MATRIZES As linhas horizontais da matriz so chamadas








































- Slides: 40
MATRIZES
• As linhas horizontais da matriz são chamadas de linhas e as linhas verticais são chamadas de colunas. • Uma matriz com m linhas e n colunas é chamada de uma matriz m por n (escrevese m×n) e m e n são chamadas de suas dimensões, tipo ou ordem. • Um elemento de uma matriz A que está na i-ésima linha e na j-ésima coluna é chamado de elemento i, j ou (i, j)-ésimo elemento de A. • Ele é escrito como Ai, j ou A[i, j].
• Uma matriz onde uma de suas dimensões é igual a 1 é geralmente chamada de vetor. • Uma matriz 1 × n (uma linha e n colunas) é chamada de vetor linha ou matriz linha, e uma matriz m × 1(uma coluna e m linhas) é chamada de vetor coluna ou matriz coluna.
A matriz a seguir é uma matriz de ordem 2× 3 com elementos naturais Nesse exemplo, o elemento a 1 2 é 2, o número na primeira linha e segunda coluna do quadro.
• A transposta de uma matriz Am × n é a matriz Atn × m em que todos os elementos da primeira linha, tornar-se-ão elementos da primeira coluna, todos os elementos da segunda linha, tornar-se-ão elementos da segunda coluna, todos os elementos da n linha, tornar-se-ão elementos da m coluna, e assim sucessivamente.
• Uma matriz é dita quadrada se tem o mesmo número de linhas e colunas, ou seja, quando podemos dizer que, m tem a mesma quantidade de elementos que n. • Numa matriz quadrada A de ordem n × n, chama-se de diagonal principal os elementos aij onde i = j, para i de 1 a n.
Operações envolvendo Matrizes Multiplicação por um escalar • A multiplicação é uma das operações mais simples que podem ser feitas com matrizes. • Para multiplicar um número k qualquer por uma matriz A n×m, basta multiplicar cada entrada aij de A por k. • Assim, a matriz resultante B será também n×m e bij = k. aij. • Com isso, pode-se pensar também na noção de dividir uma matriz por um número: basta multiplicá-la pelo inverso desse número. • Mas essa noção pode ser perigosa: enquanto a multiplicação entre um número e uma matriz pode ser dita "comutativa", o mesmo não vale para a divisão, pois não se pode dividir um número por uma matriz.
Adição e Subtração entre Matrizes • Dado as matrizes A e B do tipo m por n, sua soma A + B é a matriz m por n computada adicionando os elementos correspondentes: (A + B)[i, j] = A[i, j] + B[i, j].
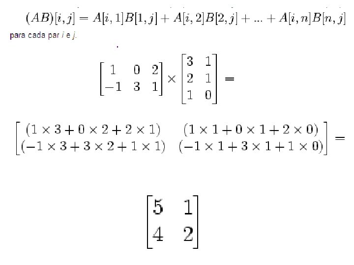
Multiplicação de Matrizes • Multiplicação de duas matrizes é definida apenas se o número de colunas da matriz da esquerda é o mesmo número de linhas da matriz da direita. • Se A é uma matriz m por n e B é uma matriz n por p, então seu produto AB é a matriz m por p (m linhas e p colunas) dada por:
Exemplo
EXERCÍCIOS • Multiplicação de matrizes • O número de transistores e o número de altofalantes usados para montar três modelos de aparelhos de TV foram especificados em uma tabela.