Mekanisme Pemisahan Secara Exklusi Exclusion Chromatography Prinsip Pemisahan




















- Slides: 20
Mekanisme Pemisahan Secara Exklusi (Exclusion Chromatography) Prinsip : Pemisahan komponen oleh gel didasarkan ukuran besar atau kecil molekul-molekul komponen. Molekul-molekul (larut), komponen kecil masuk ke dalam jaringan polimer (gel), sehingga gerakan dihambat. Sedangkan molekul besar tak dapat memasuki jaringan polimer dan akan keluar kolom lebih cepat dibawa fase gerak. Fase diam (dalam kolom) - Gel non ionik, berpori banyak dan sama rata ukuran bentuk. - misalnya : Sephadex - Dibedakan dua gel : 1. Gel Filtrasi adalah polimer sukrosa atau dextran yang membengkak dalam air. 2. Gel Permeasi adalah polimer membengkak di dalam pelarut organik.
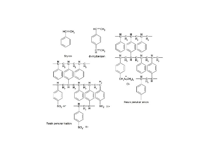
Mekanisme Pemisahan Secara Penukar Ion (Ion Exchange) - Setelah dikembangkan resina polistiren (1940) - Pemisahan unsur tanah jarang - Senyawa-senyawa pada Biokimia. Dasar Pemisahan : Perbedaan kekuatan interaksi ion terlarut dengan resina Senyawa terlarut (linarut) yang berinteraksi lemah akan keluar lebih cepat, dan sebaliknya senyawa yang berinteraksi kuat akan ditahan kolom lebih lama, maka akan keluar kemudian.
Fase Diam : resin buatan organik atau anorganik Contoh : Polistirena kation Polistirena anion Polidextran pemisahan protein Fase Gerak : Contoh : air + anion air + Kation (KH 2 PO 4 Na. H 2 PO 4 ) p. H 4
Mekanisme Pemisahan Secara Afinitas (Affinity Chromatography) Prinsip : Interaksi yang sangat spesifik antara solute dengan molekul yang terikat secara kovalen (immobilized) pada fase diam. Contoh : Molekul antibody terikat secara kovalen dengan fase diam. Jika campuran berisi 1000 protein dilewatkan kolom, hanya satu protein bereaksi dengan antibody yang terikat pada kolom. Setelah pencucian semua solute (1000 -1) protein keluar dari kolom. Protein yang diinginkan dilepaskan dari antibody dengan perubahan: p. H fase gerak atau kekuatan mengionkan fase gerak.
Contoh : Mol coplanar mempunyai ggs Cis-diol dapat dipisahkan dari campuran komplek (nukleotida) dengan cara melewatkan pada kolom dengan asam fenil boronat terikat AFFI GEL 601 yang dijual dipasaran adalah bentuk dari Biogel P-6 yang mengikat asam fenil boronat yang dapat mengikat coplanar Cis-diol. Nukleotida yg tak ada ggs cis diol akan keluar. Sedangkan Nukleotida dg ggs cis diol Akan ditahan. Setelah dielusi buffer sitrat Nukleotida cis diol akan keluar.
Teori Pelat dan Teori Kecepatan Teori Pelat (Plate theory) (Martin dan Synge, 1941) : pada fase diam dan fase gerak terjadi kesetimbangan senyawa (analit), terjadi pada satu plat. Teori Kecepatan / Rate theory (van Deemter, 1956) : terjadinya pelebaran puncak tergantung pada proses transfer massa
Teori distilasi Teori Kromatografi
Teori Pelat (Plate theory) (Martin dan Synge, 1941)
Menentukan kecepatan alir optimum Teori Kecepatan / Rate theory (van Deemter, 1956) A = difusi eddy B/m = difusi longitudinal Cm = pemindahan massa
Difusi Eddy (efek jalur ganda) Column Difusi longitudinal Efek perpindahan massa Diffusion
Resolusi : Derajat pemisahan dua komponen pada proses kromatografi Jarak antar dua puncak dibagi lebar alas puncak R = 1, 5 Base Line Resolution Faktor pemisah (a) : Puncak overlap 0, 3%