Minimalizace logick funkce minimalizace kombinan logick funkce pomoc
Minimalizace logické funkce minimalizace kombinační logické funkce pomocí Booleovy algebry Dostupné z Metodického portálu www. rvp. cz, ISSN: 1802 -4785, financovaného z ESF a státního rozpočtu ČR. Provozováno Výzkumným ústavem pedagogickým v Praze.
Booleova algebra Minimalizace logických funkcí (pomocí Booleovy algebry) Opakování: základy Booleovy algebry můžeme využít i naopak: přidávat do vzorce ty prvky, které už obsahuje sčítáme 1 + 0 (resp. 0 + 1), takže výsledek je vždy jedna násobíme 1 · 0 (resp. 0 · 1), takže výsledek je vždy nula dvakrát znegovaná proměnná se vrátí do původního stavu - využijeme i naopak: pokud někde potřebujeme mít negaci, můžeme dvě přidat, aniž se funkce změní především označené vztahy budou potřebné k minimalizaci
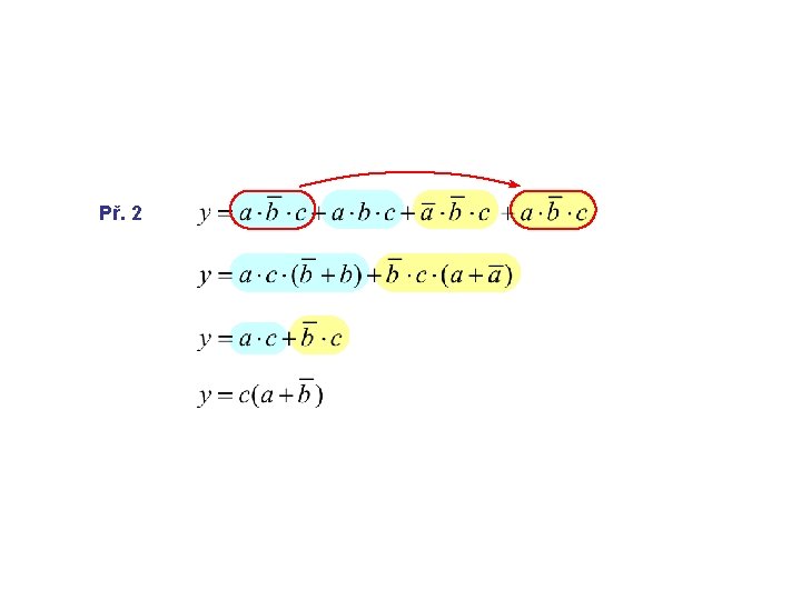
Postup minimalizace pomocí Booleovy algebry postup minimalizace (pro 1. kanonický tvar funkce) 1) v 1. kanonickém tvaru funkce si vybereme 2 součiny, které jsou stejné a liší se jen v jedné negaci 2) společné prvky (stejné proměnné se stejnými negacemi) z nich vytkneme před závorku 3) v závorce tak musí zbýt součet proměnné bez negace s toutéž proměnnou negovanou (např. a + ā) 4) obsah závorky se podle Booleovy algebry rovná jedné, můžeme tudíž celou závorku vynechat 5) postup můžeme opakovat 6) součiny, které nelze minimalizovat (nejdou „do páru“), pouze opíšeme 7) každý součin můžeme použít víckrát (platí a + a = a) - připsání toho, co už ve vztahu je, vztah nezmění Př. 1
Př. 2 příklady
- Slides: 4