Metode Semi Average Setengah ratarata NAMA DWI INDAHSARI













- Slides: 13
Metode Semi Average (Setengah rata-rata) NAMA : DWI INDAHSARI NIM : 11142533 NO ABSEN : 52 KELAS : 11. 2 A. 05
Metode Semi Average (Setengah rata-rata) 2. Kasus jumlah data genap dan komponen kelompok ganjil Tahun persediaan semi total semi average trend awal tahun 2001 10+12+9+11 10 +13=55 2002 12 9, 5 2003 9 10, 5 2004 11 11, 5 2005 13 12, 5 2006 14+15+18+1 14 6+17= 80 2007 15 14, 5 2008 18 15, 5 2009 16 16, 5 2010 17 17, 5 55/5=11 80/5=16 8, 5 13, 5
Nilai semi average sebesar ao = 11 merupakan nilai trend periode dasar 30 juni’ 03 Nilai semi average sebesar ao = 16 merupakan nilai trend periode dasar 30 juni’ 08 -> Pertambahan trend tahunan secara rata-rata. Jadi b = (16 -11) / 5 = 1 Jadi persamaan trendnya : Y’ = a 0 + bx Jadi persamaan trend dg th dasar 2003 Y’ = 11+1 x Jadi persamaan trend dg th dasar 2008 Y’ = 16+1 x
Jarak awal tahun 2007 ke bulan juni tahun 2008 : x = -1, 5 Berapakah persediaan awal tahun 2001, jika diketahui tahun dasar 2008 ? Jawab : Jarak awal tahun 2001 ke bulan juni tahun 2008 : x = -7, 5 persamaan trend dg th dasar 2008 Y’ = 16 + 1 x Y’ = 16+1(-7, 5)= 8, 5 Berapakah persediaan awal tahun 2007, jika diketahui tahun dasar 2008 ? Jawab : Y’ = 16 + 1 x Y’ = 16+1(-1, 5)=14, 5
Berapakah persediaan awal tahun 2007, jika diketahui tahun dasar 2003 ? Jawab : Jarak awal tahun 2007 ke bulan juni tahun 2003 : x = 3, 5 persamaan trend dg th dasar 2003 Y’ = 11+ 1 x Y’ = 11+1(3, 5)=14, 5 Berapakah persediaan awal tahun 2001, jika diketahui tahun dasar 2003 ? Jawab : Jarak awal tahun 2001 ke bulan juni tahun 2003 : x = -2, 5 persamaan trend dg th dasar 2003 Y’ = 11 + 1 x Y’ = 11+1(-2, 5)=8, 5
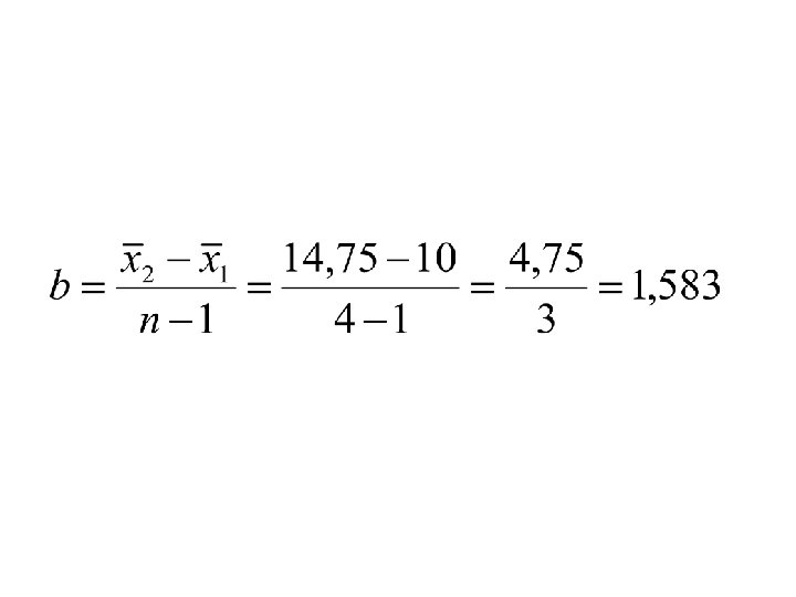
Metode Semi Average (Setengah rata-rata) 3. Kasus jumlah data ganjil a. Dengan cara memasukkan periode tahun tertengah tahun 2001 persediaan semi total 9+12+11+8 = 9 40 2002 12 2003 11 2004 8 2005 13+14+15+17 13 =59 2006 14 2007 15 2008 17 semi average 40/4=10 59/4=14, 75 trend awal tahun
Metode Semi Average (Setengah rata-rata) 3. Kasus jumlah data ganjil b. Dengan cara menghilangkan periode tahun tertengah Tahun 2001 persediaan semi total semi average 9 9+12+11=32 32/3=10. 67 2002 12 2003 11 2005 13+14+15=4 13 2 42/3=14 2006 14 2007 15 trend awal tahun
Metode Moving Average Tahun Harga Jumlah bergerak selama 3 tahun 2004 9 2005 16 9+16+12=37 37/3=12, 33 2006 12 16+12+10=38 38/3=12, 67 2007 10 12+10+8=30 30/3=10 2008 8 10+8+15=33 33/3=11 2009 15 - - Rata-rata bergerak per 3 tahun - -
Metode Moving Average Tahun Harga Jumlah bergerak Rata-rata bergerak tertimbang selama 3 tertimbang per 3 tahun 2004 9 - 2005 16 9(1)+16(2)+12(1) = 53 2006 12 16(1)+12(2)+10(1) = 50/4 = 12, 5 50 2007 10 12(1)+10(2)+8(1) = 40 40/4 = 10 2008 8 10(1)+8(2)+15(1) = 41 41/4 = 10, 25 2009 15 - 53/4 = 13, 25
Metode Least Square dengan data ganjil Tahun 2002 2003 2004 2005 2006 2007 2008 Total y x 14 12 18 11 15 16 17 103 yx -3 -2 -1 0 1 2 3 0 X^2 -42 -24 -18 0 15 31 51 13 6 4 1 0 1 4 9 25