Multiple objective function optimization R T Marker J
Multiple objective function optimization R. T. Marker, J. S. Arora, “Survey of multi-objective optimization methods for engineering” Structural and Multidisciplinary Optimization Volume 26, Number 6, April 2004 , pp. 369 -395(27)
Multiple Objective Functions Assume all f, g, h are differentiable
Preliminaries Feasible design space - satisfies all constraints Feasible criterion space - objective function values of feasible design space region Preferences - user’s opinion about points in criterion space Scalarization methods v. vector methods
rugged fitness landscape sensitivity issue http: //www. calresco. org/lucas/pmo. htm
economic resources money ideas time M( t+1 ) = a * M(t) + b * I ( t ) + c * T ( t ) I ( t+1 ) = d * I ( t ) + e * T ( t ) + f * M( t ) T ( t+1 ) = g * T (t) + h * M( t ) + j * I ( t ) non-linear cross-coupling Strange Attractors http: //www. calresco. org/lucas/pmo. htm
Organization a priori articulation of preferences a posteriori articulation of preferences progressive articulation of preferences genetic algorithms
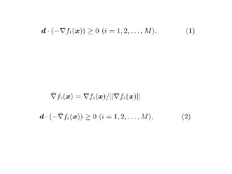
utopia (ideal) point F 0 point that optimizes all objective functions often doesn’t exist compromise solution one or more objective functions not optimal close as possible to utopia point
x 1 is superior to x 2 iff x 1 dominates x 2 x 1 > x 2
Pareto optimal solution if there does not exist another feasible design objective vector such that all objective functions are better than or equal to and at least one objective function is better i. e. , there is no x’ such that x’ > x i. e. , it is not dominated by any other point
Weakly Pareto Optimal no other point with better object values Properly Pareto Optimal
Pareto optimal set Set of all Pareto optimal points possibly infinite set Various Approaches Identify Pareto optimal set Identify some subset of optimal set seek a single final point
Solving multiple objective optimization provides: Necessary condition for Pareto optimality and / or Sufficient condition for Pareto optimality
Common function transformation methods to remove dimensions or balance magnitude differences
Methods with a priori articulation of preferences Allow user to specify preferences for, or relative importance of, objective functions
Weighted Sum Method Sufficient for Pareto optimality no guarantee of final result acceptable impossible to find points in non-convex sections not even distribution
Weighted global criterion method
Lexicographic Method objective functions arranged in order of importance solve following optimization problems one at a time
Goal Programming Method
Goal Attainment Method computationally faster than typical goal programming methods
Physcial Programming Class function for each metric monotonically increasing, monotonically decresing, or unimodal function specify numeric ranges for degrees of preference desirable, tolerable, undesirable, etc.
Methods for a posteriori articualtion of preference generate first, choose later approaches generate representative Pareto optimal set user selects from palette of solutions
Physical Programming systematically vary parameters traverses criterion space
Normal boundary intersection method
Normal constraint method determine utopia point normalize objective functions individual minimization of objective functions form vertices of utopia hyperplane
Methods no articulation of preferences similar to a priori techniques with no weights Global criterion methods with wi = 1. 0
Min max method treat as single objective function provides weakly Pareto optimal point
Objective sum method To avoid additional constraints and discontinuities
Nast arbitration and objective product method Maximize where si >= Fi(x)
Rao’s method normalize so Finorm is between zero and one and Finorm=1 is worst possible
Genetic Algorithms no derivative information needed global optimization e. g. , generate sub-populations by optimizing one objective function
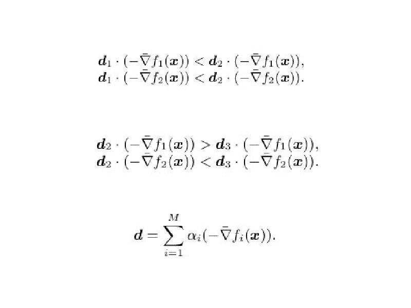
directions in shaded area reduce both objective functions
- Slides: 41