Matris tersi A matrisi nxn boyutlu bir matris
Matris tersi A’ matrisi nxn boyutlu bir matris olsun. BA=I ve AB=I olmasını sağlayan en fazla bir B matrisi bulunabiliniyorsa A matrisi tersinirdir denir ve B A’nın tersi olarak isimlendirilip A-1 ile gösterilir.
Aynı matrisin birden fazla tersi olabilir mi? A matrisinin soldan tersi B sağdan tersi C BA=I AC=I olsun Q. E. D. quod erat demonstrandum
Matris tersinin bazı özelikleri
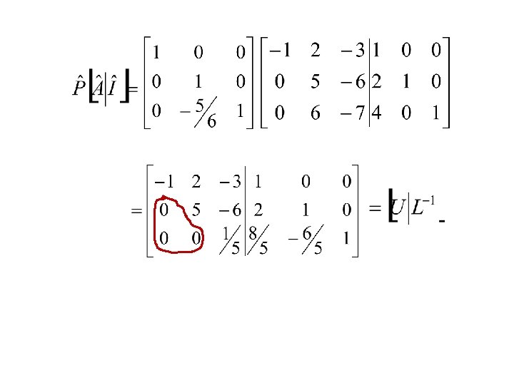
Matris tersi hesaplamak için bir yöntem…. n tane denklem takımı çözeceğiz
Bir örnek….
Lineer Vektör Uzayı cebrik işlem ve ve olmak üzere ‘de iki aşağıdaki gibi tanımlanmış olsun Vektör toplama (VT) VT 1 VT 2 VT 3 VT 4
Skaler ile çarpma (SÇ) SÇ1 SÇ2 SÇ3 SÇ4
Bazı vektör uzayı örnekleri boyutlu matrisler uzayı Fonksiyonlar uzayı
Alt uzay lineer vektör uzayının bir alt uzayı aşağıdaki özelliği sağlayan boş olmayan bir alt kümedir Alt uzay için ne diyebilirsiniz? …………………….
Bazı alt uzay örnekleri…. ‘ün bir alt uzayı boyutlu matrislerin bir alt uzayı fonksiyonlar uzayı
lineer bağımsız vektör kümesi ve olsun lineer bağımsızdır. Aksi taktirde lineer bağımlıdır ve içlerinden en az biri diğerleri cinsinden ifade edilebilir.
Biraz örnek…. Bu vektörler lineer bağımsız mıdır? A Matrisinin satır ve sütunları lineer bağımsız mıdır?
Bir sonuç…. ‘de verilmiş olan n tane vektör n>m ise lineer bağımlıdır. ‘de verilmiş olan …. . tane vektör
Bir alt uzayın örtülüşü…. . olmak üzere ‘da ki her şeklinde cinsinden yazılabiliniyorsa örter. vektörleri vektörü vektörleri vektör uzayını
- Slides: 20