Nilai pasar vs Nilai intrinsik Nilai pasar yaitu
















































- Slides: 48
Nilai pasar vs Nilai intrinsik • Nilai pasar yaitu harga pasar dari sekuritas tersebut • Nilai intrinsik sekuritas merupakan harga sekuritas yang seharusnya jika dihargai secara benarberdasarkan faktor 2 penunjang penilaian atau nilai ekonomis yang dimilikinya. • Pendekatan penilaian yang digunakan adalah pendekatan dalam menentukan nilai intrinsik sekuritas.
Menilai Obligasi merupakan sekuritas yang mewajibkan penerbitnya untuk melakukan pembayaran tertentu (kupon) pada pemegang obligasi.
Karakteristik Obligasi • Kupon merupakan pembayaran bunga yang dibayarkan kepada pemegang obligasi. • Tingkat (tarif) kupon : Pembayaran bunga tahunan sebagai persentase dari nilai muka. • Nilai nominal (muka atau pokok pinjaman merupakan pembayaran pada saat jatuh tempo obligasi. Juga disebut dengan nilai nominal (par value) atau nilai jatuh tempo.
Bagaimana Obligasi berfungsi? Contoh : Beberapa tahun yang lalu PT. X membutuhkan dana dengan menjual obligasi yang jatuh tempo tahun 2008 dan memiliki tingkat kupon 5, 5%, masing-masing obligasi memiliki nilai muka (nilai nominal) $1000, karena tingkat bunga 5, 5%, jadi perusahaan melakukan pembayaran kupon 5, 5% dari $1000 = $55 untuk tiap tahun. Ketika obligasi jatuh tempo, dibayar $1000 + kupon terakhir.
• Anggap bahwa pada tahun 2005 Anda memutuskan untuk membeli “obligasi” 5, 5 2008”, yakni obligasi kupon 5, 5% yang jatuh tempo pada tahun 2008. Jika anda merencanakan memegang obligasi itu hingga jatuh tempo. Maka arus kas yang diterima : arus kas awalnya negatif dan sama dengan harga yang harus anda bayarkan untuk obligasi tersebut.
Setelah itu, kas mengalir dengan jumlah sama dengan pembayaran kupon tahunan hinggaa tanggal jatuh temponya. Pada tahun 2008, ketika anda menerima nilai muka $1000 obligasi plus pembayaran kupon akhir, yaitu thn 2006 harga yg dibayar atas obligasi, arus kas diperoleh : $55, 2007 arus kas diperoleh : $55, dan 2008, menerima nilai muka $1000 + $55 ( pembayaran kupon terakhir)
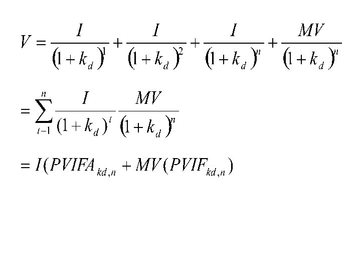
Obligasi maturitas terbatas • Obligasi Kupon Bukan Nol • Obligasi Kupon nol • Jika Obligasi Memilki maturitas maka tidak hanya mempertimbangkan aliran bunga tapi juga nilai akhir ( nilai maturitas atau nilai muka) dalam menilai obligasi. Persamaan penilaian untuk obigasi jenis ini ;
Tingkat Bunga dan Harga Obligasi Nilai sekuritas pada contoh diatas adalah niali sekarang dari arus kas yang akan dibayarkan pada pemiliknya. Untuk menentukan nilainya, perlu mendiskontokan masing- masing pembayaran masa depan dengan tingkat bunga sekarang. Jadi, jika obligasi 5, 5% menawarkan pengembalian lebih rendah daripada 3, 5%, maka tidak akan ada yang mau memegangnya. Demikian pula sebaliknya.
Contoh Menghitung nilai sekarang obligasi 5, 5%, 2008 dengan mendiskontokan arus kas pada tingkat 3, 5%:
• Harga obligasi biasanya mengungkapkan persentase dari nilai mukanya, maka kita bisa katakan bahwa obligasi 5, 5% bernilai 105, 603 persen dari nilai mukanya.
Harga Obligasi dan Pembayaran Kupon semitahunan • Pembayaran kupon semitahunan hanya sekedar menambah perhitungan yang sudah standar.
• Bagaimana Harga Obligasi berbervariasi menurut tingkat bunga atau tingkat pengembalian
Dimana : n = jangka waktu dalam tahun hingga akhir maturitas MV = nilai maturitas obligasi kd = tingkat Pengembalian yang diinginan I= Bunga yang diterima periode Contoh ; tentukan nilai obligasi $1000 dengan kupon 10% dan jangka waktu maturitas 9 tahun, jika tingkat pengembalian yang diinginkan untuk obligasi sebesar 12% maka berapa nilai obligasi tersebut.
Obligasi kupon Nol
t= Obligasi tanpa batas waktu
Contoh 1. Anda dapat membeli obligasi yang memberikan $50 pertahun selamanya, tingkat pengembalian yang diinginkan untuk obligasi ini 12%, berapa nilai sekarang dari obligasi tersebut
Lanjutan Contoh 2. Tentukan nilai obligasi $100 dengan kupon 8% dan jangka waktu maturitas 9 tahun. Tingkat kupon berhubungan dengan pembayaran bunga $8 per tahun. Jika tingkat pengembalian yang diinginkan untuk obligasi sebesar 12%, Berapakah nilai obligasi tersebut?
Lanjutan contoh • Jika tingkat diskonto yang sesuai atau tingkat pengembalian yg diinginkan adalah 6%, bukan 12%, menjadi berapa nilai obligasi? 3. Perusahaan menerbitkan obligasi kupon nol dengan maturitas 10 tahun dan nilai nominal $1000, tingkat pengembalian yang diinginkan 12%, berapa nilai obligasi ?
Imbal Hasil Sekarang (current yield) Imbal hasil sekarang merupakan pembayaran kupon tahunan dibagi dengan harga obligasi.
Contoh • Anggap anda sedang mempertimbangkan pembelian obligasi 3 tahunan dengan tingkat kupon 10%, nilai muka obligasi $1000, Bagaimana anda menghitung tingkat pengembalian yang ditawarkan oleh obligasi ini?
Jawaban • Untuk obligasi yang dihargai pada nilai muka, jawabannya mudah. Tingkat pengembalian adalah tingkat kuponnya • Sekarang anggap harga pasar obligasi 3 tahunan adalah $ 1. 136, 16, Berapakah tingkat pengembalian sekarang ? Jika anda membayar $1. 136, 16 dan menerima pendapatan tahunan $100, jadi $100/1. 136, 16 = 0, 088 ( imbal hasil sekarang). n
Perilaku harga obligasi • Obligasi yang dihargai diatas nilai muka/nilai nominal dikatakan dijual pada premi ( at a premium ) • Obligasi yang dihargai di bawah nilai muka dijual pada diskon ( at a discount) • Karena berfokus hanya pada penghasilan sekarang dan mengabaikan peningkatan atau penurunan harga prospektif, imbal hasil sekarang tidak mengukur tingkat pengembalian total obligasi , tapi melebihsajikan pengembalian obligasi premi dan mengurangsajikan obligasi diskonto
Imbal hasil obligasi terhadap jatuh tempo(YTM) Imbal hasil terhadap jatuh tempo merupakan tingkat bunga yang menyamakan nilai sekarang pembayaran obligasi dengan harganya. Imbal hasil jatuh tempo didefenisikan sebagai tingkat diskonto yang membuat nilai sekarang pembayaran obligasi sama dengan harganya.
Persamaannya : • Jika nilai instrinsik diganti dengan harga pasar berlaku ( Po) maka akan menjadi : Interpolasi / Penyisipan.
Lanjutan • Obligasi dengan nilai pari $1000, memiliki karakteristik sebagai berikut ; Harga pasar berlaku $761, masa maturitas 12 tahun, dan suku bunga kupon 8%( dengan bunga yang dibayar setiap tahun), Selanjutnya ingin ditentukan tingkat diskonto yang menetapkan nilai sekarang dari aliran arus kas obligasi yang diharapkan sama dengan harga pasar berlaku obligasi, ( misalkan tingkat bunga awal 10%).
Lanjutan Soal 1. Obligasi pemerintah 30 tahun diterbitkan dengan nilai muka $1000, membayar bunga $60 pertahun. Jika imbal hasil pasar naik segera setelah obligasi pemerintah diterbitkan, apa yang terjadi dengan a. Tingkat kuponnya b. harganya c. imbal hasil terhadap jatuh temponya, dan imbal hasil sekarangnya
Saham dan Pasar Saham • Saham Biasa merupakan saham kepemilikan di perseroan yang dimiliki publik • Pasar perdana yaitu pasar untuk penjualan sekuritas baru oleh perseroan • Penawaran publik awal( IPO) yaitu penawaran saham pertama pada publik umum • Pasar sekunder yaitu pasar tempat sekuritas yang telah diterbitkan sebelumnya diperdagangkan
Lanjutan • Dividen merupakan distribusi kas periodik dari perusahaan kepada pemegang sahamnya. • Rasio/kelipatan harga laba(P/E) yaitu rasio harga saham terhadap laba per saham
Nilai Buku, Nilai likuidasi dan nilai pasar • Nilai buku merupakan kekayaan bersih perusahaan menurut neraca, atau mencatat berapa yang dibayar perusahaan untuk asetnya, dikurangi pengurangan untuk penyusutan. • Nilai likuidasi merupakan hasil bersih yang bisa direalisasikan dengan menjual aset-aset perusahaan dan melunasi utang-utang pada kreditur. • Nilai pasar adalah jumlah yang bersedia di bayar oleh investor untuk saham perusahaan.
Menilai Saham Biasa • Investor tidak terlalu dikhawatirkan oleh kenaikan atau penurunan saham karena hal ini terjadi terhadap nilai keseluruhan portofolio mereka. • Konsep ini memiliki dampak penting dalam menentukan tingkat pengembalian sekuritas yang diinginkan. • Fokus Pembahasan pertama adalah ukuran dan pola pengembalian dari saham biasa
Harga hari ini dan harga esok hari Imbalan tunai kepada pemilik saham ada 2 bentuk, dividen dan keuntungan atau kerugian modal. Anggap harga sekarang 1 lembar saham adalah Pₒ bahwa perkiraan /ekspektasi harga satu tahun ari sekarang adalah P₁ dan bahwa perkiraan dividen
• Pada saat menilai obligasi dan saham preferen kita menentukan nilai diskonto dari seluruh distribusi kas dari perusahaan kepada investor • Dalam cara yang sama, nilai saham biasa dapat dipandang sebagai nillai diskonto dari seluruh dividen kas yang diharapkan diberikan oleh perusahaan penerbit pada akhir periode
Menilai saham Biasa Dividen Sebagai Dasar Dimana : D 1 adalah dividen kas pada akhir periode t dan ke adalah tingkat pengembalian yang diminta investor, atau tingkat kapitalisasi, untuk investasi ekuitas ini.
Dividend discounted model • Dividen yg tdk dibayar dg teratur • Dividen konstan tdk bertumbuh • Pertumbuhan dividen yg konstan
Dividen yg tdk dibayar dg teratur Dividen dibayarkan dalam 5 tahun, return yang diinginkan adalah 20% Periode 1 2 3 4 5 Dividen (Rp) 1. 000 1. 500 0 750 2. 100
Model Diskonto Dividen 1. Pertumbuhan Konstan
Dividen konstan tdk bertumbuh • Dividen secara teratur dibayarkan Rp 1. 000, maka, nilai wajarnya adalah:
Jika kita hanya ingin memiliki saaham selama 2 tahun saja maka model akan menjadi
Contoh • Misalkan dividen per lembar saham pada t=1, diharapkan sebesar $4, yang diharapkan untuk terus berkembang pada tingkat 6% dengan tingkat diskonto 14%, berapakah nilai satu lembar saham tersebut?
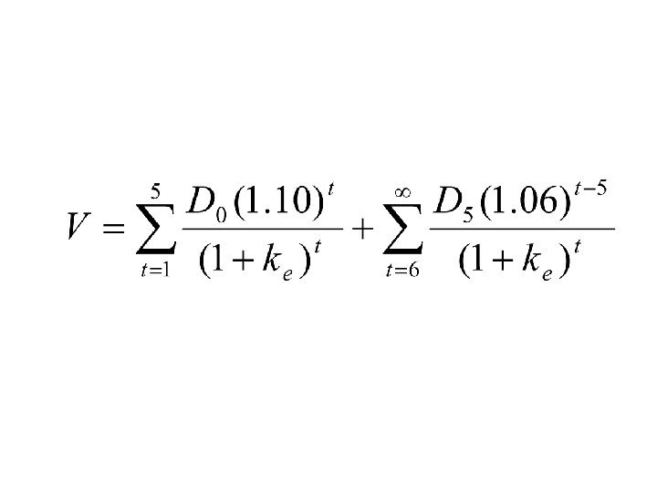
Tahap pertumbuhan • Sejumlah model penilaian didasarkan pada premis bahwa perusahaan mungkin menunjukan tingkat pertumbuhan diatas normal untuk beberapa tahun, namun akhirnya tingkat pertumbuhan akan menurun. • Contoh : Jika dividen perlembar saham diharapkan berkembang pada tingkat majemuk 10% selama 5 tahun dan selanjutnya pada tingkat 6% maka :
• Perhatikan bahwa pertumbuhan dividen pada tahap kedua menggunakan dividen yang diharapkan pada periode 5 sebagai dasar. • Maka eksponen pertumbuhan adalah t-5 yang berarti eksponen pada periode 6 =1, pada periode 7=2 dan seterusnya. • Tahap kedua ini sama dengan model pertumbuhan konstan setelah periode pertumbuhan diatas normal
Tahap 1 : Nilai sekarang dari dividen diterima dalam lima tahun pertama Akhir Tahun Perhitungan nilai sekarang Dividen x PVIF (14%, t) Nilai sekarang dividen 1 $2 ( 1, 10)1 =2, 20 x 0, 877= $1, 93 2 $2( 1, 10)2 = $2, 42 x 0, 769 $1, 86 3 $2((1, 10) 3 = 4 5
Tahap 2 ; Nilai sekarang komponen pertumbuhan konstan Dividen pada akhir tahun ke 6 : $3, 22 ( 1, 06) = $3, 41 Nilai saham pada akhir tahun ke 5 :
Maka Nilai saham sekarang • V= $8, 99 + $22, 13 = $31, 12
Soal 1. Perusahaan baru 2 ini membayar dividen $2 per saham dan dividen ini diharapkan untuk berkembang menjadi 15% tingkat tahunan selama tiga tahun, 10% untuk tiga tahun selanjutnya dan 5% seterusnya. Berapakah nilai saham yang akan anda berikan jika tingkat pengembalian 14% 2. Perusahaan baru-baru ini mimbayar dividen sebesar $1, 60 perlembar saham biasa. Perusahaan berharap dapat meningkatkan dividen menjadi 20%, pertahun dalam empat tahun pertama dan 13% untuk 4 tahun berikutnya dan selanjutnya tingkat dividen adalah 7%Anda meminta tingkat pengembalian 16% atas saham. Berapa nilai per lembar saham?