Nastavni as U praksi nastave matematike uglavnom se






























































- Slides: 62
Nastavni čas U praksi nastave matematike uglavnom se javljaju slijedeći tipovi časova: § § § 1. Čas obrade novog gradiva 2. Čas utvrđivanja 3. Čas vježbanja 4. Čas obnavljanja 5. Čas sistematizacije
§ Struktura nastavnog časa § a) uvodni dio § b) glavni dio § c) završni dio
§ § -Uvodni dio § a) pregled domaće zadaće § b) ponavljanje obrađenih sadržaja sa povezivanjem sa novim sadržajima
§ -Glavni dio časa § Glavni dio časa obično traje 25 -35 minuta i može da se izvodi frontalno ili grupno (najčešće)
§ Završni dio časa se satsoji u tome da § se kroz nekoliko kratkih pitanja provjeri stepen usvojenosti novih sadržaja i to potvrdi kroz nastavne listiće na već opisan način.
§ U nastavi matematike, većina časova su kombinovani časovi. § Ima dosta nastavnih jedinica sa relativno malim brojem pojmova i pravila , pa se na tom istom času može vršiti obrada novog gradiva i vježbanje ili obnavljanje i sistematizacija § Takvi časovi se najviše primjenjuju u osnovnoj školi i to u 6 i 7 razredu.
§ § § On se ne upisuje u dnevnik kao kombinovani čas već kao obrada novo gradiva, utvrđivanje, vježbanje , obnavljanje ili sistematizacija zavisno § od toga šta dominira na času.
Deset zapovijesti za nastavnika § 1. Zanimaj se za svoj predmet § 2. Znaj svoj predmet
3. Znaj kojim se putem § može naučiti ono što je nužno: § najbolji način učenja otkrij sam §
§ 4. Nauči čitati s lica drugih učenika. § Nastoj saznati šta oni od tebe očekuju i razumjeti njihove poteškoće. § Pokušaj se staviti u njhovu poziciju-mjesto.
§ 5. Nemoj učenicima pružati § samo informacije, pomozi im § razviti sposobnost korišćenja prikupljenih znanja i naviku sistematskog rada.
§ 6. Nastoj ih naučiti naslućivati(prvo naslućivanje pa dokazivanje) § 7. Nastoj ih naučiti dokazivati
§ 8. Ističi se svom zadatku ono što može biti korisno pri rješavanju drugih zadataka, a za datu konkretnu situaciju nastoj otkriti opštu metodu.
§ 9. Ne odaji svoju tajnu odmah, tako da učenik sam pronađe rješenje. Predloži učenicima da sami pronađu što više rješenja § 10. Savjetuj, no ne nameći nasilno svoje mišljenje
§ Sentenca § „U glavi Arhimeda je bila mnogo više mašte nego u glavi Homera“ (Volter) § „Ako želite da postane dosadno, izrecite sve do kraja“
§ Nastavne metode § Sama riječ metoda potiče od grčke riječi metodas i znači postupak, put i način istraživanja , odnosno mišljenja i plansko postupanje pri radu da bi se došlo do nekog uspjeha.
§ § Ovdje ćemo pod nastavnom metodom podrazumijevati nastavni postupak kojim nastavnik zajedno sa učenicima obradom nastavnog sadržaja ostvaruje ciljeve i zadatke nastave matematike.
§ U nastavi matematike uglavnom odgovaraju slijedeće metode: § 1. Monološka metoda § 2. Dijaloška metoda( metoda razgovora) § 3. Metoda rada sa tekstom § 4. Metoda ilustracije § 5. Metoda demonstracije § 6. Metoda samostalnih radova učenika
§ 1. Monološka metoda § U nastavi se javlja u vidu objašnjavanja prilikom uvođenja učenika u nastavnu jedinicu ili pak u slučaju kada učenici ne mogu nešto razumjeti i efikasno riješiti. § Ne traju više od pet minuta.
§ Dobra strana ove metode je velika ekonomičnost, a i priprema za čas ne zahtijeva puno vremena. § Loša strana je što se učenici stavljaju u pasivnu poziciju i što se znanja usvajau često bez razumijevanja.
§ 2. Dijaloška metoda( metoda razgovora) § Nastav se vodi kroz razgovor. § Nastavnik kroz razgovor postavljajući pitanja realizuje nastavni sadržaj tako § da se radi o časovima prelaženja novog gradiva ili časovima utvrđivanja
§ Dobre starne : mnogo veća aktivnost učenika , pažnja učenika se zadržava kroz svo vrijeme razgovora, učenici povezuju novo gradivo sa prethodno usvojenim, izvode zaključke i pravila i vrše uopštavanje, a nastavnik može pratiti koliko učenici usvajaju nova znanja. Ovdje se povezuje frontalni rad sa individualnim.
§ Nedostaci ove metode : § za obradu novih sadržaja potrebno je više vremena, priprema nastavnika je složenija, lako se može skrenuti od osnovnog predmeta razgovora. § Stoga, trebalo bi se pridržavati sljedećih zahtijeva kako bi se pravilno primjenjivala dijaloška metoda:
§ -pitanja treba postavljati cijelom odjeljenju, a odgovore tražiti od pojedinca nakon kraće pauze § -pitanja moraju biti jasna, određena i jednostavna § -pitanja treba da budu prilagođena uzrastu učenika, niti preteška niti prelagana.
§ -izbjegavati alternativna pitanja , na koja se mogu odgovarati sa da ili ne kao i sugestivna pitanja § -pitanja moraju biti iskazana rečenicom koja je jezički ispravna § -ako se uoči da učenici nisu razumijeli postavljeno pitanje, treba ga preformulisati, a ako se i tada ne dobije tačan odgovor nastavnik treba da upozna učenike kako ne bi dolazilo do „natezanja“ i gubljna vremena.
§ -Nastavnik treba pratiti i kontrolisati ispravni odgovor. Nepotpune odgovore treba upotpunjavati dopunskim pitanjima. § -Insistirati na ispravljanju svake greške koja se eventualno pojavi u učenikovom odgovoru, § -ne ponavljati odgovore koje daju učenici, osim ako treba neki posebno istaći § Ne dozvoliti učenicima da odgovaraju u horu, ali i ne zapostaviti pojedine učenike u toku razgovora
§ 3. Metoda rada sa tekstom § Ova metoda je postupak kojim učenici na časovima stiču znanja korišćenjem pisanih ili štampanih tekstova. Tu se misli na udžbenike, zbirka zadataka i pisanih materijala pripremljenih ranije od strane nastavnika ili grupe nastavnika
§ Ovdje sada idu određeni programski materijali § Naime pokazat ćemo kako se iz programiranog materijala može kvalitetno učiti i savladati nastavna jedinica. § Nastavna jedinica : Najmanji zajednički sadržalac dvaju ili više brojeva(2 časa)
§ Učenici dobijaju materijal s objašnjenjem potrebnim da bi se odgovaralo na pitanja § Radi zadatak u svesci i upoređuje rezultat sa tačnim odgovorom koji se nalazi na poleđini stranice materijala
§ 1. Poznato ti je da je sadržilac datog broja onaj broj koji je djeljiv datim brojem Sadržilac broja 3 je npr broj 6, jer je broj 6 djeljiv brojem 3 § Da li su brojevi 12 i 21 sadržioci broja 3? § r-1 -jesu. § 2. Svaki broj ima više sadržilaca. Tako broj 3 ima sadržioce 3, 6, 9, 12, . . § Zapiši prva četiri sadržioca broja 7. § R-2. 7, 14, 21, 28.
§ 3. Provjeri, a zatim odgovori da li su brojevi 338 i 474 sadržioci broja 26. § r-3. 338 jeste , 474 nije § 4. Zaključio si da svaki broj ima više sadržilaca § Da li je broj sadržilaca prirodnog broja konačan ili nije § r-4 nije
§ 5, Svi sadržioci jednog broja čine skup. Tako, skup sadržioca broja 3 jeste skup. §. Napiši skup B sadržioca broja 7. R-5. § 6. Sada riješi ove zadatke: § a) Koji od slijedećih brojeva 4, 7, 10, 13, 15, 18, 24, 25, 29 su sadržioci broja 5? § b) Napiši skup sadržilaca broja 13? § R-6 a) b).
§ § 7. Jedan broj može biti zajednički sadržilac za dva ili više brojeva § Npr. broj 18 je zajednički sadržilac za brojeve 6 i 9, jer je djeljiv i sa 6 i sa 9. Prema tome ______sadržilac za dva ili više brojeva je broj koji je ________ datim brojevima § Koje riječi treba napisati na prazna mjesta § r-7. zajednički, djeljiv.
§ 8. Sljedeći zadatak sadrži 3 zahtijeva a, b i c. Ako si shvatio šta je zajednički sadržilac brojeva lako ćeš ga riješiti. § Iz skupa izdvoji brojeve koji su zajednički sadržioci za brojeve § a) 2 i 3 § b) 3 i 4 § c) 2, 3, 5 § R-8 a) 6, 12, 18, 24, 30 § b) 12, 24 § c) 30
§ Nastavlja se niz od još 22 pitanja, § tj. ukupno 30, a krajnji cilj je NZS § te načine kako se on određuje.
§ Poluprogramirani materijal § Kod poluprogramiranog materijala učenici se upućuju na određene stranice u udžbeniku ili rješene zadatke iz udžbenika ili zbirke zadataka, pa mu se onda zadaje zadatak ili pitanje koje će on samostalno riješiti.
§ Pored navedenih metoda u nastavi koristimo i metode ilustracije i demonstracije( nešto više u osnovnoj školi). Dakle , primjenom monoiloške i dijaloške metode učenik se sprema putem čula sluha , a primjena metode rada sa tekstom preko čula vida.
§ Primejnom metode demonstracije ilustrirana znanja se primaju i preko čula vida i preko čula sluha, pa se znanja stečena na taj način suštinska i brojna § Kod metode ilustracije koristimo najviše crteže, plakate, folije(grafoskop) § Kod metode demonstarcije koristimo razne modele dijagrama, grafike, a često film i televizija.
§ 6. Metoda samostalnih radova učenika § U okviru nastave matematike spadaju samostalni radovi učenika kao što su: § a) školski i pismeni zadaci § b) kontrolni zadaci § c) rješavanje testova § d) domaće zadaće § e)izrada modela
§ -školski pismeni zadaci § -kontrolni radovi § -rješavanje testova § Test je mjerni instrument koji § služi za mjerenje i vrednovanje i § shoda obrazovanja
§ Dobar test mora zadovoljavati slijedeće uslove § validnost (valjanost) § pouzdanost( reliabilnost) § objektivnost § osjetljivost § praktičnost § ekonomičnost
§ u testovima se daju zadaci alternativnog izbora i nose najmanje dva boda § zadaci dopunjavanja § zadaci višestranog izbora § zadaci sparivanja § zadaci za rad § Ovi posljednji nose najviše bodova
§ Nastavni principi § Nastavni ili didaktički principi su osnovna načela ili stavovi na osnovu kojih se izvodi nastava. § U nastavnom procesu njih se obavezno pridržavaju i nastavnici i učenici. § Sljedeća klasifikacija nastavnih principa najviše odgovara nastavi matematike:
§ Princip naučnosti § Princip odgojne usmjerenosti § Princip svjene aktivnosti § Princip individualizacije § Princip postupnosti i sistematičnosti § Princip očiglednosti § Princip trajnosti usvojenog znanja § Princip jedinstav teorije i prakse § Princip racionalizacije i ekonomičnosti
§ Korelacija nastavnih principa § Naravno pomenuti nastavni principi se trebaju prožimati i dopunjavati § Tako da jedan proističe iz drugog. U dobro organizovanoj i vođenoj nastavi ta korelacija se odvija spontano, a ne vještački.
§ Ne treba pretjerivati sa nekim od tih principa na račun drugih, ali uvijek treba imati na umu princip naučnosti i ni u kojem slučaju ga dovoditi u pitanje s namjerom da nešto tumačimo na svoj način koji je veoma česta pojava.
§ Razni načini rješavanja jednog matematičkog zadatka § Vrijedniji je jedan zadatak riješiti na dva ili više načina nego stotine zadataka na jedan ili isti način § (Georg Polya 1887 -1985) On je američki matematičar i metodičar mađarskog porijekla.
§ Japanska mudrost § Na vrh brda se može popeti sa raznih strana, ali svi oni koji stignu na vrh sunce jednako grije.
KKKKKKrrrrraaajj
§ Kako je kvadratni trinom § § To naša posljednja relacija je § Koristeći prethodnu relaciju
§ U našem slučaju je -7 § Dakle 1
§ Kako je kvadratni trinom § To naša posljednja relacija je § Koristeći prethodnu relaciju. § U našem slučaju je
-5 § Dakle 11
§ Sada iz rješenja 1 i 2 slijedi -7 -5 0 1 1
§ Metodička obrada : § Nejednačine sa apsolutnim vrijednostima oblika § Razlikovanje dva slučaja , tj. dvije kvadratne nejednačine
§ Rješavanje dobijenih nejednačina uz vođenje računa da je § odnosno da je § Konačno rješenje je kao presjek 1 i 2. § Napomena: U radu sa učenicima treba detaljno riješiti sve dobijene kvadratne nejednačine.
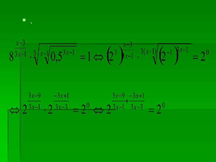
§ Riješiti jednačinu § § Prvo da se podsjetimo na neke transformacije
§ Metodička obrada § Operacije sa stepenima i korijenima , dovođenja stepena na istu bazu § Dovođenja date jednačine na oblik § Rješavanje kvadratne jednačine vodeći računa da dobijeno rješenje nije 1 ili 1/3.