Mutualistic Interactions and Symbiotic Relationships Mutualism obligate and
Mutualistic Interactions and Symbiotic Relationships Mutualism (obligate and facultative) Termite endosymbionts Commensalisms (Cattle Egrets) Examples: Bullhorn Acacia ant colonies (Beltian bodies) Caterpillars “sing” to ants (protection) Ants tend aphids for their honeydew, termites cultivate fungi Bacteria and fungi in roots provide nutrients (carbon reward) Bioluminescence (bacteria) Endozoic algae (Hydra), bleaching of coral reefs (coelenterates) Nudibranch sea slugs: Nematocysts, “kidnapped” chloroplasts Endosymbiosis (Lynn Margulis) mitochondria & chloroplasts Birds on water buffalo backs, picking crocodile teeth Figs and fig wasps (pollinate, lay eggs, larvae develop)
Indirect Interactions Darwin — Lots of “Humblebees” around villages
Indirect Interactions Darwin — Lots of “Humblebees” around villages bees —> clover
Indirect Interactions Darwin — Lots of “Humblebees” around villages bees —> clover
Indirect Interactions Darwin — Lots of “Humblebees” around villages bees —> clover
Indirect Interactions Darwin — Lots of “Humblebees” around villages mice —o bees —> clover
Indirect Interactions Darwin — Lots of “Humblebees” around villages cats —o mice —o bees —> clover
Indirect Interactions Darwin — Lots of “Humblebees” around villages cats —o mice —o bees —> clover —> beef
Indirect Interactions Darwin — Lots of “Humblebees” around villages cats —o mice —o bees —> clover —> beef —> sailors
Indirect Interactions Darwin — Lots of “Humblebees” around villages cats —o mice —o bees —> clover —> beef —> sailors —> Britain’s naval prowess
Indirect Interactions Darwin — Lots of “Humblebees” around villages spinsters —> cats —o mice —o bees —> clover —> beef —> sailors —> Britain’s naval prowess
Indirect Interactions Darwin — Lots of “Humblebees” around villages —————————> spinsters —> cats —o mice —o bees —> clover —> beef —> sailors —> naval prowess Path length of seven! Longer paths take longer (delay) Longer paths are also weaker, but there are more of them
Indirect Interactions Minus times minus = Plus Trophic “Cascades” Top-down, Bottom-up
Competitive Mutualism
Interspecific Competition leads to Niche Diversification Two types of Interspecific Competition: Exploitation competition is indirect, occurs when a resource is in short supply by resource depression Interference competition is direct and occurs via antagonistic encounters such as interspecific territoriality or production of toxins
Verhulst-Pearl Logistic Equation d. N/dt = r. N [(K – N)/K] = r. N {1– (N/K)} d. N/dt = r. N – r. N (N/K) = r. N – {(r. N 2)/K} d. N/dt = 0 when [(K – N)/K] = 0 when N = K d. N/dt = r. N – (r/K)N 2
Inhibitory effect of each individual On its own population growth is 1/K Linear response to crowding No lag, instantaneous response rmax and K constant, immutable
S - shaped sigmoidal population growth
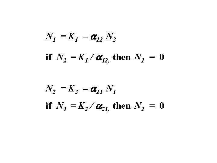
Lotka-Volterra Competition Equations Alfred J. Lotka Competition coefficient aij = per capita competitive effect of one individual of species j on the rate of increase of species i Vito Volterra d. N 1 /dt = r 1 N 1 ({K 1 – N 1 – a 12 N 2 }/K 1) d. N 2 /dt = r 2 N 2 ({K 2 – N 2 – a 21 N 1 }/K 2) (K 1 – N 1 – a 12 N 2 )/K 1 = 0 when N 1 = K 1 – a 12 N 2 (K 2 – N 2 – a 21 N 1 )/K 2 = 0 when N 2 = K 2 – a 21 N 1
N 1 = K 1 – a 12 N 2 if N 2 = K 1 / a 12, then N 1 = 0 N 2 = K 2 – a 21 N 1 if N 1 = K 2 / a 21, then N 2 = 0
N 1 = K 1 – a 12 N 2
N 1 = K 1 – a 12 N 2
Zero isocline for species 1
Four Possible Cases of Competition Under the Lotka–Volterra Competition Equations Vito Volterra Alfred J. Lotka ___________________________________ Species 1 can contain Species 1 cannot contain Species 2 (K 2/a 21 < K 1) Species 2 (K 2/a 21 > K 1) ___________________________________ Species 2 can contain Case 3: Either species Case 2: Species 2 Species 1 (K 1/a 12 < K 2) can win always wins ___________________________________ Species 2 cannot contain Case 1: Species 1 Case 4: Neither species Species 1 (K 1/a 12 > K 2) always wins can contain the other; stable coexistence ___________________________________
Saddle Point Attractor
Lotka-Volterra Competition Equations for n species (i = 1, n): d. Ni /dt = ri. Ni ({Ki – Ni – S aij Nj}/Ki) Ni* = Ki – S aij Nj where the summation is over j from 1 to n, excluding i Diffuse Competition Robert H. Mac. Arthur
Alpha matrix of competition coefficients a 11 a 12 a 13 . . . a 1 n a 21 a 22 a 23 . . . a 2 n a 31 a 32 a 33 . . . a 3 n . . . an 3 . . . ann an 1 an 2 Elements on the diagonal aii equal 1.
More realistic, curvilinear isoclines
Competitive Exclusion in two species of Paramecium Georgi F. Gause
Coexistence of two species of Paramecium Georgi F. Gause
Coexistence of two species of Paramecium Two equations, two unknowns Georgi F. Gause
Mutualism Equations (pp. 234 -235, Chapter 11) d. N 1 /dt = r 1 N 1 ({X 1 – N 1 + a 12 N 2 }/X 1) d. N 2 /dt = r 2 N 2 ({X 2 – N 2 + a 21 N 1 }/X 2) (X 1 – N 1 + a 12 N 2 )/X 1 = 0 when N 1 = X 1 + a 12 N 2 (X 2 – N 2 + a 21 N 1 )/X 2 = 0 when N 2 = 2�X + a 21 N 1 If X 1 and X 2 are positive and a 12 and a 21 are chosen so that isoclines cross, a stable joint equilibrium exists. Intraspecific self damping must be stronger than interspecific positive mutualistic effects.
Outcome of Competition Between Two Species of Flour Beetles __________________________________ Relative Temp. Humidity Single Species (°C) (%) Climate Numbers Mixed Species (% wins) confusum castaneum __________________________________ 34 70 Hot-Moist confusum = castaneum 0 100 34 30 Hot-Dry confusum > castaneum 90 10 29 70 Warm-Moist confusum < castaneum 14 86 29 30 Warm-Dry confusum > castaneum 87 13 24 70 Cold-Moist confusum < castaneum 71 29 24 30 Cold-Dry confusum > castaneum 100 0 ____________________________
Evidence of Competition in Nature often circumstantial 1. Resource partitioning among closely-related sympatric congeneric species (food, place, and time niches) Complementarity of niche dimensions 2. Character displacement 3. Incomplete biotas: niche shifts 4. Taxonomic composition of communities
Exploitation vs. interference competition Lotka-Volterra Competition equations Assumptions: linear response to crowding both within and between species, no lag in response to change in density, r, K, a constant Competition coefficients aij, i is species affected and j is the species having the effect Solving for zero isoclines, resultant vector analyses Point attractors, saddle points, stable and unstable equilibria Four cases, depending on K/a’s compared to K’s Sp. 1 wins, sp. 2 wins, either/or, or coexistence Gause’s and Park’s competition experiments Mutualism equations, conditions for stability: Intraspecific self damping must be stronger than interspecific positive mutualistic effects.
Alpha matrix of competition coefficients N, K Vectors a 11 a 12 a 13 . . . a 1 n N 1 K 1 a 22 a 23 . . . a 2 n N 2 K 2 a 31 a 32 a 33 . . . a 3 n N 3 K 3 . . . . an 3 . . . Nn Kn an 1 an 2 ann Elements on the diagonal aii equal 1. Ni* = Ki – S aij Nj Matrix Algebra Notation: N = K – AN
Lotka-Volterra Competition Equations for n species d. Ni /dt = ri. Ni ({Ki – Ni – S aij Nj}/Ki) Ni* = Ki – S aij Nj at equilibrium Alpha matrix, vectors of N’s and K’s Diffuse competition – S aij. Nj summed over all j = 1, n (but not i) N 1* = K 1 – a 12 N 2 – a 13 N 3 – a 14 N 2* = K 2 – a 21 N 1 – a 23 N 3 – a 24 N 3* = K 3 – a 31 N 1 – a 32 N 2 – a 34 N 4* = K 4 – a 41 N 1 – a 42 N 2 – a 43 N 3 Vector Notation: N = K – AN where A is the alpha matrix Partial derivatives ∂Ni/ ∂Nj sensitivity of species i to changes in j Jacobian Matrix of partial derivatives (Lyapunov stability)
Evidence of Competition in Nature often circumstantial 1. Resource partitioning among closely-related sympatric congeneric species (food, place, and time niches) Complementarity of niche dimensions 2. Character displacement 3. Incomplete biotas: niche shifts 4. Taxonomic composition of communities
Major Foods (Percentages) of Eight Species of Cone Shells, Conus, on Subtidal Reefs in Hawaii _______________________________ Gastro- Entero. Species pods Tere- Other pneusts Nereids Eunicea belids Polychaetes _______________________________ flavidus 4 lividus 61 pennaceus abbreviatus 12 64 32 14 13 100 ebraeus 15 82 3 sponsalis 46 50 4 rattus 23 77 imperialis 27 73 _______________________________ Alan J. Kohn
Major Foods (Percentages) of Eight Species of Cone Shells, Conus, on Subtidal Reefs in Hawaii _______________________________ Gastro- Entero. Species pods Tere- Other pneusts Nereids Eunicea belids Polychaetes _______________________________ flavidus 4 lividus 61 pennaceus abbreviatus 12 64 32 14 13 100 ebraeus 15 82 3 sponsalis 46 50 4 rattus 23 77 imperialis 27 73 _______________________________ Alan J. Kohn Resource Matrix Niche Breadth Niche Overlap
Resource Matrix (n x m matrix) utilization coefficients and electivities Resource State 1 2 3. . . m 1 u 11 u 21 u 31. . . um 1 2 u 12 u 22 u 32. . . um 2 Consumer Species 3. . . u 13. . . u 23. . . u 33. . . . um 3. . . n u 1 n u 2 n u 3 n. . . umn
Cape May warbler Bay-breasted warbler
Mac. Arthur’s Warblers (Dendroica) Robert H. Mac. Arthur
John Terborgh
John Terborgh
Time of Activity Ctenotus calurus Seasonal changes in activity times Ctenophorus isolepis
Active Body Temperature and Time of Activity
- Slides: 52