MATRIKS Setelah menyaksikan tayangan ini anda dapat menentukan














































- Slides: 46
MATRIKS
Setelah menyaksikan tayangan ini anda dapat menentukan penyelesaian suatu persamaan matrik dengan menggunakan sifat dan operasi matrik
Perhatikan Tabel: Absensi siswa kelas III Bulan: Februari 2006 Nama Siswa Agus Budi Cicha Sakit Ijin Alpa 0 1 3 1 5 2 1 0 1
Jika judul baris dan kolom dihilangkan Nama Siswa Agus Budi Sakit Ijin Alpa 0 1 1 2 3 0 Cicha 5 1 1 Judul baris Judul kolom
Maka terbentuk susunan bilangan sebagai berikut: 0 1 3 1 2 0 5 1 1 disebut matriks
Matriks adalah Susunan bilangan berbentuk persegipanjang yang diatur dalam baris dan kolom, ditulis diantara kurung kecil atau siku
Bilangan yang disusun disebut elemen. Banyak baris x banyak kolom disebut ordo matriks. Sebuah matriks ditulis dengan huruf besar
Contoh: Matriks A = baris ke 1 baris ke 2 kolom ke 1 kolom ke 2 kolom ke 3 • 4 adalah elemen baris ke 2 kolom ke 1 • matriks A berordo 2 x 3
A= a am t u l a n o g a di Banyak baris 4, banyak kolom 4 A adalah matriks berordo 4
Jenis – jenis Matriks : 1) Matriks Persegi Adalah matriks yang jumlah baris sama dengan jumlah kolom. 1 2 3 4 5 6 2) Matrils Baris Adalah matriks yang terdiri dari satu baris. 1 2 7
3) Matriks Kolom Adalah matriks yang terdiri dari satu kolom. 1 4 5 4) Matriks Datar Adalah matriks ang jumlah kolom lebih dari jumlah baris. 1 4 9 4 5 7
5) Matriks Tegak Adalah matriks yang jumlah kolom lebih sedikit dari jumlah baris. 1 4 4 5 5 8
Mattriks Segitiga A= A adalah matriks segitiga atas yaitu matriks yang elemen-elemen di bawah diagonal utamanya bernilai nol
Perhatikan matriks berikut: B= B adalah matriks segitiga bawah yaitu matriks yang elemen-elemen di atas diagonal utamanya bernilai nol
Perhatikan matriks berikut: C= C adalah matriks diagonal yaitu matriks persegi yang elemen di bawah dan di atas diagonal utama bernilai nol
Matriks Identitas I= I adalah matriks Identitas yaitu matriks diagonal yang elemen-elemen pada diagonal utama bernilai satu
Transpos Matriks Transpos matriks A, ditulis At adalah matriks baru dimana elemen baris matriks At merupakan kolom matriks A
A= Transpos matriks A adalah At =
Kesamaan Dua Matriks matriks A = matriks B jika Ø ordo matriks A = ordo matriks B Øelemen yang seletak sama
A= dan B = Jika matriks A = matriks B, maka x – 7 = 6 x = 13 2 y = -1 y = -½
Contoh 1: Diketahui K = dan L = Jika K = L, maka r adalah….
Bahasan: K=L = p = 6; q = 2 p q = 2. 6 = 12 3 r = 4 q 3 r = 4. 12 = 48 jadi r = 48 : 3 = 16
Contoh 2: Misalkan A = dan B = Jika At adalah transpos matriks A maka persamaan At = B dipenuhi bila x = ….
Bahasan: A= At = B =
x+y=1 x–y=3 2 x = 4 Jadi x = 4 : 2 = 2
Operasi Pada Matriks ØPenjumlahan ØPengurangan ØPerkalian: perkalian skalar dengan matriks perkalian matriks dengan matriks
Penjumlahan/pengurangan Matriks A dan B dapat dijumlahkan/dikurangkan, jika ordonya sama. Hasilnya merupakan jumlah/selisih elemen-elemen yang seletak
Contoh 1: A= dan B = A + B = + =
Contoh 2: Jika A = , B= dan C = Maka (A + C) – (A + B) =….
Perkalian Matriks Perkalian skalar dengan matriks Jika k suatu bilangan (skalar) maka perkalian k dengan matriks A ditulis k. A, adalah matriks yang elemennya diperoleh dari hasil kali k dengan setiap elemen matriks A
Contoh 1: Matriks A = Tentukan elemen-elemen matriks 5 A! Jawab: 5 A =
Contoh 2: Matriks A = , B= dan C = Jika A – 2 B = 3 C, maka a + b = ….
Bahasan A – 2 B = 3 C – 2 = 3 – =
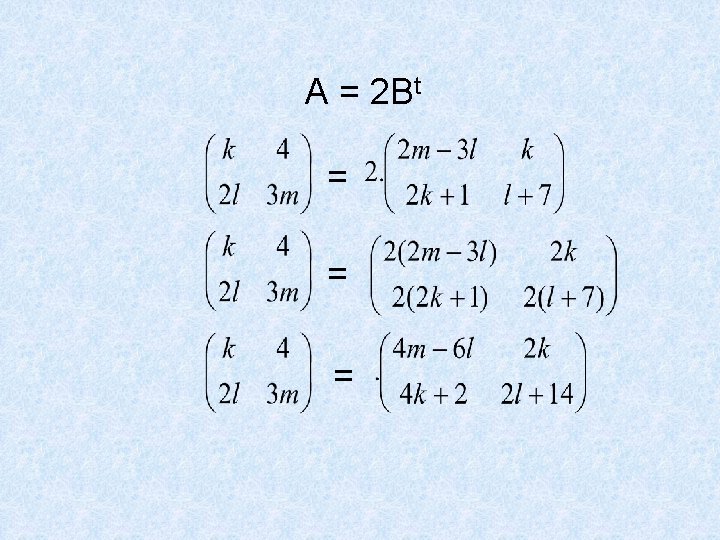
Contoh 3: Matriks A = dan B = Supaya dipenuhi A = 2 Bt, dengan Bt adalah matriks transpos dari B maka nilai m = ….
Bahasan B= berarti Bt = A = 2 Bt =
= 4 = 2 k k = 2 2 l = 4 k + 2 2 l = 4. 2 + 2 2 l = 10 l = 5 3 m = 2 l + 14 3 m = 2. 5 + 14 = 24 Jadi m = 8
Perkalian Matriks dengan Matriks Dua buah matriks dapat di kalikan jika banyaknya kolom matriks pertama sama dengan banyaknya baris matriks kedua. Contoh : A= 2 -1 1 0 B = 1 -1 0 -5 4 -3
Bahasan : 2 -1 1 -1 0 -5 4 -3 Elemen- elemen baris matriks pertama dikalikan elemen-elemen kolom matriks pertama
2+5 -2 +(-4) 0+3 1+0 -1 + 0 0+0 Hasil : 7 -6 3 1 -1 0
Determinan A = a b c d Determinan ditulis A Det A = ad - cb
M= a b c d e f g h i Det M = a b c a b d e f d e g h i g h Det M = aei + bfg + cdh – gec – hfa - idb
Invers A’ dibaca A invers A= A’ = a b c d 1 ad - cb d -b -c a