Methods for describing the field of ionospheric waves
Methods for describing the field of ionospheric waves and spatial signal processing in the diagnosis of inhomogeneous ionosphere Mikhail V. Tinin Irkutsk State University, 20 Gagarin blvd, Irkutsk, 664003, Russia, e-mail: mtinin@api. isu. ru
We consider the possibilities of application of both classical and new methods for the description of wave propagation to solving some problems of ionospheric propagation of radio waves.
Perturbation theory in the wave problem.
Born approximation in the wave problem.
Geometrical optics approximation.
First approximation.
First Rytov approximation Rytov approx. GO
Integral representations Phase screen approximation
Small-angle approximation The double-weighted Fourier transform (DWFT) DWFT GO
Spatial processing by DWFP
Now consider the applications of the above methods for: • 1) reducing errors of GNSS measurements; • 2) analyzing vertical sounding of the ionosphere.
The Ionospheric Error of the Navigation System within the Geometrical Optics Second Approximation First-order correction Third-order correction Second-order correction
The first approximation: the dual-frequency measurements Given only the first-order correction, we obtain first approximation For the dual-frequency measurements ionosphere-free combination eliminates the first-order ionospheric errormost of the ionospheric error. As we can see the residual error is determined by the geomagnetic field contribution, the ray bending in the inhomogeneous ionosphere, and the diffraction effects
The Ionospheric Errors of the Dual-Frequency Navigation System within the Geometrical Optics Approximation To obtain the residual error of dual-frequency reception within the Geometrical Optics approximation, we substitute expression for the phase path of ionospheric radio wave in ionosphere-free combination.
Modeling statistical characteristics of the residual error for a turbulent ionosphere Chapman layer
Is it possible to eliminate higher ionospheric errors with the linear combination of measurements at more frequencies? First-order correction Third-order correction Second-order correction
Approximate formula for the second-order correction. Eliminating the second-order effects The geomagnetic field changes slowly at ionospheric heights. The third term on the right side can therefore be written as (Bassiri and Hajj, 1992, 1993): So, by changing coefficients of the ionosphere-free linear combination, we can eliminate both first- and second-order effects in dual-frequency measurements (for details see report of E. V. Konetskaya):
The triple-frequency GNSS measurements: Eliminating the third-order effects. Given phase measurements at three frequencies accounting for second-order effects, as above, we can write a system of equations: By solving the system, we get a triple-frequency distance formula
Diffraction effects in GNSS measurements Second-order Rytov approximation
The influence of diffraction effects on the first-order (dashed lines) and the third-order (solid lines) corrections a b The angle-of-elevation dependencies of the average third-order correction (a) and of the standard deviations (b) of the corrections at inner scale is 1 km. Green and red lines correspond to the dual-frequency and tripe-frequency GNSS measurements respectively. a b The same as above at inner scale is 70 m
Fresnel inversion Bias and standard deviation of residual error of first (dashed line) and third (solid line) orders with two-frequency (green lines) and three-frequency (red lines) cases as a function of virtual screen position Scintillation index for L 1 (solid line) and L 2 (dashed line) GPS signals as a function of virtual screen position
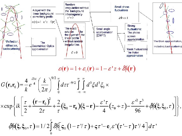
Wave reflection from a layer with random inhomogeneities
DWFT beyond the small-angle approximation; the method of Fock proper time
Conclusions • Increasing the accuracy of the known methods associated with the higher-order approximations, allows us to estimate the accuracy of GNSS measurements and suggest ways to improve it. • The development of new technical possibilities of the ionospheric plasma diagnostics requires a corresponding development of physically-based diagnostic methods • The methods considered for the description field of the probe signal can develop new ways to coherent quasi-optimal space-time processing, and find their application in the diagnosis of the ionospheric plasma and plasma fusion
See also • • Yu. A. Kravtsov, M. V. Tinin. Representation of a wave field in a randomly inhomogeneous medium in the form of the double-weighted Fourier transform. Radio Sci. . - 2000. - V. 35, № 6. – P. 1315 -1322. M. V. Tinin, Yu. A. Kravtsov. Super – Fresnel resolution of plasma in homogeneities by electromagnetic sounding. Plasma Phys. Control. Fusion. – 2008. - V. 50. - 035010 (12 pp). - DOI: 10. 1088/0741 -3335/50/3/035010. M. V. Tinin, B. C. Kim Suppressing amplitude fluctuations of the wave propagating in a randomly inhomogeneous medium Waves in Random and Complex Media. – 2011. - V. 21, № 4. –P. 645– 656. M. V. Tinin, Integral representation of the field of the wave propagating in a medium with large-scale irregularities. Radiophysics and quantum electronics - 2012 V. 55 P. 391 -398 Yu. A. Kravtsov, M. V. Tinin, and S. I. Knizhnin Diffraction Tomography of Inhomogeneous Medium in the Presence of Strong Phase Variations Journal of Communications Technology and Electronics, 2011, Vol. 56, No. 7, pp. 831– 837 B. C. Kim and M. V. Tinin, “Contribution of ionospheric irregularities to the error of dual-frequency GNSS positioning, ” J. Geod. , vol. 81, pp. 189 -199, 2007. B. C. Kim and M. V. Tinin, “The association of the residual error of dualfrequency Global Navigation Satellite Systems with ionospheric turbulence parameters, ” JASTP, vol. 71, pp. 1967– 1973, 2009. B. C. Kim, and M. V. Tinin, “Potentialities of multifrequency ionospheric correction in Global Navigation Satellite Systems, ” J Geod. , 85, 2011, pp. DOI 10. 1007/s 00190 -010 -0425 -z.
Thank you!
- Slides: 27