Monster Computing the Gravitational Constant G to Eight
















![Calculating Monster Elements (4/α 4)(Pm 2/me 2)[((Pm 2/mn 2)1/2^16 -1. 00)-1]1/2^11 = 8. 08016… Calculating Monster Elements (4/α 4)(Pm 2/me 2)[((Pm 2/mn 2)1/2^16 -1. 00)-1]1/2^11 = 8. 08016…](https://slidetodoc.com/presentation_image_h2/2e6220cc29a7c8a5f7436b372bf2b4fa/image-17.jpg)














- Slides: 31
Monster Computing the Gravitational Constant G to Eight Significant Figures M. A. Thomas Using World Structure to Corner a Precise and Accurate Value of G 1
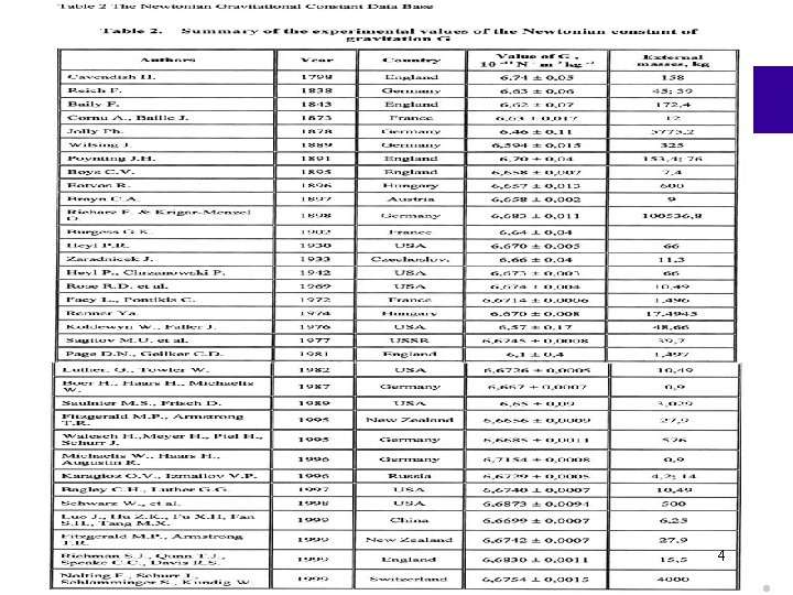
Random Values of G Since 1798 • • Henry Cavendish - 1798 6. 74+ 0. 05 Over 35 Experimental Values Since Most Hover - 6. 6 Range Current Codata Value 6. 673 * 10 -8 +0. 010 Units in cgs - cm 3 g-1 s-2 Somewhat noisy and uncertain NASA Beware Codata Recommended Value 2
Cavendish Balance F = Gm 1 m 2/r 2 2 -A
4
Can We Benchmark a Value G? • Currently G is good to 6. 67 - 3 Significant Figures • Using current information on the “Standard Model” the answer is No. • The only self contained value of G involves the Planck mass which is also uncertain. • The value of G is empirical, not predicted. 5
Planck Mass is a Large Mass • Planck mass is 1. 30…*1019 the mass of the proton • Currently important in String Theories and Quantum Theories of gravity • Current Codata value 2. 1767 * 10 -5 +0. 0016 • Units in cgs- g • Go figure, good to 5 significant figures 6
Planckian Equation G = hc/2πPm 2 7
Monster Simple Sporadic Group 8. 0801742479…* Elements 53 10 8
Sporadic Simple Finite Group • Predicted by Fischer and Griess in early 1970’s • Fully constructed by Griess in 1980 • “kind of Everest of theory of sporadic groups” 2 • Exceptional, unique, special • Related to Ogg series of primes 9
Monster Has Order and Prime Factorization: 246. 320. 59. 76. 112. 133. 17. 19. 23. 29. 31. 47. 59. 71 10
The Mckay Equation 196884 = 196883+1 11
Elliptic Modular Function j(τ ) = q-1+ 744+ 196884 q + 21493760 q 2 + … where: q = e 2πiτ 12
“Monstrous Moonshine is True” 3 • Mckay noticed 196883 smallest irreducible representation of Monster Group • Ogg offered bottle of Jack Daniels to anyone who could explain series • Conway and Norton generate moonshine conjectures • Frenkel, Lepowsky and Meurman 13
What is the Monster? • Moonshine conjectures proven by Borcherds 1992 using a VOA suggested by FLM Monster module • Related to a 26 -D Bosonic String Theory • “It is the automorphism group of the monster vertex algebra” 3 • Open 14
PREMISE The Monster Group is a precise, finite and exceptional World Structure. A World Structure can be used to “corner” a precise and accurate value of G nonempirically. 15
16
Calculating Monster Elements (4/α 4)(Pm 2/me 2)[((Pm 2/mn 2)1/2^16 -1. 00)-1]1/2^11 = 8. 08016… * 1053 Planck mass: Limiting term @ 5 significant fig. 2. 1767 - CODATA 17
18
Best Fit/CODATA Values to 9 • Pm = 2. 1767 * 10 -5 grams • me = 9. 10938188 * 10 -28 grams - Out to 9 • mn = 1. 67492716 * 10 -24 grams - Out to 9 • α = 0. 007297352533 The electron mass me and neutron mass mn will be the limiting terms. This means ΔPm (but retains its Codata-ness) 19
ΔPm Converges • Pm = 2. 176701406 • Pm = 2. 176701407 • M = 8. 0801742399 • M = 8. 0801742473 20
21
Predicted Values Pm = 2. 1767014 * 10 -5 g G = 6. 6726609 * -8 10 3 -1 -1 cm g s 22
Why Neutron Mass? • Both neutron and proton masses are very similar mn = 1. 67492716 * 10 -24 g -24 mp = 1. 67262158 * 10 g 23
Dimensionless Large Number 4 hc/2πGmn = 38 1. 688907506 * 10 • G = 6. 67266093 2 24
25
Proton Mass Diverges • Diverges from CODATA Pm = 2. 17370512 G = 6. 6910 • Therefore diverges from M elements 26
Dimensionless (4/α 4) (Pm 2/me 2) = 8. 0541289790567391 2 2 1/65536 [((Pm /mn ) -1 1/2048 1. 00) ] = 1. 0032337783980076 27
Monster Elements Between 8. 0801742399 8. 0801742473 28
New Values to 8 Significant Pm = 2. 1767014 * 10 -5 g G = 6. 6726609 * -8 10 3 -1 -1 cm g s 29
Observation 65536 = 216 2048 = 211 ? 16 + 11 = 27 27 = 26 + 1 30
Reference: 1. The Newtonian Gravitational Constant Data Base. 2. This Weeks Find in Mathematical Physics, John Baez, Week 66 3. “Monstrous Moonshine is True”, W. Wayt Gibbs, Sci. Am. 1998 4. Cosmology: Science of the Universe, Edward R. Harrison 1981 Other: “Problems in Moonshine” Richard Borcherds “What is the Monster? ” Richard Borcherds “What is Moonshine? ” Richard Borcherds 31