nitrogen cycle transamination reaction amino acid amino group











































































- Slides: 75
氮循環(nitrogen cycle)
轉胺反應(transamination reaction): • 將 -amino acid的 -amino group轉給 keto acid。 • transamination是一個可逆反應,是胺基 酸合成與分解時所必需的反應。
胺基的反應 • 1 轉胺作用(transamination): 反應由 aminotransferase催化 • 胺基酸的合成大部分以glutamate充當amino group donor。 • 有三個轉胺作用在代謝上具有重要的功能。 • 1 -ketoglutarate/glumate pair在胺基酸合 成與分解反應 • 2 oxaloacetate/asparate pair 在urea cycle • 3 pyruvate/alanine pair 在alanine cycle
Fig. 14. 2
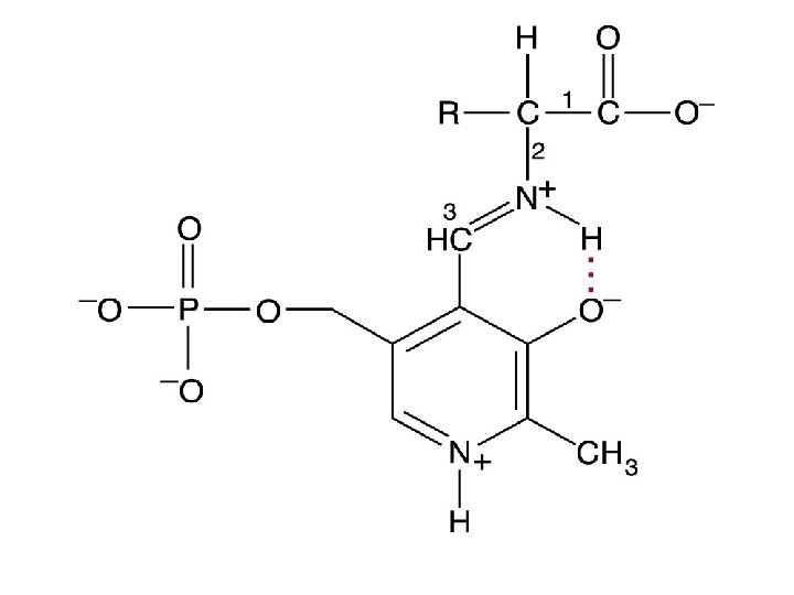
• pyridoxal-5 -phosphate(PLP): • 由pyridoxine(Vitamin B 6)組成是轉胺作用 的coenzyme。需PLP的酵素中,PLP是接在 Lysine residue上。PLP與胺基酸上的amino group結合形成中間物(intermediate)(如 圖),形成Schiff base
The biosynthetic pathways to glutamate and glutamine 1. Glutamine synthetase catalyzes the reaction of glutamine and NH 4+ to yield glutamine. Glutamate + ATP → -glutamyl phosphate + ADP -glutamyl phosphate + NH 4+ → glutamine + Pi + H+ Sum: Glutamate + NH 4+ +ATP → Glutamine + ADP + Pi + H+ Glutamine synthetase is found in all organisms.
3. L-glutamate dehydrogenase -Ketoglutarate + NH 4+ +NADPH → L-Glutamate + NADP+ + H 2 O • In eukaryotic cells, L-glutamate dehydrogenase is located in the mitochondrial matrix. The reaction equilibrium favors reactants, and the Km for NH 4+ (about 1 m. M) is so high that the reaction probably makes only a modest contribution to NH 4+ assimilation into amino acids and other metabolites
Glutamine synthetase is a primary regulatory point in nitrogen metabolism • In E. coli, glutamine synthetase has 12 identical subunits of Mr 50, 000 and is regulated both allosterically and by covalent modification. • Alanine, glycine, and at least six end products of glutamine metabolism are allosteric inhibitors of the enzyme. • Each inhibitor alone produces only partial inhibition, but the effects of multiple inhibitors are move than additive, and all eight together virtually shut down the enzyme.
Allosteric regulation of glutamine synthetase
X-ray crystal structure of glutamine synthetase
Regulation of glutamine synthetase by covalent modification • Adenylylation of Tyr 397 of glutamine synthetase increases sensitivity to the allosteric inhibitors, and activity decreases as more subunits are adenylylated. • Both adenylylation and deadenylylation are promoted by adenylyltransferase (AT). • The activity of AT is modulated by binding to a regulatory protein called PII, and the activity of PII, in turn, is regulated by covalent modification (uridylylation), again at a Tyr residue. • The AT complex with PII -UMP stimulates deadenylylation, where the same complex with PII stimulated adenylylation of glutamine synthetase. • Both uridylylation and deuridylylation of PII are brought about by a single enzyme, uridylyltransferase (UT). • Uridylylation is inhibited by binding of glutamine and Pi to UT and is stimulated by binding of -ketoglutarate and ATP to PII.
• The uridylylated PII also mediates the activation of transcription of the gene encoding glutamine synthetase, thus increasing the cellular concentration of the enzyme; the deuridylylated PII brings about a decrease in transcription of the same gene.
An adenylylated Tyr residue of glutamine synthetase
Cascade leading to adenylylation of glutamine synthetase
Asparagine的合成,需 Asparagine synthase
胺基酸的合成(synthesis of the amino acid) • 在動物中所有的NAA是由glycerate-3 phosphate、pyruvate、 -ketoglutarate 或oxaloacetate合成而來。另外tyrosine 是由phenylalanine合成而來。
Biosynthesis of amino acids • All amino acids are derived from intermediates in glycolysis, the citric acid cycle, or the pentose phosphate pathway. • Nitrogen enters these pathways by way of glutamate and glutamine. Whereas most bacteria and plants can synthesize all 20 amino acids, mammals can synthesize only about half of them. • These are the nonessential amino acids, not needed in the diet. The remainder, the essential amino acids, must be obtained from food.
Overview of amino acid biosynthesis • The carbon skeleton precursors derived from three sources: glycolysis (pink), the citric acid cycle (blue), and the pentose phosphate pathway (purple).
Serine, glycine, and cysteine are derived from phosphoglycerate
Biosynthesis of serine from 3 phosphoglycerate and of glycine from serine in all organisms In the liver of vertebrates, glycine can be made by another route: the reaction catalyzed by Glycine synthase (also called glycine cleavage enzyme): CO 2 + NH 4+ + N 5, N 10 -methylene tetrahydrofolate + NADH + H+ → Glycine + tetrahydrofolate + NAD+
Biosynthesis of cysteine from homocysteine and serine in mammals
Three nonessential and six essential amino acids are synthesized from oxaloacetate and pyruvate
Chorismate is a key intermediate in the synthesis of tryptophan, phenylalanine, and tyrosine
Concerted Inhibition Six products derived from glutamine serve as negative feedback modulators of the enzyme, and the overall effects of these and other modulators are more than additive. Such regulation is called Concerted inhibition.
Fig. 14. 4
• 胺基酸的生合成途徑有一個共同特性: 它們 的碳骨架是由glycolysis、pentose phosphate pathway與citric acid cycle 的中間產物而來,可分為 6個族群。 • 1. Glutamate family: 以 -ketoglutarate 為先驅物,合成glutamate、glutamine、 proline與arginine。 • 2. Serine family: 以glycerate-3 phosphate為先驅物,合成serine、glycine 與cysteine這一族的成員在生合成 (anabolism)中扮演重要的角色。
• Glycine是合成嘌呤(purine)、porphyrin( 紫質)、glutathione的先驅物(precursor)。 • Serine是合成ethanolamine與sphingosine 的先驅物。 • cysteine在硫代謝中具重要的角色。 • 3. Asparate家族: 以oxaloacetate為先驅 物,合成aspartate、asparagine、lysine、 methionine與threonine。 •
Fig. 14. 7
• 4. pyruvate家族: 以pyruvate為先驅物,包 含alanine、valine、leucine與isoleucine • alanine是由pyruvate進行轉胺作用合成的 • glutamate + pyruvate alanine + -ketoglutarate • 催化此反應的酵素為alanine transaminase(又稱glutamic pyruvic transaminase: GPT)
• 5. Aromatic家族: 是由 phosphoenolpyruvate與erythrose-4 phosphate起始合成,包含phenylalanine、 tyrosine與tryptophan。而tyrosine是 phenylalanine合成而得。 • 6. Histidine: 在健康的成人是屬於NAA,是 由phosphoribosylpyrophosphate(PRPP), ATP與glutamine所合成。
Fig. 14. 12
單碳的代謝(one-carbon metabolism) • 在生合成途徑(biosynthetic pathway)中, 最重要單碳的攜帶者(one carbon carrier) 包含(1)葉酸(folic acid) • (2)S-Adenosylmethionine。 • 另外Vit B 12也有此功能。
葉酸(Folic acid) • Folic acid: 分子包含一個pteridine nucleus與para-aminobenzoic acid,然後 接在glutamic acid上。 • 四氫葉酸(tetrahydrofolic acid: THF)是 生物活性的形式。能攜帶methyl、 methylene、methenyl與formyl group,結 合位置在pteridine ring的N 5與N 10的位置。 • Folic acid可經由dihydrofolate reductase的催化還原成THF,NADPH是輔因 子。
Fig. 14. 13
Table 14. 2
Fig. 14
Table 14. 3
Fig. 14. 15
Fig. 14. 16
Fig. 14. 17
Fig. 14. 18
Fig. 14. 19
神經傳導物質 (neurotransmitters): • 具有激發性(excitatory)與抑制性 (inhibitory)效應: • Excitatory neurotransmitters: 如乙醯膽 鹼(acetylcholine)或glutamate等,能促 進被傳導的細胞膜去極化(depolarization) • ,能增加action potential。 • Inhibitory neurotransmitters: 如 glycine與GABA,會造成Repolarization即 抑制action potential的形成。
Table 14. 4
nitric oxide synthase