Nucleic Acids Central dogma of biology replication transcription
Nucleic Acids
Central dogma of biology replication transcription DNA translation RNA PROTEIN folding, assembly, targeting FUNCTIONAL (NATIVE) PROTEIN
Nucleic acid • DNA (Deoxyribo Nucleic Acid) ~Store genetic information, Called the blue print of life • RNA (Ribo Nucleic Acid) ~Helps in protein synthesis, sometime also act as enzyme
The pattern of X-ray diffraction by DNA fibers reveals a helical structure with steps of 3. 4 and 34 Å This x-ray diffraction by calf thymus DNA was measured by Franklin & Gosling in 1952. The X pattern is indicative of a helix with a pitch of 34 Å per turn. The strong spots at the top and bottom reveal internal steps of 3. 4 Å. http: //osulibrary. oregonstate. edu/specialcollections/coll/pauling/dna/pictures/franklin-type. Bphoto. html
Structure • The DNA Molecule consist of two unbranched polynucleotides chains (strands) held together in an antiparallel manner by hydrogen bonds formed between specific pairs of bases [Adenine-Thymine] [Guanosine-Cytosine].
DNA
Basic DNA and RNA Structure Components • Sugar • Base • Phosphate • 5’ to 3’ direction • RNA ribose extra –OH at 2’ of ribose • DNA deoxyribose • Numbering •
Structure of DNA/RNA Bases and Sugars and Phosphates pyrimidines C T U purines G A Ribose sugars
PDB (http: //www. rcsb. org/) ATOM ATOM ATOM ATOM ATOM ATOM 1 2 3 4 5 6 7 8 9 10 11 12 13 14 15 16 17 18 19 20 21 O 5' C 4' O 4' C 3' O 3' C 2' C 1' N 1 C 2 O 2 N 3 C 4 N 4 C 5 C 6 P OP 1 OP 2 O 5' C 5' DC A DC A DC A DC A DG A DG A 1 1 1 1 2 2 2 18. 935 19. 130 19. 961 19. 360 20. 172 21. 350 18. 948 19. 231 18. 070 18. 224 19. 360 17. 143 15. 917 14. 828 15. 719 16. 843 22. 409 23. 536 21. 822 22. 840 23. 543 34. 195 33. 921 32. 668 31. 583 32. 122 31. 325 31. 223 30. 482 29. 661 28. 454 28. 014 27. 761 28. 226 27. 477 29. 442 30. 171 31. 286 32. 157 31. 459 29. 751 29. 175 25. 617 24. 219 24. 100 24. 852 22. 694 22. 681 22. 647 23. 944 24. 380 25. 015 25. 214 25. 377 25. 120 25. 444 24. 471 24. 101 21. 483 21. 851 20. 139 21. 498 22. 594 1. 00 64. 35 1. 00 44. 69 1. 00 31. 28 1. 00 37. 45 1. 00 46. 72 1. 00 48. 89 1. 00 30. 88 1. 00 36. 58 1. 00 40. 51 1. 00 16. 62 1. 00 27. 75 1. 00 20. 55 1. 00 34. 72 1. 00 40. 31 1. 00 30. 78 1. 00 25. 90 1. 00 58. 85 1. 00 57. 82 1. 00 78. 33 1. 00 40. 36 1. 00 47. 19 O C C N C O N C C P O O O C
Standard (Watson-Crick) type base pairing
Geometry of Watson Crick Base Pairs • A: T and G: C pairs are spatially similar • 3 H-bonds vs 2 • Sugar groups are attached asymmetrically on the same side of the pair • Leads to a major and minor grove • Bases are flat but the hydrogen bonding leads to considerable flexibility • Base stacking is flexible
Backbone Conformation
Canonical B DNA
The B-form DNA helix has a diameter of about 20 Å Base pairs fill the center of the helix; the phosphates ( ) are on the outside. A base pair is more exposed to the solvent on one side (the “major groove”, at the top in these views) than the other (the “minor groove”, bottom).
Canonical B DNA • First determined experimentally by fiber diffraction (Arnott) • C 2’-endo sugar puckers • High anti glycosidic angles • Right handed – 10 base pairs per turn • Bases perpendicular to the helix axis and stacked over the axis • Overall bending as much as 15 degrees • Over 230 structures 25 with base mispairing – only cause local perturbations
A DNA
Canonical A DNA • C 3’-endo sugar puckers – brings consecutive phosphates closer together 5. 9Å rather than 7. 0Å • Glycosidic angle from high anti to anti • Base pairs twisted and nearly 5Å from helix axis • Helix rise 2. 56 Å rather than 3. 4Å • Helix wider and 11 base pairs per repeat • Major groove now deep and narrow • Minor grove wide and very shallow
Z-DNA
• • • Helix has left-handed sense Narrower, more elongated helix than A or B. Major "groove" not really groove Narrow minor groove Base pairs nearly perpendicular to helix axis Gp. C repeat, not single base-pair – Gp. C stack: good base overlap – Cp. G: less overlap. • Zigzag backbone due to C sugar conformation compensating for G glycosidic bond conformation • Conformations: – G; syn, C 3'-endo – C; anti, C 2'-endo
The two strands of the double helix separate reversibly at high temperatures The temperature at which this “denaturation” or “melting” occurs depends on the p. H and salt concentration, and increases with the GC content of the DNA. (The curves drawn here are schematic. ) If the temperature is lowered, the strands recombine. The rate of reassociation is inversely proportional to the complexity of the DNA.
Introduction to Protein structures
Proteins: Heteropolymers of Amino acids(aa)
Amino acid nomenclature • What do we call the pieces? R-group side chain, ? Ca ? Amino group ? specific for each amino acid type Carbonyl carbon (C’) ? Carbonyl oxygen ?
Geometry - bond lengths (covalent) • X--H ~ 1 Å • all others ~ 1. 5 Å (approximately), – e. g. C--O, C--N. – don’t worry about the differences – Stretching and compression of bonds is negligible.
Geometry - bond angles • Flexibility small: ~ 2. 5º. • Geometry predictable according to valence. • Where do you find examples of sp³, sp² hybridization? 3 4 4 sp 2 sp 3 sp 2 Trigonal planar 120° tetrahedral 109° Trigonalplanar 120°
Concepts of Torsion angle
Trigonometric Representation The distances and the angle determine the structure. dihedral angle a b c N a bond angle c C b Cα N
Basics of Protein Structure • Primary • Secondary • Tertiary primary structure ACDEFGHIKLMNPQRSTVWY
Primary structure
PDB Text ATOM 31 N ARG 5 21. 425 -21. 153 48. 328 1. 00 43. 65 ATOM 32 CA ARG 5 22. 707 -21. 847 48. 226 1. 00 45. 28 ATOM 33 C ARG 5 22. 546 -23. 350 48. 428 1. 00 46. 85 ATOM 34 O ARG 5 22. 093 -23. 844 49. 467 1. 00 48. 28 ATOM 35 CB ARG 5 23. 675 -21. 287 49. 268 1. 00 43. 67 ATOM 36 CG ARG 5 25. 103 -21. 733 49. 027 1. 00 44. 97 ATOM 37 CD ARG 5 26. 092 -21. 095 50. 002 1. 00 47. 52 ATOM 38 NE ARG 5 27. 449 -21. 261 49. 493 1. 00 43. 50 ATOM 39 CZ ARG 5 28. 418 -20. 364 49. 676 1. 00 41. 17 ATOM 40 NH 1 ARG 5 28. 191 -19. 238 50. 358 1. 00 41. 97 ATOM 41 NH 2 ARG 5 29. 611 -20. 613 49. 137 1. 00 35. 84 ATOM 42 N GLN 6 22. 916 -24. 055 47. 360 1. 00 48. 95 ATOM 43 CA GLN 6 22. 845 -25. 500 47. 291 1. 00 52. 08 ATOM 44 C GLN 6 23. 991 -25. 969 46. 401 1. 00 54. 80 ATOM 45 O GLN 6 24. 101 -25. 571 45. 233 1. 00 55. 99 • (Format A 4, 1 X, I 6, 1 X, A 4, 1 X, A 1, I 4, 4 X, 3 F 8. 3) N C C O C C C N N N C C http: //www. wwpdb. org/documentation/changesv 3. 20. pdf
Amino acid Aliphatic (except Gly) – Non-Zwitterionic state; ESS: Essential Alanine = Ala = A Valine = Val = V M = 71. 09; sa = 115; Res. Vol = 88. 6; Cry. Den = 1. 401 M = 99. 4, sa = 155, Res. vol. = 140, Cry. Den = 1. 23 ESS
Leucine = Leu = L Isoleucine = Ile = I M = 113. 16; sa = 170; Res. vol = 166. 7; Cry. den = 1. 191 ESS M = 113. 16; sa = 175; Res. vol = 166. 7; ESS
Amino acid Nonpolar – Non-Zwitterionic state Glycine = Gly = G Cysteine = Cys = C M = 57. 05; sa = 75; M = 103. 5, sa = 135, Res. vol = 108. 5, d =? Res. vol= 60. 1; d= 1. 607
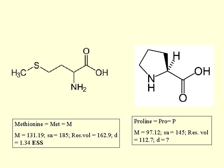
Methionine = Met = M Proline = Pro= P M = 131. 19; sa = 185; Res. vol = 162. 9; d = 1. 34 ESS M = 97. 12; sa = 145; Res. vol = 112. 7; d = ?
Amino acid Aromatic – Non-Zwitterionic state Histidine = His = H M = 137. 14; sa = 195; Res. Vol= 153. 2; d= ? Phenyl alanine = Phe =F M = 147. 18, sa = 210, Res. vol = 189. 9, d = ? ESS
Tyrosine = Tyr = T Tryptophan = Trp = W M = 163. 18; sa = 230; Res. vol = 193. 6; d = 1. 456 M = 186. 12; sa = 255; Res. vol = 227. 8; d = ? ESS
Amino acid Polar – Non-Zwitterionic state Asparagine = Asn = N Glutamine = Gln = Q M = 115. 09; sa = 160; M = 128. 14, sa = 180, Res. vol = 143. 8, d = ? Res. Vol= 114. 1; d= 1. 54
Serine = Ser = S Threonine = Thr = T M = 87. 08; sa = 115; Res. vol = 89; d = 1. 537 M = 101. 11; sa = 140; Res. vol = 116. 1; d = ? ESS
Amino acid Charged – Non-Zwitterionic state Lysine = Lys = K Arginine = Arg = R M = 128. 17; sa = 200; M = 156. 19, sa = 225, Res. vol. = 173. 4, d = 1. 1 Res. Vol= 168. 6; d= ? ESS
Aspartic acid = Asp = D Glutamate = Glu = E M = 114. 11; sa = 150; Res. vol = 111. 1; d = 1. 66 M = 129. 12; sa = 190; Res. vol = 138. 4; d = 1. 460
Hydrophobicity Scales (1) Janin (1979)1; (2) Wolfenden, et al. 2; (3) Kyte and 48 Doolittle 3; and (4) Rose, et al. 4.
Information about amino acids http: //prowl. rockefeller. edu/aainfo/contents. htm http: //www. realtime. net/anr/aminoacd. html http: //www. people. virginia. edu/~rjh 9 u/aminacid. html Hydrophobicity of amino acids • J. Janin, Nature, 277(1979)491 -492. • R. Wolfenden, L. Andersson, P. Cullis and C. Southgate, Biochemistry 20(1981)849 -855. • J. Kyte and R. Doolite, , J. Mol Biol. 157(1982)105 -132. • G. Rose, A. Geselowitz, G. Lesser, R. Lee and M. Zehfus, Science 229(1985)834 -838. • J. Cornette, K. B. Cease, H. Margalit, J. L. Spouge, J. A. Berzofsky and C. De. Lisi, J. Mol. Biol. 195(1987)659 -685. • M. Charton and B. I. Charton, J. theor. Biol. 99(1982)629 -644.
Hydrophobic Polar Acidic Basic
Secondary structure
Secondary Structure: Phi & Psi Angles Defined • Rotational constraints emerge from interactions with bulky groups (ie. side chains). • Phi & Psi angles define the secondary structure adopted by a protein.
Ramachandran Plot
a-helix • Side chains extend outward from helix • Stabilized by H-bonds between NH and CO groups of main chain 4 residues apart. • 1. 5 Å between residues along the axis of the helix. (rise/residue) • 3. 6 amino acid residues per turn. • helix is right handed (like a right handed screw). • Amount of a-helix in a protein varies • Pauling's discovery
b-Pleated Sheets • Polypeptide chain is almost fully extended i. e. not tightly coiled like a-helix. • 3. 5 Å between residues. • H-bonds occur between directly opposed strands. • Antiparallel or parallel: parallel sheets are less stable since H-bonds are distorted. • R-groups alternate above and below the plane of the sheet.
β-pleated sheet
3 -10 Helix p-helix Type II PP helix b-Turns
Structure 3. 613 helix -57º n -47 º 3. 6 p (Å) Atom H-bond 5. 4 13 i to i+4 310 helix -50º -25 º 3 6 10 i to i+3 p-helix -60º -70 º 4. 4 5. 2 16 i to i+5 145 -3 9. 3 No hydrogen bond 2. 0 6. 4 2. 0 6. 8 Inter strand Poly-P -75 type II helix Parallel -120 115 b-strand Anti-140 135 parallel
The Ramachandran Representation of Secondary Structure
Tertiary Structure
Tertiary Structure Lactate Dehydrogenase: Mixed a / b Immunoglobulin Fold: b Hemoglobin B Chain: a
Protein Structure Databases • Where does protein structural information reside? – PDB: • http: //www. rcsb. org/pdb/ – MMDB: • http: //www. ncbi. nlm. nih. gov/Structure/ – FSSP: • http: //www. ebi. ac. uk/dali/fssp/ – SCOP: • http: //scop. mrc-lmb. cam. ac. uk/scop/ – CATH: • http: //www. biochem. ucl. ac. uk/bsm/cath_new/
Quaternary Structure
- Slides: 74