Nuclear fission with meanfield instantons 1 Instanton method






![There are two sets of Slater determinants: GCM energy kernel on [0, T/2] There are two sets of Slater determinants: GCM energy kernel on [0, T/2]](https://slidetodoc.com/presentation_image/e0badfd42a233ea819d5e25cb61a8798/image-7.jpg)




























- Slides: 35
Nuclear fission with mean-field instantons: 1) Instanton method as the Gamow approach to quantum tunneling in TDHF. 2) General remarks 3) Various forms of action & equations 4) Variational principle 5) Coordinate and momenta representation 6) Adiabatic limit = ATDHF 7) GCM mass does not respect instanton constraints 8) Inclusion of pairing Conclusions
Gamow method: motion with imaginary momentum. Formally: In general: the stationary phase approximation to the path-integral expression for the propagator TD variational principle Decay rate proportional to: with S action for the periodic instanton called bounce.
In field theory: S. Coleman, Phys. Rev. D 15 (1977) 2929 In nuclear mean-field theory: S. Levit, J. W. Negele and Z. Paltiel, Phys. Rev. C 22 (1980) 1979 Some simple problems solved: G. Puddu and J. W. Negele, Phys. Rev. C 35 (1987) 1007 J. W. Negele, Nucl. Phys. A 502 (1989) 371 c J. A. Freire, D. P. Arrovas and H. Levine, Phys. Rev. Lett. 79 (1997) 5054 J. A. Freire and D. P. Arrovas, Phys. Rev. A 59 (1999) 1461 J. Skalski, Phys. Rev. A 65 (2002) 033626 No connection to other approaches to the Large Amplitude Collective Motion.
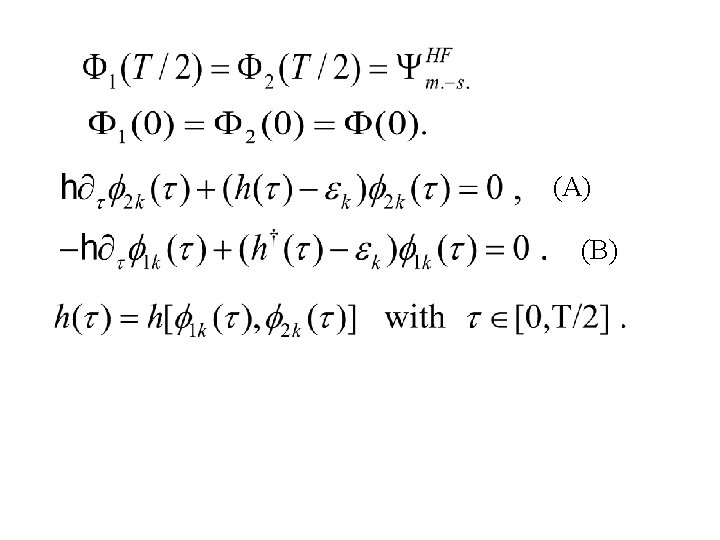
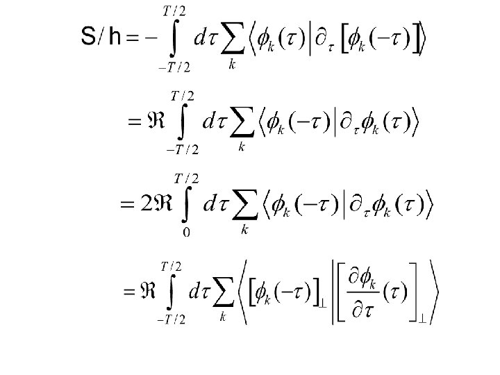
The Eq. (1) without the r. h. s. conserves E and The full Eq. (1) preserves diagonal overlaps, the offdiagonal are equal to zero if they were zero initially. The boundary conditions: This + periodicity: Decay exponent:
To make Eq. (1) local in time one might think of solving it together with: However, this is the equation of inverse diffusion – highly unstable.
There are two sets of Slater determinants: GCM energy kernel on [0, T/2]
It follows from (A) that The drag is necessary and the result of the dragging is fixed. The measure provided by S is the scalar product of the dragging field with the change induced in the dragged one. Thus, one may expect a minimum principle for S that selects the bounce. What is left is to fix the constraints.
Antihermitean part of h = Thouless-Valatin term. Within the density functional method the generic contribution to the antihermitean part of h comes from the current j: (note that: and this differs by a factor (-i) with respect to the real-time TDHF). As a result, the related time-odd contribution to the mean field becomes: and appears as soon as the real parts of start to differ.
Definition of a coordinate along the barrier, say Q: in general. Neither Q nor q are sufficient to label instanton: it depends also on velocity; even for the same q (or Q)
Collapse of the attractive BEC of atoms
leave S invariant; The equation changes:
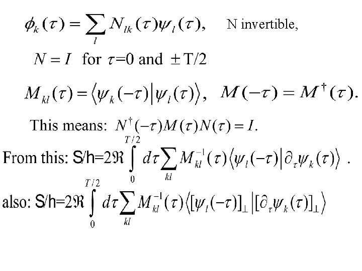
N invertible,
There are various representations of bounce with different overlaps
If fulfil equations (A) with If energy is kept constant
Since Constraints: Boundary conditions E=const. Fixed overlaps Set (A) of equations. Then S minimal for bounce
Time-even coordinates and time-odd momenta:
Similarity to cranking, but the self-consistency changes a lot.
Adiabatic limit: similar to ATDHF (M. J. Giannoni and P. Quentin, Phys. Rev. C 21 (1980) 2060 : but there is no density operator for instanton.
connection with ATDHF
GCM results from energy condition and lack of any dependence on velocity Integrand:
Including pairing:
Problems: - Finding solution -Odd particle number systems - Phases (? )