Metabolic Changes of Drugs Prof Faris T Abachi
Metabolic Changes of Drugs Prof. Faris T. Abachi ( PHD Pharmacy) 3 rd Year Pharmacy 2017
Oxidations involving carbon-heteroatom n Oxidations involving carbon-heteroatom systems. N 2 and O 2 functionalities are commonly found in most of the drugs and foreign compounds. Sulfur functionalities occur occasionally. Metabolic oxidation of carbonnitrogen, carbon –oxygen and carbon-sulfur systems involves two basic types of biotransformations. 1. Hydroxylation of -carbon atom attached directly to the heteroatom (N, O, S). Oxidative N, O & S dealkylation as well as oxidative deamination reactions fall under this mechanistic pathway.
Oxidation of Alcohols n n n n Primary alcohol ( RCH 2 OH) CH 3 CH 2 OH---- CH 3 CHO…. CH 3 COOH Acetaldehyde non- toxic CH 3 OH ------ H-CO-H…… H-COO-H Formaldehyde highly toxic Then to carboxylic acid Secondary alcohol R 2 CHOH (CH 3 )2 CH-OH. . CH 3 COCH 3 Ketone
Oxidation involving C-O System ( O-Dealkylation )Ethers ■ Converts an ether to an alcohol plus a ketone or aldehyde ■ Steric hindrance discussion similar to N-dealkylation Trimethoprim O-Dealkylation
Codeine Phenacetin Prazosin Indomethacin Metoprolol ■ One exception that appears to be a form of O-dealkylation is the oxidation of ethanol by CYP 2 E 1 ■ In this case R 3 is hydrogen instead of carbon to form the terminal alcohol rather than an ether ■ The enzyme involved is CYP 2 E 1 and has been historically referred to as the Microsomal Ethanol Oxidizing System (MEOS)
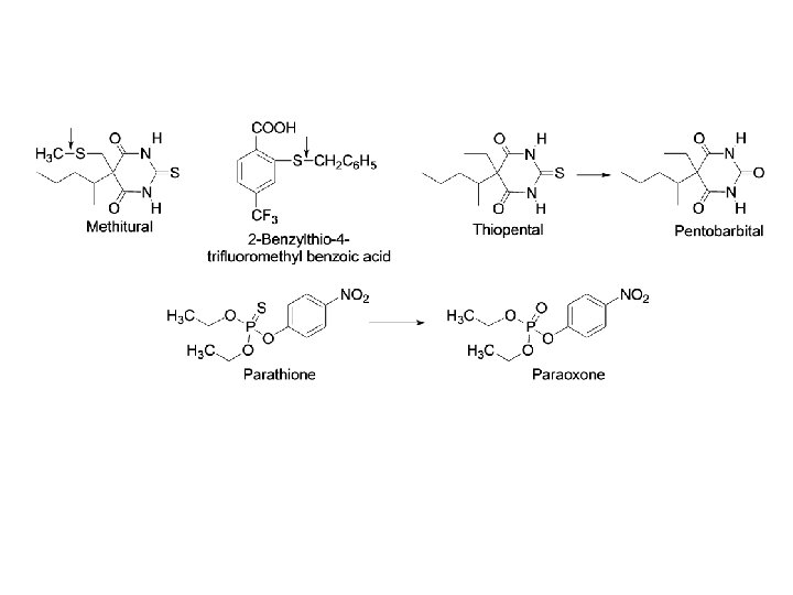
Oxidation involving C-S System ■ S-Dealkylation Steric hindrance discussion similar to N-dealkylation ■ Desulfuration ■ S-Oxidation
Oxidative Dehalogenation ■ Requires two halogens on carbon ■ With three there is no hydrogen available to replace ■ With one, the reaction generally won’t proceed ■ The intermediate acyl halide is very reactive Q. What is Gray Baby Syndrome?
Hepatic Microsomal Flavin Containing Monooxygenases (MFMO or FMO) ■ Oxidize S and N functional groups ■ Mechanism is different but end products are similar to those produced by S and N oxidation by CYP 450 ■ FMO’s do not work on primary amines ■ FMO’s will not oxidize substrates with more than a single charge ■ FMO’s will not oxidize polyvalent substrates Cimetidine MFMO S-Oxidation Q. What is the difference with MFO?
Non-Microsomal Oxidation Reactions ■ ■ ■ Monoamine oxidase (outer membrane of mitochondria, flavin containing enzyme ) Dehydrogenases (cytoplasm) Purine oxidation (Xanthene oxidase) Monoamine oxidase ■ Two MAOs have been identified: MAO–A and MAO–B. Equal amounts are found in the liver, but the brain contains primarily MAO–B; MAO–A is found in the adrenergic nerve endings ■ MAO–A shows preference for serotonin, catecholamines, and other monoamines with phenolic aromatic rings and MAO–B prefers non–phenolic amines ■ Metabolizes 1° and 2° amines; N must be attached to α-carbon; both C & N must have at least one replaceable H atom. 2° amines are metabolized by MAO if the substituent is a methyl group ■ b–Phenylisopropylamines such as amphetamine and ephedrine are not metabolized by MAOs but are potent inhibitors of MAOs
Alcohol dehydrogenase Aldehyde dehydrogenase Metabolizes 1° and 2° alcohols and aldehydes containing at least one “H” attached to a-C; 1° alcohols typically go to the aldehyde then acid; 2° alcohols are converted to ketone, which cannot be further converted to the acid. The aldehyde is converted back to an alcohol by alcohol (keto) reductases (reversible), however, it goes forward as the aldehyde is converted to carboxylic acid; 3° alcohols and phenolic alcohols cannot be oxidized by this enzyme; No “H” attached to adjacent carbon Ethanol Metabolism Purine oxidation Molybdenum Containing
Reductive Reactions ■ Bioreduction of C=O (aldehyde and keton) generates alcohol (aldehyde → 1 o alcohol; ketone → 2 o alcohol) ■ Nitro and azo reductions lead to amino derivatives ■ Reduction of N-oxides to their corresponding 3 o amines and reduction of sulfoxides to sulfides are less frequent ■ Reductive cleavage of disulfide (-S-S-) linkages and reduction of C=C are minor pathways in drug metabolism ■ Reductive dehalogenation is a minor reaction primarily differ from oxidative dehalogenation is that the adjacent carbon does not have to have a replaceable hydrogen and generally removes one halogen from a group of two or three
Reduction of Aldehydes & Ketones ■ C=O moiety, esp. the ketone, is frequently encountered in drugs and additionally, ketones and aldehydes arise from deamination n Ketones tend to be converted to alcohols which can then be glucuronidated. Aldehydes can also be converted to alcohols, but have the additional pathway of oxidation to carboxylic acids ■ Reduction of ketones often leads to the creation of an asymmetric center and thus two stereoisomeric alcohols are possible ■ Reduction of a, b –unsaturated ketones found in steroidal drugs results not only in the reduction of the ketone but also of the C=C ■ Aldo–keto oxidoreductases carry out bioreductions of aldehydes and ketones. Alcohol dehydrogenase is a NAD+ dependent oxidoreductase that oxidizes alcohols but in the presence of NADH or NADPH, the same enzyme can reduce carbonyl compounds to alcohols
Naloxone Daunomycin Naltrexone
Reduction of Nitro & Azo Compounds
n R 1 and R 2 are almost always aromatic n Usually only seen when the NO 2 functional group is attached directly to an aromatic ring and are rare n Nitro reduction is carried out by NADPH-dependent microsomal and soluble nitroreductases (hepatic) n NADPH dependent multicomponent hepatic microsomal reductase system reduces the azo n Bacterial reductases in intestine can reduce both nitro and azo Clonazepam Sulfasalazine Dantrolene
Reduction of Sulfur Containing Compounds Sulfoxide reduction (Cannot reduce a sulfone) X Sulfoxide Sulfone Disulfide reduction Sulindac
- Slides: 19