Moist adiabatic processes An adiabatic process in moist
Moist adiabatic processes An adiabatic process in moist, saturated air is called MOIST ADIABATIC PROCESS This process is significantly different form that in the dry or non-saturated air
P Dry adiabat Moist adiabat Condensation level Pk T S 0=Sm, Tk, So, Ti 0, RH=100% RH<100% Continuous ascent results in further temperature fall and water vapor condensation that makes the rate of the temperature fall less than 1°/100 m. Condensation level So, Ti 0, RH<100% Initial level The rate of temperature variation of the ascending saturated air without heat influx or outflow is called MOIST ADIABATIC LAPSE RATE
From the above reasoning it follows: • Temperature of an ascending parcel of air decreases with height, but slower that at dry adiabatic process ( ). • Due to condensation, the particle specific humidity Sm decreases with height • Relative humidity remains equal to 100%. Adiabatic ascent of the moist air till attaining saturated state is called DRY STAGE. Further ascending of the saturated air above the condensation level is called MOIST STAGE P Dry adiabat Moist stage Condensation level Dry stage T
First law of thermodynamics for the moist, saturated air Suppose a parcel of the saturated air has got some amount of heat dq. This heat will be laid out for: • Inner energy increase • Expansion work • Evaporation of some amount of water Reason for evaporation The parcel becomes non-saturated + As we know, evaporation
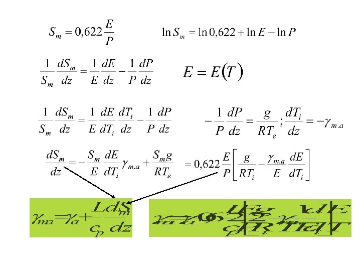
For adiabatic process Accounting for static equation, we get: Since Value of the moist adiabatic lapse rate depends on pressure and temperature only and does not depend on humidity
Opening brackets and solving the equation with respect to we obtain ,
Values of the moist adiabatic lapse rate at different temperature and pressure Pressure h. Pa T°C -50 -20 0 10 20 30 1000 0, 966 0, 856 0, 658 0, 532 0, 435 0, 363 800 0, 964 0, 831 0, 614 0, 489 0, 398 0, 335 600 0, 960 0, 793 0, 557 0, 436 0, 356 0, 303 400 0, 952 0, 730 0, 478 0, 371 0, 307 0, 267 200 0, 928 0, 597 0, 361 0, 286 0, 247 0, 223
Criterion of instability for the moist air Unstable atmosphere Stable atmosphere Dry, non-saturated air Neutral atmosphere Unstable atmosphere Stable atmosphere Moist, saturated air Neutral atmosphere Absolute instability Absolute stability Combine criterion of instability Conditional instability The air is unstable, it is saturated
Some additional information Equivalent-potential temperature is the potential temperature of an air parcel, the water vapor containing in it had been condensed due to adiabatic ascent and the heat obtained has been laid out to rise up the air parcel temperature, Θ+dθ, e=0 Pseudo-potential temperature Initial level Θ, e Θe, e=0 1000 h. Pa Equivalent-potential temperature Θp. p, e=0
- Slides: 10