Name Algebra Boot Camp 2 GRAPHING RATIONAL FUNCTIONS
Name: _______________ Algebra Boot Camp 2 GRAPHING RATIONAL FUNCTIONS: 1. Determine the key features of the given rational functions as prompted by part a-f. Then graph on the grid provided. Make sure you draw and label your coordinate grid. (8 pts). a. Holes: b. x- intercept(s): c. y- intercept(s): d. horizontal asymptote(s): e. vertical asymptote(s): f. Domain (interval notation please): 2. ) Determine the key features of the given rational functions as prompted by part a-f. Then graph on the grid provided. Make sure you draw and label your coordinate grid. (8 pts). a. Holes: b. x- intercept(s): c. y- intercept(s): d. horizontal asymptote(s): e. vertical asymptote(s): f. Domain (interval notation please): 3. ) Why is the domain an important thing to consider about functions?
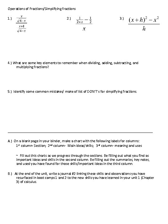
Operations of Fractions/Simplifying fractions 1. ) 2. ) 3. ) 4. ) What are some key elements to remember when dividing, adding, subtracting, and multiplying fractions? 5. ) Identify some common mistakes/ make of list of DON’T’s for simplifying fractions. _______________________________________ A. ) On a blank page in your binder, make a chart with the following labels for columns: 1 st column- Section; 2 nd column- Main ideas/skills; 3 rd column- meaning and uses ~ Fill out this charts as we progress through the sections. Be filling out what you find as important ideas and skills in the second column. Be filling out the summaries, key notes, and used you have found for those skills/important ideas in the third column. B. ) At the end of the unit, write a journal #2 linking these skills and observations you have resurfaced in boot camps 1 and 2 to the new skills you have learned in your unit 1 (Chapter 3) of calculus.
- Slides: 2