NON PROTEIN NITROGEN KULIAH KIMIA KLINIK AKADEMI ANALIS













































- Slides: 45
NON PROTEIN NITROGEN KULIAH KIMIA KLINIK AKADEMI ANALIS KESEHATAN NASIONAL SURAKARTA Dr. Lucia Sincu Gunawan
NITROGEN DALAM TUBUH n PROTEIN ¨ SIMPLE PROTEIN albumin, globulin dll ¨ CONJUGATED PROTEIN hemoglobin, lipoprotein dll n NUKLEIC ACID ¨ RNA ¨ DNA n PIRIMIDIN HIDROLISA H 3 SO 4 + NUCLEOSIDA NON PROTEIN NITROGEN PURIN ASAM URAT
NON PROTEIN NITROGEN n n n Merupakan hasil samping metabolisme protein Tidak dapat diendapkan oleh reagen yang biasa untuk mengendapkan protein Terdiri dari: ( NPN = 15 – 35 mg/d. L) ¨ Urea nitrogen ¨ Asam urat ¨ Kreatinin ¨ Asam amino ¨ Amonia : 10 – 20 mg/d. L : 3 – 6 mg / d. L : 0, 2 - 0, 5 mg /d. L : 1 – 2 mg/ d. L : 3, 5 – 7 mg/ d. L : 0, 15 – 35 mg/ d. L
SIKLUS NITROGEN
SUMBER NITROGEN TUBUH n Sumber N yang terbesar berasal dari Protein yang berasal dari makanan
KESEIMBANGAN NITROGEN n. Anabolisme >< Katabolisme
Keseimbangan Nitrogen Positif ¨ Jumlah nitrogen yang diserap melebihi yang dibuang keluar oleh tubuh. Jadi sejumlah nitrogen tertahan dalam tubuh untuk pembentukan jaringan baru POSITIF n + n n Anak yang sedang tumbuh Wanita hamil Wanita menyusui Stadium penyembuhan penyakit Pembentukan jaringan baru
- Keseimbangan Nitrogen negatif ¨ Jumlah protein yang dibuang melebihi jumlah yang dimakan. ¨ Jumlah protein yang dimakan kurang dari kebutuhan minimum tidak ada pembentukan jaringan baru & protein di bakar untuk kebutuhan energi n n n NEGATIF Kehilangan protein yang berlebih SN dll Kenaikan katabolisme jaringan demam , hypertyroid, malignancy, infeksi Puasa, kelaparan
BLOOD UREA NITROGEN (BUN) Karena bagian terbesar dari NPN adalah urea maka kadar urea darah dapat dianggap bersesuaian dengan kadar NPN n BUN = kadar ureum 2, 14 n
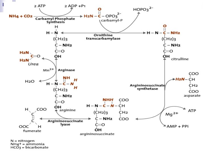
UREUM Merupakan hasil akhir katabolisme protein dalam tubuh yang disintesa dalam hati dari ammonia melalui siklus ornithin n Ureum diekskresikan melalui ginjal, usus, air liur dan keringat n Konsentrasi ureum tergantung: n ¨ Produksi ureum oleh hati n Menurun pada penyakit liver n Meningkat pada peningkatan katabolisme protein n Meningkat pada peningkatan pencernaan protein dalam usus ¨ Laju tubuler ginjal
UREUM Pemeriksaan ureum biasa dikerjakan untuk menilai fungsi ginjal n Ureum diekskresikan dalam filtrat glomerulus, 40% akan diserap oleh tubuli ginjal n Absorbsi tergantung n banyaknya air yang diserap ¨ perbedaan kadar ureum antara cairan filtrat dengan cairan interstitiel dan cairan intra seluler tubuli ¨
AMONIA CARBAMOYL PHOSPHATE UREA
PENYEBAB KENAIKAN BUN n n n Peningkatan katabolisme protein: Fever, burns, corticosteroid administration, starvation, exercise, tirotoksikosis, DM, neoplasma, polisitemia vera Peningkatan pencernaan protein: Hemorrhage into the gastrointestinal system, high protein diets. Penurunan laju glomerulus: Due to pre-renal, renal or post-renal causes.
PENYEBAB PENURUNAN BUN Penurunan intake protein : Dietary restriction of protein, n Protein anabolism : young children (high anabolic rate). n Peningkatan ekskresi: Any cause of polyuria, e. g. hyperadrenocorticism, diabetes mellitus. n Penurunan produksi : Liver disease. n
Peningkatan kadar BUN dengan kadar creatinine yang normal Peningkatan produksi urea, e. g. katabolisme protein n Azotemia awal/ dini n Penurunan palsu kreatinin , e. g. pada ikterus berat n
LAIN-LAIN AZOTEMIA : peningkatan kadar ureum di atas normal n UREMIA : kumpulan gejala azotemia, anuria, penurunan kesadaran (coma) biasanya karena gagal ginjal n UREMIC FROST : kelainan kulit yang ditemukan pada uremia n
KREATININ n Pemeriksaan kadar serum kreatinin untuk menilai fungsi ginjal (penurunan GFR) n Merupakan hasil metabolisme normal otot n Produksi endogen relatif stabil (Tidak tergantung metabolisme protein), kenaikan minimal akibat konsumsi protein hewani
KREATININ n Kreatinin difiltrasi glomerulus dan tidak diabsorbsi oleh tubulus sehingga hasil lebih akurat dibandingkan pemeriksaan ureum dalam menilai penurunan GFR n Kreatinin disekresi oleh tubulus jika konsentrasi plasma terlalu tinggi
PENYEBAB PENINGKATAN KREATININ Palsu : acetoacetate, glucose, vitamin C, uric acid, pyruvate, cephalosporins and amino acids n Penurunan GFR: Due to prerenal (ex : ketoacidosis), renal or post-renal causes n Peningkatan produksi : after ingestion of a recent meal, acute myositis, hypertyroid n
PENYEBAB PENURUNAN KREATININ Palsu: severe icterus n Penurunan produksi: Loss of muscle mass, severe liver disease (cirrhosis), anorexia, malnutrition n Peningkatan GFR: portosystemic shunts and during pregnancy (due to increased cardiac output). n
RATIO BUN : CREATININ (normal 20 x) LEBIH DARI 20 X n n n n n Perdarahan gastrointestinal Dehidrasi Stadium dini GNA Extravasasi urin Obstruksi uropathy Penurunan perfusi prerenal Trauma jaringan berat Fistula urinari intestinal Penyakit pengurusan otot KURANG 10 X n n n GNC dengan defisiensi protein Overhidrasi Rehidrasi yang cepat Hemodialisa yang berulang Insufisiensi hepar berat
KARAKTERISTIK PENANDA IDEAL GFR n n n Secara biologis bersifat inert dan non toksik Tidak terikat protein plasma Difiltrasi seluruhnya oleh glomerulus Tidak dimetabolisme, disintesa atau disimpan ginjal Tidak direabsorbsi atau disekresi oleh tubulus ginjal Klirens tetap konstan meskipun konsentrasi dalam plasma meningkat
PENGUKURAN GFR Inulin Klirens (Gold Standart) n Klirens penanda eksogen radioaktif (125 IIothalamate dan 99 m Tc-DTPA) n Klirens penenda eksogen (Iohexol, 51 Cr. EDTA) n Kreatinin Klirens n
Cystatin C n n Cystatin C atau human trace adalah suatu protein kation yang terdiri dari 120 asam amino dengan berat molekul 13, 3 kilodalton. Cystatin C diproduksi secara konstan oleh semua sel yang mempunyai nukleus Dieliminasi melalui filtrasi glomerulus sehingga dapat digunakan sebagai indikator yang baik untuk menilai laju filtrasi glomerulus(LFG), tidak ada sekresi tubulus seperti pada kreatinin Produksi Cystatin C tidak dipengaruhi oleh proses inflamasi, jenis kelamin, dan penyakit di luar ginjal, serta tidak bergantung pada umur kecuali pada umur di bawah 1 tahun.
Cystatin C n Cystatin C merupakan petanda endogen yang baru terhadap fungsi ginjal dan hubungannya dengan LFG lebih baik daripada kreatinin. n Pada pasien normal atau dengan penurunan fungsi ginjal derajat ringan kadar Cystatin C plasma lebih informatif dibandingkan dengan kadar kreatinin. n Karena Cystatin C tidak dipengaruhi oleh komposisi tubuh, maka sistatin C dapat digunakan untuk menilai fungsi ginjal pada pasien dengan kelainan yang mempengaruhi kadar kreatinin seperti anoreksia, penyakit hati, dan penyakit neuromuskular. n Pemeriksaan sistatin C lebih baik menggunakan serum daripada plasma.
ASAM URAT n n n Adalah produk sisa nitrogen, dapat dianggap produk asam amino yang menggunakan purin Merupakan produk akhir metabolisme asam nukleat /purin Purin : Adenin & Guanin Xantin oxidase terutama terdapat di hepar dan sebagian kecil di mukosa usus Konsentrasi urat dalam serum kurang lebih 2 kali dalam eritrosit Dalam serum / plasma : bentuk bebas & bentuk terikat ( dengan albumin)
METABOLISME PURIN
ASAM URAT Dipengaruhi intake makanan yang kaya purin juga dipengaruhi katabolisme purin endogen n Harga normal dalam serum n ¨ Laki-laki ¨ Wanita : 2, 1 – 7, 8 mg% : 2, 0 – 6, 4 mg% Hyperuricemia : kadar asam urat dalam serum yang lebih dari normal n Kristal asam urat dalam urine tidak mungkin larut pada ph < 6 n
Hyperuricemia n Overproduction (10% ) ¨ enzyme deficiency that is genetically determined ¨ malignancy or myelo/lymphoproliferative disorder Decreased elimination (under- excretion) (90%) n Drug induced n
KRISTAL ASAM URAT DALAM URINE
GOUT: arthropathy characterized by increased serum uric acid and recurrent attacks of acute arthritis
Epidemiology Of GOUT n A. Incidence: ¨ Hyperuricemia: 2 -18% of adult population ¨ Gout: 0. 1 -0. 3% of adult population n B. More common in males, ratio approximately 19: 1, most common inflammatory joint disorder in males over 40 years of age, increased incidence seen in women after menopause C. Peak incidence in 5 th decade, uncommon before 3 rd decade D. Heredity plays a role: approximately 25% of patients with gout have a positive family history
Pathogenesis and Pathophysiology of GOUT n n n Uric acid formed by oxidation of purine bases-a waste product that serves no function in normal humans, average daily production: 700 mg Uric acid eliminated through renal or fecal route renal elimination accounts for 2/3 of daily production (approximately 300 -600 mg/day) fecal elimination accounts for 1/3 of daily production Hyperuricemia Deposition of uric acid within subcutaneous tissues (tophi) or precipitation of monosodium crystals within joint synovium or within kidney because uric acid is not highly soluble Phagocytosis of crystals by leukocytes ultimately leads to cellular destruction and release of lysosomal enzymes into synovial space, resulting in acute inflammation
Factors increase your risk for gout Advancing age Male gender Family history of the condition Obesity Use of certain drugs, including diuretics, aspirin, cyclosporine, or levodopa Eating a lot of purine-rich foods Drinking a large amount of alcohol, particularly beer Exposure to lead Organ transplants Thyroid problems Other, serious illness
Other potential triggers of gout n n n n Surgery Stress Crash diets Sudden, severe illness Chemotherapy Joint injury High blood pressure Excessive exercise
PERALATAN UJI LABORATORIUM
AMONIA n n n Sebagian besar amonia dibentuk oleh bakteri di usus dari protein makanan ataupun dari urea Amonia diserap dari usus ke dalam vena porta yang mempunyai kadar amonia lebih tinggi darah sistemik Darah yang meninggalkan hati benar-benar bebas amonia didetox di hati Kerusakan hati yang berat menurunkan [urea] dan proses detox kadar amonia meningkat AMONIA juga diproduksi oleh ginjal ~ keseimbangan asam basa
PENYEBAB KENAIKAN KADAR AMONIA PADA PENDERITA PENYAKIT HATI KRONIS Jumlah yang berlebih dari nitrogen compon dalam intestinum baik oleh karena perdarahan ataupun karena diet n Produksi urin yang turun hepatorenal syndrome n Sintesa urea menurun amonia naik n Metabolisme alkalosis & hipokalemia n Portal hypertensi n