MHD Shocks and Collisionless Shocks Manfred Scholer MaxPlanckInstitut




























































- Slides: 60
MHD Shocks and Collisionless Shocks Manfred Scholer Max-Planck-Institut für extraterrestrische Physik Garching, Germany The Solar/Space MHD International Summer School 2011 USTC, Hefei, China, 2011
Overview 1. Information, Nonlinearity, Dissipation 2. Shocks in the Solar System 3. MHD Rankine – Hugoniot Relations 4. de Hoffmann-Teller Frame, Coplanarity, and Shock Normal Determination 5. Resistive, 2 -Fluid MHD – First Critical Mach Number 6. Specular Reflection of Ions: Quasi-Perpendicular vs Quasi-Parallel Shocks 7. Upstream Whistlers and the Whistler Critical Mach Number 8. Brief Excursion on Shock Simulation Methods 9. Quasi-Perp. Shock: Specular Reflection, Size of the Foot, Excitation of Alfven Ion Cyclotron Waves 10. Cross- Shock Potential and Electron Heating 11. Quasi-Parallel Shock: Upstream Ions, Ion-Ion Beam Instabilities, and Interface Instability
12. The Bow Shock Electrons at the Foreshock Edge Field-Aligned Beams Diffuse Ions Brief Excursion on Diffusiv Acceleration Large-Amplitude Pulsations
Literature D. Burgess: Collisionless Shocks, in Introduction to Space Physics, Edt. M. G. Kivelson & C. T. Russell, Cambridge University Press, 1995 W. Baumjohann & R. A. Treumann: Basic Space Plasma Physics, Imperial College Press, 1996
Object in supersonic flow – Why a shock is needed If flow sub-sonic information about object can transmitted via sound waves against flow Flow can respond to the information and is deflected around obstacle in a laminar fashion If flow super-sonic signals get swept downstream and cannot inform upstream flow about presence of object A shock is launched which stands in upstream flow and effetcs a super- to sub-sonic transition The sub-sonic flow behind the shock is then capable of being deflected around the object
Fluid moves with velocity v; a disturbance occurs at 0 and propagates with velocity of sound c relative to the fluid The velocity of the disturbance relative to 0 is v + c n, where n is unit vector in any direction (a) v<c : a disturbance from any point in a sub-sonic flow eventually reaches any point (b) v>c: a disturbance from position 0 can reach only the area within a cone given by opening angle 2 a, where sin a =c / v Surface a disturbance can reach is called Mach‘s surface
Ernst Mach
Examples of a Gasdynamic Shock ‘Schlieren‘ photography
More Examples Shock attached to a bullet Shock around a blunt object: detached from the object (blunt = rounded, not sharp))
Schematic of how a compressional wave steepens to form a shock wave (shown is the pressure profile as a function of time) The sound speed is greater at the peak of the compressional wave where the density is higher than in front or behind of the peak. The peak will catch up with the part of the peak ahead of it, and the wave steepens. The wave steepens until the flow becomes nonadiabatic. Viscous effects become important and a shock wave forms where steepening is balanced by viscous dissiplation.
Characteristics cross at one point at a certain time Results in 3 -valued solution
Add some physics: Introduce viscosity in Burgers‘ equation
MHD In MHD (in addition to sound wave) a number of new wave modes (Alfven, fast, slow) Background magnetic field, v x B electric field We expect considerable changes Solar System Solar wind speed 400 – 600 km/sec Alfven speed about 40 km/sec: There have to be shocks
Interplanetary traveling shocks Coronal Mass Ejection (SOHO-LASCO) in forbidden Fe line Large CME observed with SOHO coronograph
Quasi-parallel shock Quasi-perpendicular shock
Vsw N B Belcher and Davis 1971
Corotating interaction regions and forward and reverse shock
CIR observed by Ulysses at 5 AU 70 ke. V 12 Me. V R F Decker et al. 1999
Earth‘s bow shock
The Earth‘s Bow Shock Quasi-Parallel Shock solar wind 300 -600 km/s Perpendicular Shock
Magnetic field during various bow shock crossings
Heliospheric termination shock Schematic of the heliosphere showing the heliospheric termination shock (at about 80 – 90 AU) and the bow shock in front of the heliosphere.
Voyager 2 at the termination shock (84 AU)
Friedrichs-diagram
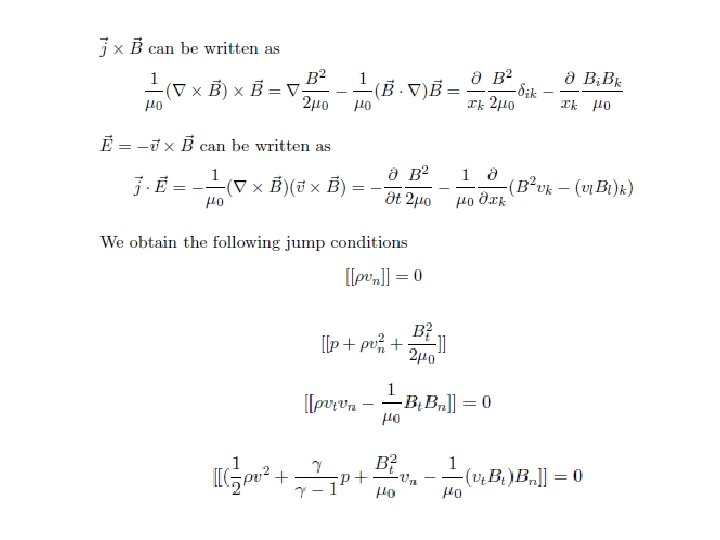
Rankine – Hugoniot Relations William John Macquorn Rankine 1820 - 1872 Pierre-Henri Hugoniot 1851 - 1887
2 1 F h h t n
Oblique MHD Shocks
Fast Slow Intermediate Switch-on Switch-off Rotational
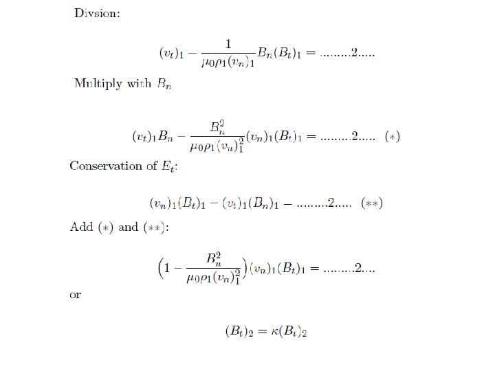
de Hoffmann-Teller Frame (H-T frame) and Normal Incidence Frame (NIF frame) Unit vectors Incoming velocity Subtract a velocity v. HT perp to normal so that incoming velocity is parallel to B
This is widely used in order to determine the shock normal from magnetic field observations
Adiabatic reflection (conservation of the magnetic moment) Note: only predicts energy of reflected ions, not whether an ion will be reflected