondrion (Part 1)
Structure of a Mitochondrion (Part 2)
Diseases of Mitochondria: Leber’s Hereditary Optic Neuropathy
Differences between the Universal and Mitochondrial Genetic Codes
IV. RNA World
RNAs 1. 2. 3. 4. m. RNA t. RNA r. RNA small RNA 1). Small nuclear RNA 2). Micro-RNA (mi. RNA), small interfering RNA (si. RNA), and noncoding RNAs
RNA Structure
Hairpin Loop Formation
The Structure of Eukaryotic Genes
Alternative Splicing
Globin Gene Families
Reverse Transcription
Transposon
Movement of Retrotransposons
Prokaryotic and Eukaryotic m. RNAs
Processing of Eukaryotic Messenger RNAs (Part 1)
Formation of the 3¢ Ends of Eukaryotic m. RNAs
Ribosome Structure (Part 1)
Overview of Translation
Polysomes
The Ribosomal RNA Gene • Figure 7. 2 Attachment of Amino Acids to t. RNAsㅊ
Structure of 16 S r. RNA
Structure of t. RNAs
Attachment of Amino Acids to t. RNAs
Amino Acid encoding
- Slides: 95