Nilai harapan mean or expected value EX Dalam

  • Slides: 34
Download presentation
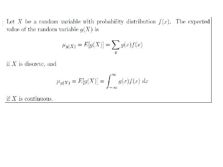
Nilai harapan , mean, or expected value, E(X)

Nilai harapan , mean, or expected value, E(X)

 • Dalam permainan seseorang mendapat 5$bila muncul semua muka atau belakang jka tiga

• Dalam permainan seseorang mendapat 5$bila muncul semua muka atau belakang jka tiga uang logam dilantunkan dan membayar 3$ bila muncul muka satu atau 2. Berapa harapan kemenanganya? • Jawab • Misal peubah acak Y=kemenangan yang dapat diperoleh yaitu 5$ dan -3$, masing-masing dengan peluang 1/4 dan ¾. Jadi • E(X)=(5)(1/4)+(-3)(3/4)=-1 • Dalam permainan tadi, rata-rata pemain akan kalah 1$ • Dalam permainan dianggap adil jika E(X)=0

Latihan • 1. Dengan membeli sejenis saham tertentu seseorang dapat memperoleh keuntungan 3000$ dengan

Latihan • 1. Dengan membeli sejenis saham tertentu seseorang dapat memperoleh keuntungan 3000$ dengan peluang 0. 3 dan rugi 1000$ dengan peluang 0. 7. Berapa harapan keuntungannya. • 2. Dalam permainan judi di AS seseorang membayar 2$ bila menarik jack atau queen dan 5$ bila dia menarik king atau as dari sekotak kartu bridge. Bila menarik kartu lain dia kalah. Berapa banyak dia harus membayar untuk main, jika permainan itu adil. • 3. Seorang pembalap mobil ingin mengasuransikan mobilnya selama musim balapan mendatang sebesar 10 000$. Perusahaan ansuransi menaksir terjadinya kerusakan total (10 000$) dengan peluang 0. 002. kerugian 50% dengan peluang 0, 01 dan kerugian 25% dengan peluang 0. 1%. Jika kerugian lainnya diabaikan , berapa besarnya premi yang seharusnya ditagih oleh perusahaan asuransi tiap musim balapan agar mendapat keuntungan 100$

Sifat nilai harapan

Sifat nilai harapan