n Introduction to Mass Spectrometry MS n n









































- Slides: 41
n Introduction to Mass Spectrometry (MS) n n 1 A mass spectrometer produces a spectrum of masses based on the structure of a molecule. The x-axis of a mass spectrum represents the masses of ions produced (m/z) The y-axis represents the relative abundance of each ion produced The pattern of ions obtained and their abundance is characteristic of the structure of a particular molecule
n Ionization (the formation of ions) n n A molecule is bombarded with a beam of high energy electrons An electron is dislodged from the molecule by the impact, leaving a positively charged ion with an unpaired electron (a radical cation) n 2 This initial ion is called the molecular ion (M+. ) because it has the same molecular weight as the analyte
n Fragmentation n Excess vibrational energy is imparted to the molecular ion by collision with the electron beam - this causes fragmentation n 3 The fragmentation pattern is highly characteristic of the structure of the molecule
n Fragmentation by Cleavage at a Single Bond n n Cleavage of a radical cation gives a radical and a cation but only the cation is observable by MS In general the fragmentation proceeds to give mainly the most stable carbocation n 11 In the spectrum of propane the peak at 29 is the base peak (most abundant) 100% and the peak at 15 is 5. 6%
n Fragmentation Equations n The M+. Ion is formed by loss of one of its most loosely held electrons n n 12 If nonbonding electron pairs or pi electrons are present, an electron from one of these locations is usually lost by electron impact to form M+. In molecules with only C-C and C-H bonds, the location of the lone electron cannot be predicted and the formula is written to reflect this using brackets
Example: The spectrum of hexane 13
Example: spectrum of neopentane Fragmentation of neopentane shows the propensity of cleavage to occur at a branch point leading to a relatively stable carbocation o n. The formation of the 3 carbocation is so favored that almost no molecular ion is detected n 14
n Carbocations stabilized by resonance are also formed preferentially n 15 Alkenes fragment to give resonance-stabilized allylic carbocations
n Carbocations stabilized by resonance are also formed preferentially n n Carbon-carbon bonds next to an atom with an unshared electron pair break readily to yield a resonance stabilized carbocation n 15 Alkenes fragment to give resonance-stabilized allylic carbocations Z=N, O, or S R may be H
n Carbocations stabilized by resonance are also formed preferentially n n Carbon-carbon bonds next to an atom with an unshared electron pair break readily to yield a resonance stabilized carbocation n 15 Alkenes fragment to give resonance-stabilized allylic carbocations Z=N, O, or S R may be H
n 16 Carbon-carbon bonds next to carbonyl groups fragment readily to yield resonance stabilized acylium ions
n 16 Carbon-carbon bonds next to carbonyl groups fragment readily to yield resonance stabilized acylium ions
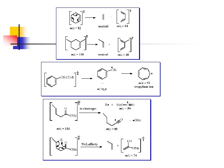
n n 17 Alkyl substituted benzenes often lose a hydrogen or alkyl group to yield the relatively stable tropylium ion Other substituted benzenes usually lose their substitutents to yield a phenyl cation
n Fragmentation by Cleavage of 2 Bonds n n 18 The products are a new radical cation and a neutral molecule Alcohols usually show an M+. -18 peak from loss of water
n 19 Cycloalkenes can undergo a retro-Diels Alder reaction (section 13. 11) to yield an alkadienyl radical cation
http: //www. cem. msu. edu/~reusch/Virtual. Text /Spectrpy/Mass. Spec/masspec 1. htm
The masses of molecular and fragment ions also reflect the electron count, depending on the number of nitrogen atoms in the species. Ions with no nitrogen or an even # N atoms Molecular Ion odd-electron ions even-number mass Fragment Ions even-electron ions odd-number mass Ions having an odd # N atoms Molecular Ion odd-electron ions odd-number mass Fragment Ions even-electron ions even-number mass
The masses of molecular and fragment ions also reflect the electron count, depending on the number of nitrogen atoms in the species. Ions with no nitrogen or an even # N atoms Molecular Ion odd-electron ions even-number mass Fragment Ions even-electron ions odd-number mass Ions having an odd # N atoms Molecular Ion odd-electron ions odd-number mass Fragment Ions even-electron ions even-number mass
http: //en. wikipedia. org/wiki/Cocaine
Common Isotope Abundances 5
3 Classes of Isotopes n M - only a single isotope n n M+1 - two isotopes with significant relative abundance differing by 1 mass unit n n EX: F, P, I EX: H, C, N M+2 - two isotopes with significant relative abundance differing by 2 mass units n EX: O, S, Cl, Br
n Determination of Molecular Formulas & Weights n The Molecular Ion and Isotopic Peaks n n 6 The presence of heavier isotopes one or two mass units above the common isotope yields small peaks at M+. +1 and M+. +2 Example: In the spectrum of methane one expects an M+. +1 peak of 1. 17% based on a 1. 11% natural abundance of 13 C and a 0. 016% natural abundance of 2 H
Four Basic Rules n n 7 If M+ is even, then the unknown contains an even number of Nitrogen atoms (zero is an even number) The abundance of M++1 indicates the number of Carbon atoms: # of C = relative abundance/1. 1 The abundance of the M++2 peak indicates the presence of O (0. 2%), S (4. 4%), Cl (33%) or Br (98%) The remaining unknown mass can be attributed to Hydrogen
1. • m/z • intensity • % abundance • 78 (M+) • 10. 00 • 100% • 79 • . 3 • 3% • 80 • 3. 3 • 33% Is the molecular ion even? Yes, there must be either an even number of N, or no Nitrogen atoms. 2. How many Carbon atoms are there? # Carbons = 3 / 1. 1 ≈ 3 carbon atoms 3. Is a O, S, Cl or Br present? A M++2 peak of 33% indicates the presence of chlorine 4. How many Hydrogen atoms are there? H 78 = (1 * 35) + (3 * 12) + (H * 1) 78 = 71 + H # of Hydrogen atoms = 7 8 H H H C – C - Cl C H 3 H H 7 Cl. H
(M-1) % Intensity 86 (M+) m/z intensity % abundance 86 (M+) 10. 00 100% 87 . 56 5. 6% 88 . 02 . 2% 87 (M+1) 88 (M+2) 1. Is the molecular ion even? 2. How many Carbon atoms are there? 3. Is an O, S, Cl or Br present? 4. How many Hydrogen atoms are there? Yes, there must be either 0, 2, 4 … Nitrogen atoms # Carbons = 5. 6 / 1. 1 ≈ 5 carbon atoms if there are 2 N atoms then the FW would be (5*12) + (2*14) = 88 Therefore, there are no nitrogen atoms A M++2 peak of. 2% indicates O 86 = (5 * 12) + (O*1)+ (H * 1) 86 = 76 + H # of Hydrogen atoms = 10 H H 8 H H C–C–C=O C 5 H 10 O H H H
Determination of Molecular Formula distinguish between compounds of same MW C 5 H 10 O 4 or C 10 H 14
Determination of Molecular Formula distinguish between compounds of same MW C 5 H 10 O 4 13 C 5 * 1. 11% = 5. 55% 2 H 10 * 0. 016% = 0. 16% 17 O 4 * 0. 02% = 0. 08% ------135 peak/134 peak 5. 79%
Determination of Molecular Formula distinguish between compounds of same MW C 10 H 14 13 C 10 * 1. 11% = 11. 1% 2 H 14 * 0. 016% = 0. 22% ------135 peak/134 peak 11. 32%
The Numbers Approach n If compound with formula Cw. Hx. Ny. Oz , relative intensities of M, M+1, and M+2 ions will be given by:
n High-Resolution Mass Spectrometry n n Low-resolution mass spectrometers measure m/z values to the nearest whole number High-resolution mass spectrometers measure m/z values to three or four decimal places The high accuracy of the molecular weight calculation allows accurate determination of the molecular formula of a fragment Example n 9 One can accurately pick the molecular formula of a fragment with a nominal molecular weight of 32 using high-resolution MS
The exact mass of certain nuclides is shown below 10
Elemental Composition Search Report: Target Mass: Target m/z = 227. 04987 ±. 003 Charge = +2 Possible Elements: Element: Exact Mass: Min: C 12. 000000 H 1. 007825 0 Cl 34. 968853 N 14. 003074 Max: 0 100 2 2 Additional Search Restrictions: None Search Results: Number of Hits = 1 m/z 227. 04963 Delta m/z DBE 0. 00024 19. 0 Formula C 28 H 20 Cl 2 N 2+2