Neutrino mass matrix in triplet Higgs Models with



























- Slides: 27
Neutrino mass matrix in triplet Higgs Models with A_4 Symmetry Myoung Chu Oh Miami 2008, Dec. 17, 2008 Based on work with Seungwon Baek
Outline 1. Introduction to A_4 symmetry 2. Others’ Model 1) Type I seesaw model with A_4 symmetry ( He, Keum, Volkas (2006) ) 2) Triplet Higgs Model 3. Our Model 4. Conclusion
Introduction to A_4 symmetry l. Symmetry group of a regular tetrahedron for the proper rotations l 12 elements l. Even permutations of four objects
Group Multiplication table
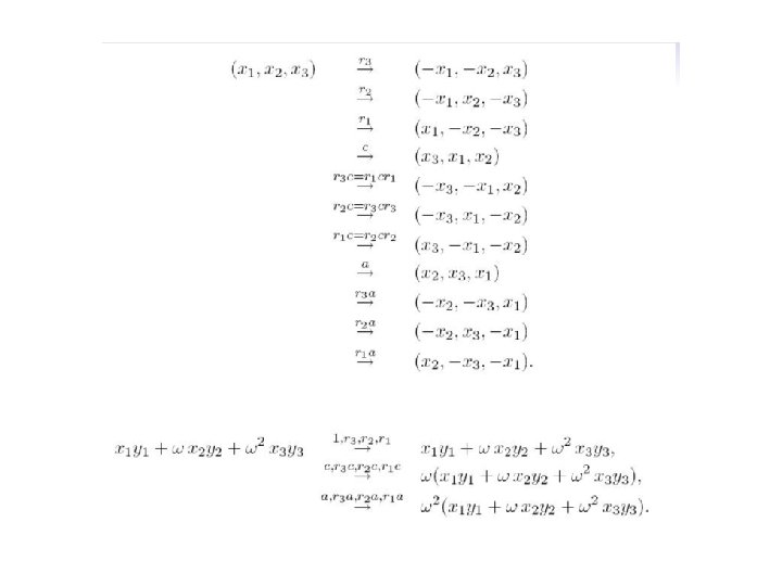
Representations • 3 -dim. Representation 3 : with He, Keum & Volkas, JHEP(2006)
Representations • 1 -dim. Representations 1, 1’, 1” : • 1’(1”) : where . He, Keum & Vlokas, JHEP(2006)
Representations • Tensor Products: For He, Keum & Volkas, JHEP(2006)
Quark and Lepton Mixing matrices • Quark mixing (CKM) is almost unit matrix: l. Neutrino mixing (MNS) is approximately “tribimaximal”:
He, etal’s A_4 model He, Keum & Volkas, JHEP (2006) Symmetry group of the Lagrangian:
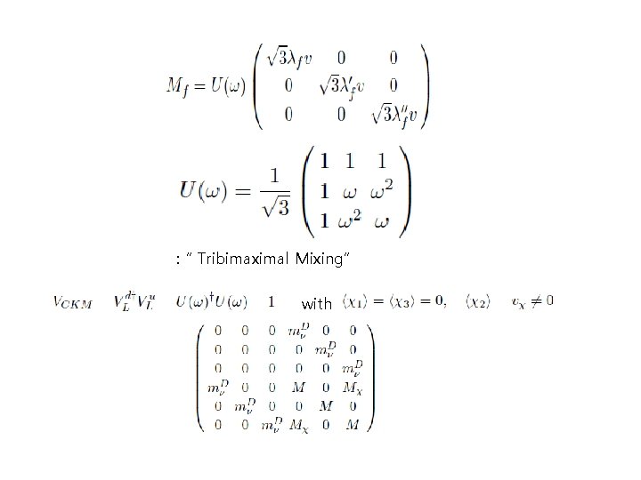
: “ Tribimaximal Mixing” with
Triplet Higgs Model To generate Majorana - masses, we introduce triplet Higgs T(1, 3, 1) with We need small value of to explain naturally the small -masses. Frampton, Oh & Yoshikawa (2002)
Our Model
We assume The lepton mass matrix , can be diagonalized by rotating the left-handed lepton by the unitary matrix The neutrino mass matrix is diagonalized with unitary matrix :
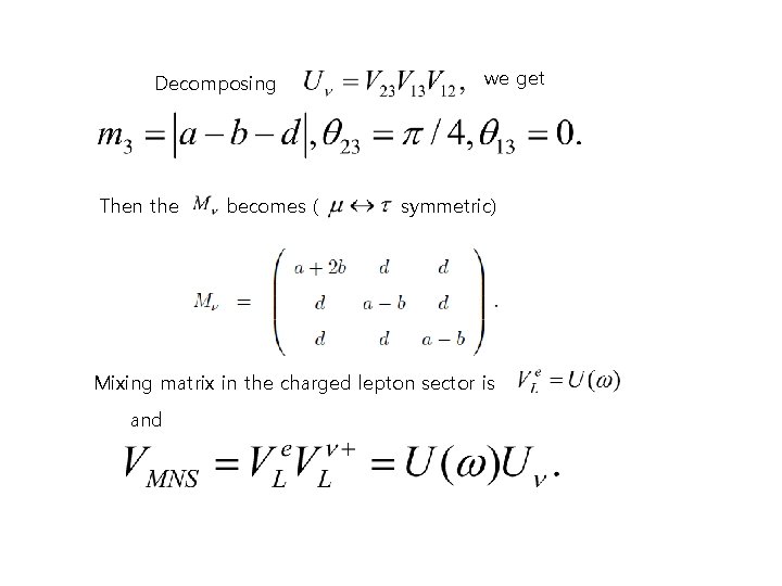
Decomposing Then the becomes ( we get symmetric) Mixing matrix in the charged lepton sector is and
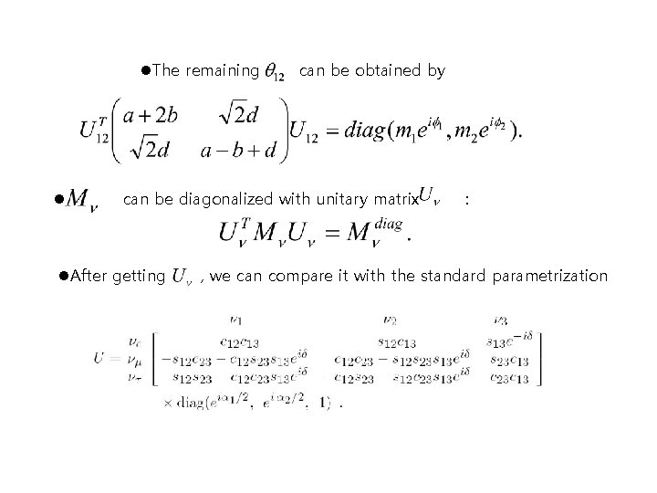
l. The remaining l can be obtained by can be diagonalized with unitary matrix l. After getting : , we can compare it with the standard parametrization
to get the ( with ): l. Now we impose the experimental data to constrain the 5 variables and where a, b, d are in general complex numbers: We can set without the loss of the generality.
l. The analytic solutions can be obtained to be l. From the condition we get In principle either normal hierarchy ( ) is possible. ) or inverted
l( l. Only ) - plane , i. e. normal hierarchy is allowed.
l( ) -plane l. Lower bound of
l. Effective Majorana mass for neutrinoless double beta decay: where : real positive diagonal matrix. l. The effective Majorana mass for :
l( )-plane l. There is no lower bound for .
l. The sizes of the elements of l. We do not need large hierarchy among the matrix elements in our model.
Conclusion • We studied a triplet Higgs model to generate Majorana neutrino masses and the mixing matrix in the framework of A_4 symmetry. • The tribimaximal form of the neutrino mixing matrix can be naturally obtained. • Only the normal mass hierarchy is allowed.
• There is a lower bound on the lightest neutrino mass : , although it is too small to be probed in the near future experiments. • However, there is no lower limit in the effective mass parameter of neutrinoless double beta decay. • Our model can explain the neutrino oscillation data without fine-tuning.