METABOLIC ENGINEERING OF ALKALOIDS PRODUCTION IN PLANT Juan
METABOLIC ENGINEERING OF ALKALOIDS PRODUCTION IN PLANT Juan Pan Department of Plant Pathology
OUTLINE • alkaloids biosynthesis in plant • metabolic engineering • summary
ALKALOIDS - N-containing small molecule - Amino acid derivative - Secondary metabolites - Defense in plant - Pharmaceutical uses
Alkaloid biosynthesis In plant - monoterpene indole alkaloid (MIA) Annu. Rev. Plant Biol. 2008. 59: 735 -69
MIA biosynthesis scheme
Alkaloid biosynthesis in plant - benzylisoquinoline alkaloids (BIAs) dopamine tyrosine (S)-norcoclaurine (S)-reticuline 4 -hydroxyphenyl acetaldehyde Nature chemical biology, 2009, 5 (5): 292 -300
Alkaloid biosynthesis in plant - tropane alkaloids
Alkaloid biosynthesis in plant - purine alkaloids
Metabolic engineering of alkaloid biosynthesis - Overexpressing rate- limiting genes - Gene silencing to block pathway - Regulatory element
PMT and H 6 H overexpression increased scopolamine production H 6 H Proc Natl Acad Sci USA 101: 6786 -6791
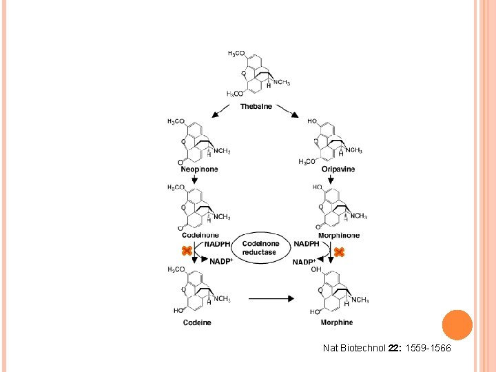
Silencing COR blocked morphine biosynthetic pathway COR dopamine tyrosine (S)-norcoclaurine (S)-reticuline 4 -hydroxyphenyl acetaldehyde Nat Biotechnol 22: 1559 -1566
Nat Biotechnol 22: 1559 -1566
Exogenous regulatory factors increased alkaloids production in poppy Plant Biotechnology Journal (2008) 6, pp. 160– 175
SUMMARY - Overexpression of rate-limiting enzyme for higher alkaloid production - Gene silencing to block certain pathway - Manipulating regulatory elements to increase alkaloid production - Combination of several methods
- Slides: 15