Mean and Fluctuating Quantities Ocean Surface 3 D

  • Slides: 35
Download presentation
Mean and Fluctuating Quantities Ocean Surface 3 D Turbulence Current Meter Mean Flow Fluctuating

Mean and Fluctuating Quantities Ocean Surface 3 D Turbulence Current Meter Mean Flow Fluctuating Flow One Dimensional Measurement time

Three Types of Averages Ensemble Time Space Ergodic Hypothesis: Replace ensemble average by either

Three Types of Averages Ensemble Time Space Ergodic Hypothesis: Replace ensemble average by either a space or time average

Concept of Correlation Function Auto Correlation Function Cross Correlation Function

Concept of Correlation Function Auto Correlation Function Cross Correlation Function

Concept of Spatial Homogeneity and Temporal Stationarity Time or Space Correlation Function R

Concept of Spatial Homogeneity and Temporal Stationarity Time or Space Correlation Function R

Homogeneous/Stationary I D Correlation Function

Homogeneous/Stationary I D Correlation Function

Velocity Cross Correlation Function Auto Covariance Function

Velocity Cross Correlation Function Auto Covariance Function

1 r x r=0 Time or Space Axis

1 r x r=0 Time or Space Axis

Concept of Structure Function Microscale Integral scale

Concept of Structure Function Microscale Integral scale

Taylor’s Microscale Temporal case Spatial case

Taylor’s Microscale Temporal case Spatial case

How to Calculate Correlation Functions from Data x, t L, T

How to Calculate Correlation Functions from Data x, t L, T

Concept of Spectrum Temporal Spectrum

Concept of Spectrum Temporal Spectrum

Spatial Spectra Terminology

Spatial Spectra Terminology

Normalized Correlation Function and Spectra Integral Scale = Area under curve You can show

Normalized Correlation Function and Spectra Integral Scale = Area under curve You can show that: r x

3 D + Time Spectra

3 D + Time Spectra

Gradient Spectra

Gradient Spectra

Spatial Spectra Gradient Spectra

Spatial Spectra Gradient Spectra

Use of the Log-Log plot Linear Plot Log-Log Plot p=-2 100 p=-2 20 10

Use of the Log-Log plot Linear Plot Log-Log Plot p=-2 100 p=-2 20 10 p=2 0 1 2 20 10

Spectra Area under curve Interpret k as eddy of size Gradient Spectra Area under

Spectra Area under curve Interpret k as eddy of size Gradient Spectra Area under curve

is the area under w Consider Model Correlation Function

is the area under w Consider Model Correlation Function

From F we create a simulation of and

From F we create a simulation of and

Calculation of Spectra = Decomposition of Variance into contributions by sines/cosines L

Calculation of Spectra = Decomposition of Variance into contributions by sines/cosines L

Calculation of Spectra of u’ Dx L 1. Choose Sampling Dx (digitizing) 2. Calculate

Calculation of Spectra of u’ Dx L 1. Choose Sampling Dx (digitizing) 2. Calculate f the DFT (Discrete Fourier Transform) of sections of u’ 3. Estimate Spectra by where 1 & 2 3 n

The Uncertainty Principle

The Uncertainty Principle

Developing the Concept of an Eddy Real(u) f

Developing the Concept of an Eddy Real(u) f

The Eddy

The Eddy

Q

Q

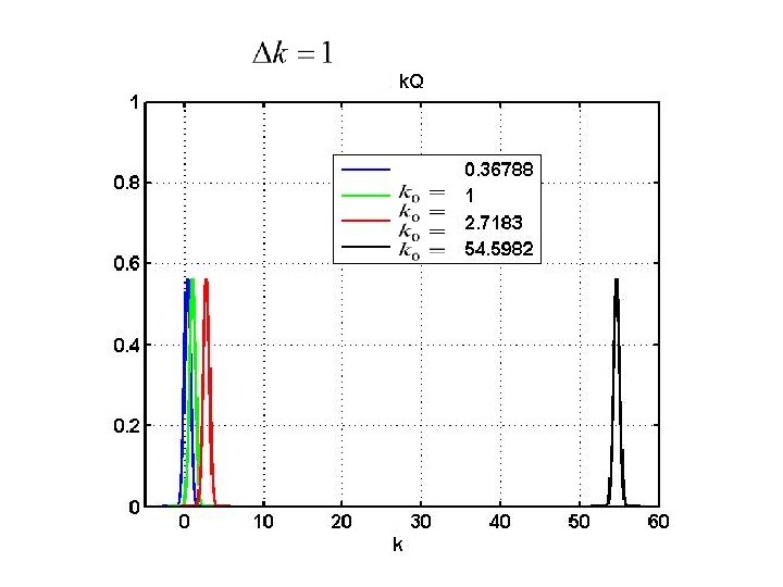
k. Q

k. Q

k. Q

k. Q