NUCLEOSINTESIS Los pioneros George Gamow junto a sus

  • Slides: 40
Download presentation
NUCLEOSINTESIS

NUCLEOSINTESIS

Los pioneros

Los pioneros

George Gamow, junto a sus colaboradores Alpher y Hermann, predijo en 1947 que debía

George Gamow, junto a sus colaboradores Alpher y Hermann, predijo en 1947 que debía existir un fondo cósmico de radiación con una temperatura de alrededor de 1 K.

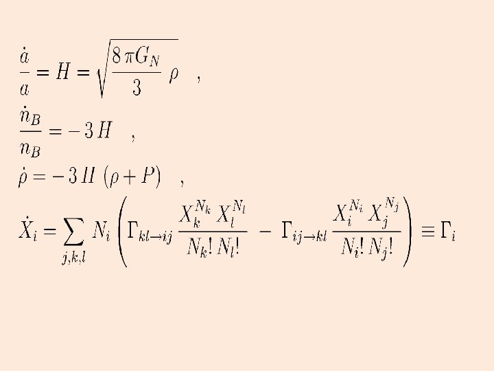
Durante la era dominada por la radiación, cuando la temperatura se encuentra entre 1

Durante la era dominada por la radiación, cuando la temperatura se encuentra entre 1 y 0. 01 Me. V (o sea, entre 1 s y 1 hora después del Big Bang) el Universo se comporta como un reactor nuclear, produciendo cantidades significativas de los 7 Li). elementos livianos (hasta

Los datos observacionales son que el 24% de la masa total de bariones en

Los datos observacionales son que el 24% de la masa total de bariones en el Universo está en forma de núcleos de Helio. La densidad numérica de núcleos de deuterio y litio es de 10 -5 y 10 -10 veces la del hidrógeno, respectivamente.

La síntesis de elementos livianos comienza cuando el Universo está lo suficientemente frío como

La síntesis de elementos livianos comienza cuando el Universo está lo suficientemente frío como para que la fotodisociación del deuterio sea improbable.

Por otro lado, para que la reacción sea eficaz, la velocidad típica de una

Por otro lado, para que la reacción sea eficaz, la velocidad típica de una partícula debe ser mayor que la velocidad de recesión de dos partículas separadas por un camino libre medio (criterio de Gamow)

Criterio de Gamow

Criterio de Gamow

Criterio de Gamow

Criterio de Gamow

Criterio de Gamow

Criterio de Gamow

Criterio de Gamow

Criterio de Gamow

Criterio de Gamow

Criterio de Gamow

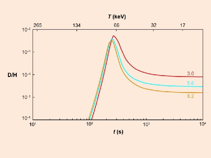
El hecho de que no todo el deuterio es convertido en helio cuando el

El hecho de que no todo el deuterio es convertido en helio cuando el Universo se enfría por debajo de 0. 1 Me. V sugiere que muy poco después la reacción de captura de un nuevo nucleón deja de satisfacer el criterio de Gamow. Esta observación nos permite vincular la densidad de bariones y la de fotones

El número de fotones por barión permanece constante a lo largo de la expansión

El número de fotones por barión permanece constante a lo largo de la expansión del Universo. Como hoy hay aproximadamente 1 barión por metro cúbico, se deduce que la radiación cósmica de fondo tiene una temperatura

Después de los tres minutos: El deuterio no es producido en estrellas, de modo

Después de los tres minutos: El deuterio no es producido en estrellas, de modo que cualquier valor observado impone una cota al valor primordial. Los otros elementos livianos pueden ser tanto destruidos como generados en estrellas.

Observaciones Deuterio: Bosques Lyman alfa Helio 3 y 4: Nubes de hidrógeno. Cuanto más

Observaciones Deuterio: Bosques Lyman alfa Helio 3 y 4: Nubes de hidrógeno. Cuanto más lejos mejor. Litio y Berilio: Estrellas. Es necesario extrapolar a metalicidad cero.

z=5 l z=0 l

z=5 l z=0 l

z=5 l z=4 l z=0 l

z=5 l z=4 l z=0 l

z=5 l z=4 l z=0 l

z=5 l z=4 l z=0 l

Deuterio: Bosques Lyman alfa

Deuterio: Bosques Lyman alfa

Helio 3 en la Vía Láctea

Helio 3 en la Vía Láctea

Helio 4 en la Vía Láctea

Helio 4 en la Vía Láctea

Valores aceptados de la abundancia de Helio

Valores aceptados de la abundancia de Helio

Litio en la Vía Láctea

Litio en la Vía Láctea

Berlio y Boro en la Vía Láctea

Berlio y Boro en la Vía Láctea

Conclusión:

Conclusión: