NHIET HOC 1 KH LY TNG Kh ly






































































- Slides: 70
NHIEÄT HOÏC
1. KHÍ LYÙ TÖÔÛNG + Khí lyù töôûng : Caùc phaân töû khí raát xa nhau → coi nhö khoâng töông taùc nhau. + Traïng thaùi moät heä (khoái) khí ñöôïc xaùc ñònh bôûi caùc thoâng soá traïng thaùi: P, V, T a/Aùp suaát -Ñònh luaät Dalton : “Aùp suaát moät hoãn hôïp khí baèng toång aùp suaát rieâng phaàn cuûa töøng chaát khí thaønh phaàn “
b/ Nhieät ñoä : Ñaïi löôïng vaät lyù theå hieän möùc ñoä chuyeån ñoäng hoãn loïan cuûa caùc phaân töû cuûa vaät(hay heä vaät) ñang xeùt. -Caùc nhieät giai : - Nhieät giai Celsius : Ñieåm tan cuûa nöôùc ñaù vaø ñieåm soâi cuûa nöôùc tinh khieát ôû aùp suaáp 1 atm. - Nhieät giai Kelvin : Nhieät giai Fahrenheit : Ñieåm tan cuûa nöôùc ñaù vaø ñieåm soâi cuûa nöôùc tinh khieát ôû aùp suaát 1 atm töông öùng laø :
Hình (1. 1): Töông quan giöõa aùp suaát vaø nhieät ñoä ñoái vôùi 3 loïai khí khaùc nhau. ? ? ? Nhaän xeùt gì ? Vôùi moïi loïai khí, ñöôøng ngoïai suy P→ 0 vôùi moïi loïai khí ñeàu gaëp nhau taïi -273, 15 0 C.
1. Phöông trình traïng thaùi khí lyù töôûng (Phöông trình Clapeyron – Mendeleev) f (P, V, T ) = 0 (1. 1) Vôùi m (kg) khí : Vôùi 1 kmol khí : : khoái löôïng cuûa 1 kmol Trong ñieàu kieän tieâu chuaån: p=1 atm; 00 C (1. 2) Haèng soá khí lyù töôûng : (1. 3)
N : Toå soá phaân töû chöùa trong khoái khí NA : Soá phaân töû trong 1 kmol. : Haèng soá Bolzman (1. 4) (1. 5)
Caùc tröôøng hôïp rieâng : Caùc ñònh luaät thöïc nghieäm. Boyle-Mariotte(1669) Gay-Lussac(1802) Charles : Heä soá daõn nôû nhieät, cho moïi chaát khí
V O ( a) Hình (1. 2): T (b) P a/Ñöôøng ñaúng nhieät , coù daïng Hypecbol. b / Ñöôøng ñaúng aùp(Gay Lussac c/ Ñöôøng ñaúng tích (Charles). O (c) T
8. 2 KHÁI NIỆM VỀ NĂNG LƯỢNG, CÔNG VÀ NHIỆT LƯỢNG
KHÁI NIỆM VỀ NĂNG LƯỢNG, CÔNG VÀ NHIỆT LƯỢNG 8. 2. 1. NĂNG LƯỢNG Khái niệm Năng lượng của một hệ là đại lượng vật lý có thể dùng để chỉ mức độ vận động của hệ (động năng), mức độ tương tác của hệ với môi trường ngoài (thế năng) và khả năng tương tác lẫn nhau của các hạt tạo thành hệ (nội năng).
KHÁI NIỆM VỀ NĂNG LƯỢNG, CÔNG VÀ NHIỆT LƯỢNG Thông thường các đối tượng nghiên cứu xem là đứng yên và bỏ qua các trường ngoài. Động năng và thế năng của hệ bằng không. Năng lượng = Nội năng Ø Đơn vị của nội năng là đơn vị năng lượng (Joule) hay của đơn vị nhiệt lượng (calory).
KHÁI NIỆM VỀ NĂNG LƯỢNG, CÔNG VÀ NHIỆT LƯỢNG Hệ ở trạng thái xác định Hệ thay đổi trạng thái U có giá trị xác định U thay đổi Nội năng phụ thuộc vào trạng thái của hệ Nội năng không phụ thuộc quá trình biến đổi Nội năng là hàm đơn trị của trạng thái.
KHÁI NIỆM VỀ NĂNG LƯỢNG, CÔNG VÀ NHIỆT LƯỢNG 8. 2. 2. CÔNG Khái niệm (Với khối khí đứng yên) Lực tác dụng lên chất khí được xem là thực hiện một công nếu làm thể tích chất khí thay đổi. Khái niệm công gắn liền với quá trình biến đổi thể tích!
KHÁI NIỆM VỀ NĂNG LƯỢNG, CÔNG VÀ NHIỆT LƯỢNG Công mà hệ thực hiện được khi đi theo các qui trình khác nhau là khác nhau. Công không những phụ thuộc vào trạng thái đầu và trạng thái cuối mà nó còn phụ thuộc vào qui trình đường đi. Công là hàm của quá trình
KHÁI NIỆM VỀ NĂNG LƯỢNG, CÔNG VÀ NHIỆT LƯỢNG 8. 2. 2. 1. Qui ước Ø Công A có giá trị dương nếu hệ nhận công. Ø Công A có giá trị âm nếu hệ sinh công. Ø Với những công nguyên tố, ta biểu diễn là δA Ø Công là một hình thức trao đổi năng lượng giữa hai hệ, nên công cũng được tính theo đơn vị của năng lượng (Joule hoặc Calory).
KHÁI NIỆM VỀ NĂNG LƯỢNG, CÔNG VÀ NHIỆT LƯỢNG 8. 2. 2. 2. Biểu thức tính công trong một quá trình cân bằng v Công nhỏ δA: Bài toán: Xét một khối khí trong một xy lanh, pít tông có thể di chuyển tự do không ma sát, chọn trục Ox như hình vẽ. S O x 2 x 1 Hình 8. 1 F
KHÁI NIỆM VỀ NĂNG LƯỢNG, CÔNG VÀ NHIỆT LƯỢNG Ø Áp suất bên ngoài tác dụng lên pít tông: p = F/S Ø Trong quá trình cân bằng, áp suất này là áp suất của khối khí trong xy lanh và công mà khối khí nhận được δA (dương). Công đó là công mà ta đã mất đi để nén pít tông. dx = x 2 x 1 < 0 Vì nên công nhỏ: δA = Fdx = p. Sdx = pd. V > 0 Ø Vậy: δA = pd. V (8. 1)
KHÁI NIỆM VỀ NĂNG LƯỢNG, CÔNG VÀ NHIỆT LƯỢNG v Công lớn A: v Bài toán: Cho một quá trình biến đổi hữu hạn, trong đó thể tích của hệ thay đổi từ V 1 đến V 2. v Phương pháp tính công: Chia nhỏ quá trình thành nhiều quá trình nhỏ liên tiếp để tính công vi phân δA mà hệ nhận được trong từng quá trình nhỏ, sau đó lấy tổng.
KHÁI NIỆM VỀ NĂNG LƯỢNG, CÔNG VÀ NHIỆT LƯỢNG 8. 2. 2. NHIỆT LƯỢNG Ø Giả sử có hai vật, gồm một vật nóng và một vật lạnh tiếp xúc nhau. Ø Năng lượng được truyền từ vật nóng sang vật lạnh mà thể tích của hai vật vẫn không thay đổi, điều này có nghĩa là không có sự thực hiện công. Ø Vậy hai vật vẫn trao đổi năng lượng với nhau nhưng không phải qua công mà là qua nhiệt lượng. Nói cách khác, nhiệt lượng là một dạng trao đổi khác của năng lượng khi công không được thực hiện.
KHÁI NIỆM VỀ NĂNG LƯỢNG, CÔNG VÀ NHIỆT LƯỢNG Nhiệt lượng chỉ tồn tại khi có một quá trình biến đổi xảy ra. Sự trao đổi nhiệt không những phụ thuộc vào trạng thái đầu và cuối mà còn phụ thuộc vào đường đi. Nhiệt lượng không phải là hàm của trạng thái mà là hàm của quá trình.
KHÁI NIỆM VỀ NĂNG LƯỢNG, CÔNG VÀ NHIỆT LƯỢNG 8. 2. 3. 1. Qui ước Ø Một nhiệt lượng Q dương có ý nghĩa là có một luồng nhiệt chảy vào hệ thống, nói cách khác nếu hệ nhận nhiệt thì Q được coi là dương. Ø Một nhiệt lượng Q âm có ý nghĩa là có một luồng nhiệt chảy ra khỏi hệ thống, nói cách khác nếu hệ nhả nhiệt thì Q được coi là âm. Ø Đơn vị: theo đơn vị năng lượng (Joule hoặc Calory).
KHÁI NIỆM VỀ NĂNG LƯỢNG, CÔNG VÀ NHIỆT LƯỢNG 8. 2. 3. 2. Biểu thức tính nhiệt lượng trong một quá trình cân bằng v Nhiệt lượng nhỏ δQ: § Gọi δQ là nhiệt lượng hệ nhận vào để nhiệt độ tăng d. T. § Thực nghiệm: δQ tỉ lệ với d. T và tỉ lệ khối lượng M của hệ δQ = c. Md. T (8. 3) c là hệ số tỉ lệ, được gọi là dung lượng riêng của hệ (J/kg)
KHÁI NIỆM VỀ NĂNG LƯỢNG, CÔNG VÀ NHIỆT LƯỢNG § Nhiệt dung phân tử C là: C = µ. c § Vậy nhiệt lượng mà hệ nhận được:
KHÁI NIỆM VỀ NĂNG LƯỢNG, CÔNG VÀ NHIỆT LƯỢNG v Nhiệt lượng lớn Q: v Bài toán: Xét một quá trình nung nóng hệ trong đó nhiệt độ thay đổi từ T 1 đến T 2. v Phương pháp tính: Tương tự như trong trường hợp công. Ta tính được: Vậy:
KHÁI NIỆM VỀ NĂNG LƯỢNG, CÔNG VÀ NHIỆT LƯỢNG q Nhiệt lượng là hàm của quá trình, nghĩa là ứng với T như nhau, nhưng với quá trình khác nhau thì nhiệt lượng nhận được khác nhau. q Hai quá trình quan trọng là quá trình đẳng tích và quá trình đẳng áp.
KHÁI NIỆM VỀ NĂNG LƯỢNG, CÔNG VÀ NHIỆT LƯỢNG Quá trình đẳng tích C = Cv : nhiệt dung phân tử đẳng tích.
KHÁI NIỆM VỀ NĂNG LƯỢNG, CÔNG VÀ NHIỆT LƯỢNG Quá trình đẳng áp C = CP : nhiệt dung phân tử đẳng áp.
8. 3 NGUYÊN LÝ THỨ NHẤT NHIỆT ĐỘNG HỌC
NGUYÊN LÝ THỨ NHẤT NHIỆT ĐỘNG HỌC 8. 3. 1. PHÁT BIỂU VÀ BIỂU THỨC 8. 3. 3. 1/ Phát biểu Độ biến thiên nội năng (năng lượng) của một hệ trong một quá trình biến đổi bằng tổng công và nhiệt lượng mà hệ nhận vào trong quá trình đó.
NGUYÊN LÝ THỨ NHẤT NHIỆT ĐỘNG HỌC 8. 3. 3. 2/ Biểu thức Nếu quá trình nhỏ, độ biến thiên nội năng: d. U = δA + δQ (8. 10) Quá trình hữu hạn: ∆U = A + Q (8. 11)
NGUYÊN LÝ THỨ NHẤT NHIỆT ĐỘNG HỌC Ø Chu trình khép kín là quá trình mà trạng thái cuối trùng với trạng thái đầu. Ø Nội năng là hàm trạng thái. U 1 = U 2 Ø Vậy độ biến thiên nội năng (năng lượng) của một hệ trong một quá trình biến đổi bằng tổng công và nhiệt lượng mà hệ nhận vào trong quá trình đó. ∆U = A + Q = 0 A = Q
NGUYÊN LÝ THỨ NHẤT NHIỆT ĐỘNG HỌC Hệ nhận công (A > 0) Hệ nhận nhiệt (Q > 0) Toả nhiệt (Q < 0) Sinh công (A < 0) Môi trường bên ngoài nhận nhiệt lượng Q´ = Q > 0 Môi trường bên ngoài nhận được công A´ = A > 0
NGUYÊN LÝ THỨ NHẤT NHIỆT ĐỘNG HỌC 8. 3. 3. 3/ Động cơ vĩnh cửu loại một Xét một động cơ nhiệt hoạt động theo một chu trình kín, kết thúc chu trình thì độ biến thiên nội năng của hệ U = 0. Động cơ vĩnh cửu loại một: là động cơ có khả năng sinh ra công mà không cần nhận năng lượng ở đầu vào.
NGUYÊN LÝ THỨ NHẤT NHIỆT ĐỘNG HỌC Nguyên lý thứ nhất Nếu động cơ sinh công (A < 0) thì phải nhận một lượng nhiệt từ bên ngoài (Q > 0). Không thể có động cơ có thể sinh ra công mà không cần nhận năng lượng. Không thể nào chế tạo được động cơ vĩnh cửu loại một !!!
NGUYÊN LÝ THỨ NHẤT NHIỆT ĐỘNG HỌC 8. 3. 2. ỨNG DỤNG NGUYÊN LÝ THỨ NHẤT NHIỆT ĐỘNG HỌC ĐỂ NGHIÊN CỨU CÁC QUÁ TRÌNH BIẾN ĐỔI CỦA KHÍ LÝ TƯỞNG 8. 3. 2. 1/ Quá trình đẳng tích (V = const) Xét quá trình hơ nóng hoặc làm lạnh khối khí trong một bình kín có hệ số dãn nở không đáng kể.
NGUYÊN LÝ THỨ NHẤT NHIỆT ĐỘNG HỌC v Công hệ nhận được: § Từ công thức (8. 2): § Do V = const nên d. V= 0. § Công mà hệ nhận trong quá trình đẳng tích:
NGUYÊN LÝ THỨ NHẤT NHIỆT ĐỘNG HỌC v Độ biến thiên nội năng § Từ công thức (7. 11), ta có độ biến thiên nội năng:
NGUYÊN LÝ THỨ NHẤT NHIỆT ĐỘNG HỌC v Nhiệt lượng hệ nhận được § Theo nguyên lý thứ nhất, ta có: ∆U = A + Q Q = ∆U A = ∆U § Theo (8. 7) thì: § Từ biểu thức Q = ∆U , suy ra nhiệt dung riêng phân tử đẳng tích:
NGUYÊN LÝ THỨ NHẤT NHIỆT ĐỘNG HỌC 8. 3. 2. 2/ Quá trình đẳng áp (P = const) Xét quá trình hơ nóng hoặc làm lạnh khối khí trong một bình kín có hệ số dãn nở không đáng kể. v Độ biến thiên nội năng Từ công thức (7. 11), độ biến thiên nội năng:
NGUYÊN LÝ THỨ NHẤT NHIỆT ĐỘNG HỌC v Công hệ nhận được: § Từ công thức (8. 2): § Do P = const nên: § Công mà hệ nhận trong quá trình đẳng áp:
NGUYÊN LÝ THỨ NHẤT NHIỆT ĐỘNG HỌC v Nhiệt lượng hệ nhận được § Theo nguyên lý thứ nhất, ta có:
NGUYÊN LÝ THỨ NHẤT NHIỆT ĐỘNG HỌC § Nhiệt lượng mà hệ nhận được trong quá trình đẳng áp: § So sánh công thức (8. 16) với công thức (8. 9): § Nhiệt dung phân tử đẳng áp:
NGUYÊN LÝ THỨ NHẤT NHIỆT ĐỘNG HỌC § Từ (8. 16) suy ra được phương trình Maier: § Tỉ số: § Vậy, hệ số Poisson:
NGUYÊN LÝ THỨ NHẤT NHIỆT ĐỘNG HỌC 8. 3. 2. 3/ Quá trình đẳng nhiệt (T = const) Định nghĩa Để cho một quá trình có thể là đẳng nhiệt thì nhiệt lượng từ bên ngoài cung cấp cho hệ cũng như là nhiệt lượng mà hệ nhả ra cho môi trường xung quanh phải diễn ra rất chậm sao cho hệ luôn ở trạng thái cân bằng nhiệt trong suốt quá trình đó. Ví dụ: Quá trình nén hoặc dãn rất chậm một khối khí trong trường hợp môi trường có nhiệt độ không đổi.
NGUYÊN LÝ THỨ NHẤT NHIỆT ĐỘNG HỌC v Công hệ nhận được: § Từ công thức (8. 2): Mà § Nên § Công mà hệ nhận trong quá trình đẳng nhiệt:
NGUYÊN LÝ THỨ NHẤT NHIỆT ĐỘNG HỌC v Độ biến thiên nội năng § Từ công thức (7. 11), độ biến thiên nội năng: § Do T = const nên ∆T = 0. § Vậy: ∆U = 0 (8. 20)
NGUYÊN LÝ THỨ NHẤT NHIỆT ĐỘNG HỌC v Nhiệt lượng hệ nhận được § Theo nguyên lý thứ nhất, ta có:
NGUYÊN LÝ THỨ NHẤT NHIỆT ĐỘNG HỌC 8. 3. 2. 4/ Quá trình đoạn nhiệt Định nghĩa Quá trình đoạn nhiệt là một quá trình mà trong đó không có sự truyền nhiệt vào trong cũng như mất nhiệt ra khỏi hệ nhiệt động đang xét. Nói cách khác, quá trình đoạn nhiệt là một quá trình hoàn toàn cách nhiệt (Q = 0). Ví dụ: quá trình nén hoặc dãn khí trong một bình có vỏ cách nhiệt tốt.
NGUYÊN LÝ THỨ NHẤT NHIỆT ĐỘNG HỌC § Theo nguyên lý thứ nhất, ta có: d. U = δA + δQ § Vì: § Mà: § Vậy: δQ = 0 → d. U = δA (*)
NGUYÊN LÝ THỨ NHẤT NHIỆT ĐỘNG HỌC § Theo (8. 1) thì: δA = -pd. V § Vậy theo (*) và (* *) thì: γ là hệ số Poisson có được từ công thức (8. 18). § Nên: γpd. V + Vdp = 0 § Chia hai vế cho p. V:
NGUYÊN LÝ THỨ NHẤT NHIỆT ĐỘNG HỌC § Tích phân hai vế: ln. V + lnp = const ln(p. V ) = const § Do đó, phương trình Poisson đối với quá trình đoạn nhiệt p. V = const (8. 22)
NGUYÊN LÝ THỨ NHẤT NHIỆT ĐỘNG HỌC § Từ phương trình trạng thái của khí lý tưởng ta có thể rút ra áp suất p. § Thay p vào phương trình Poisson (8. 22) § Ta có § Suy ra phương trình: (8. 23)
NGUYÊN LÝ THỨ NHẤT NHIỆT ĐỘNG HỌC Độ biến thiên nội năng Từ công thức (7. 11):
NGUYÊN LÝ THỨ NHẤT NHIỆT ĐỘNG HỌC v Công hệ nhận được: § Mà: § Vậy công mà hệ nhận được trong quá trình đoạn nhiệt (8. 24)
NGUYÊN LÝ THỨ NHẤT NHIỆT ĐỘNG HỌC 8. 3. 2. 4/ Quá trình đa biến (politropic) Định nghĩa Quá trình đa biến là quá trình mà áp suất và thể tích khí lý tưởng liên hệ với nhau bằng hệ thức: (8. 25) p. Vn = const Ø n có thể lấy giá trị từ -∞ đến +∞. Ø Tất cả các quá trình mà ta vừa xét ở trên là những trường hợp riêng của quá trình đa biến, được nêu trong bảng 8. 1.
NGUYÊN LÝ THỨ NHẤT NHIỆT ĐỘNG HỌC Bảng 8. 1 n Quá trình 0 Đẳng áp 1 Đẳng nhiệt γ Đoạn nhiệt ±∞ Đẳng tích
NGUYÊN LÝ THỨ NHẤT NHIỆT ĐỘNG HỌC § Từ (8. 25) ta có thể suy ra quá trình đẳng tích như sau: (các chỉ số 1 và 2 chỉ hai trạng thái tùy ý nào đó) § Từ (8. 26), lấy căn bậc n: § Khi n → ±∞, ta được V 1 = V 2, nghĩa là quá trình biến đổi từ trạng thái 1 sang trạng thái 2 là quá trình đẳng tích.
Daõn nôû Neùn A 0 → Heä nhaän coâng aâm: Heä sinh coâng ! A > 0 → Heä nhaän coâng döông. d. A = Pd. V = Dieän tích hình gaàn chöõ nhaät (P. d. V).
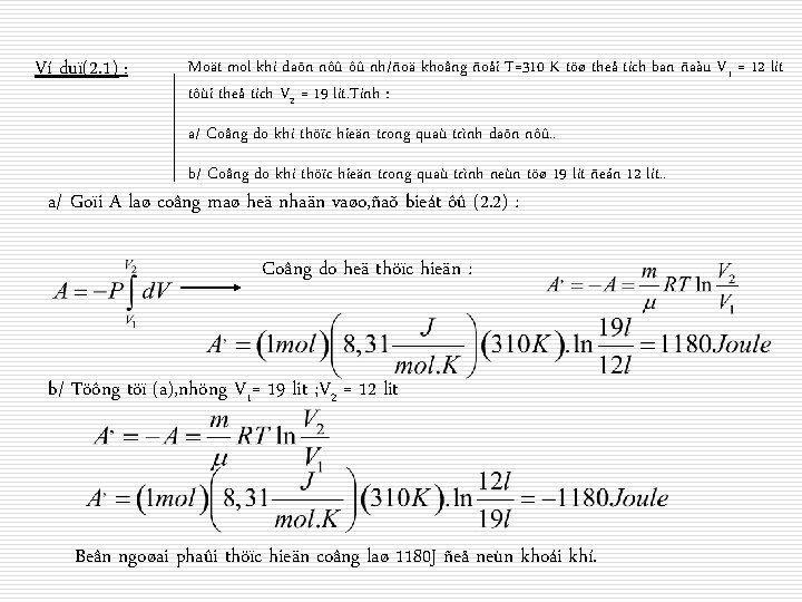
Ví duï(2. 1) : Moät mol khí daõn nôû ôû nh/ñoä khoâng ñoåi T=310 K töø theå tích ban ñaàu V 1 = 12 lít tôùi theå tích V 2 = 19 lít. Tính : a/ Coâng do khí thöïc hieän trong quaù trình daõn nôû. . b/ Coâng do khí thöïc hieän trong quaù trình neùn töø 19 lít ñeán 12 lít. . a/ Goïi A laø coâng maø heä nhaän vaøo, ñaõ bieát ôû (2. 2) : Coâng do heä thöïc hieän : b/ Töông töï (a), nhöng V 1= 19 lit ; V 2 = 12 lit Beân ngoøai phaûi thöïc hieän coâng laø 1180 J ñeå neùn khoái khí.
4. Ñoïan nhieät : Heä khoâng trao ñoåi nhieät vôùi beân ngoøai Ví duï : Neùn, daõn khí trong bình caùch nhieät. (2. 9) + Coâng heä nhaän ñöôïc :
Hình (2. 1): Giaûn ñoà PV trong quaù trình daõn ñoïan nhieät. Löu yù :
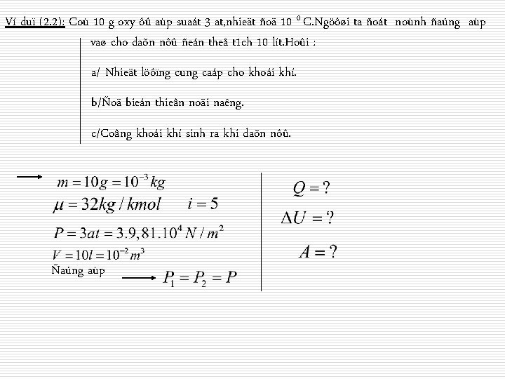
Ví duï (2. 2): Coù 10 g oxy ôû aùp suaát 3 at, nhieät ñoä 10 0 C. Ngöôøi ta ñoát noùnh ñaúng aùp vaø cho daõn nôû ñeán theå t 1 ch 10 lít. Hoûi : a/ Nhieät löôïng cung caáp cho khoái khí. b/Ñoä bieán thieân noäi naêng. c/Coâng khoái khí sinh ra khi daõn nôû. Ñaúng aùp
a/Nhieät löôïng cung caáp cho khoái khí : Phöông trình traïng thaùi vôùi m (kg) khí : Nhieät löôïng cung caáp cho khoái khí : b/ Bieán thieân noäi naêng : c/ Coâng cuûa khoái khí sinh ra : Ng/lyù I →A = U - Q
Ví duï (2. 3) : Ngöôøi ta daõn ñoïan nhieät khoâng khí sao cho theå tích khoái khí taêng gaáp ñoâi. Tính nhieät ñoä cuoái cuûa quaù trình. Bieát nhieät ñoä ban ñaàu laø 0 0 C. Quaù trình ñoïan nhieät
Ví duï (2. 4): Cho 6, 5 g hidro ôû nhieät ñoä 27 0 C. Nhaän ñöôïc nhieät neân theå tích nôû gaáp ñoäi, trong ñieàu kieän aùp suaát khoâng ñoåi. Tính : a/ Coâng khoái khí sinh ra. b/ Ñoä bieán thieân noäi naêng cuûa khoái khí. c/ Nhieät löôïng ñaõ cung caáp cho khoái khí. Daõn ñaúng aùp Pt. traïng thaùi:
b/ Ñoä bieán thieân noäi naêng : c/ Nhieät löôïng ñaõ cung caáp cho khoái khí : Ng/lyù I :
Ví duï (2. 5): Moät bình khí chöùa 14 g khí nitô ôû aùp suaát 1 at vaø nhieät ñoä 270 C Sau khi hô noùng, aùp suaát trong bình leân ñeán 5 at. Hoûi : a/ Nhieät ñoä khoái khí sau khi hô noùng. b/ Theå tích bình. c/ Ñoä taêng noäi naêng. a/ Nhieät ñoä sau khi hô noùng : Quaù trình ñaúng tích : b/ Theå tích bình : Ph/t traïng thaùi c/ Ñoä bieán thieân noäi naêng :
Ví duï (2. 6): Ngöôøi ta cung caáp 20, 9 J nhieät löôïng cho moät khí lyù töôûng, theâ tích khoái khí nôû ra töø 50, 0 ñeán 100 cm 3 trong khi aùp suaát ñöôïc giöõ khoâng ñoåi ôû 1, 00 atm. Noäi naêng cuûa khí bieán thieân bao nhieâu ? Bieát Q , V 1 V 2 , (m/µ); Tính U : Quaù trình laø ñaúng aùp. Nguyeân lyù I nhieät ñoäng Heä sinh coâng : ? ? Tìm tyû soá (Heä soá Poatxong):
(2. 5) Ñaúng tích : (2. 6)
Ví duï (2. 7): a/ Moät lít khí coù =1, 3 ôû nhieät ñoä 273 K vaø aùp suaát 1 atm. Noù ñöôïc neùn töùc thôøi tôùi nöûa theå tích ban ñaàu. a/ Tìm aùp suaát vaø nhieät ñoä cuoái cuûa khoái khí. b/ Khí ñöôïc laøm laïnh ñaúng aùp trôû laïi nhieät ñoä 273 K. Theå tích cuoái cuûa noù baèng bao nhieâu ? a/ Neùn töùc thôøi Quaù trình ñoaïn nhieät b/ Laøm laïnh ñaúng aùp ñeán 273 K :