Matriks lanjutan Transformasi Elementer Riri Irawati M Kom



















- Slides: 19
Matriks (lanjutan): Transformasi Elementer Riri Irawati, M. Kom 3 sks
Agenda Matriks Transpose Matriks Transformasi Elementer Contoh & Latihan soal
Tujuan Instruksional Secara Umum ◦ Mahasiswa mengerti definisi dari matriks & perhitungannya. Secara Khusus ◦ Mahasiswa dapat mengerti materi yang ada pada matriks transformasi elementer baik operasi & perhitungannya.
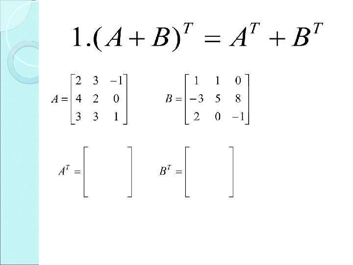
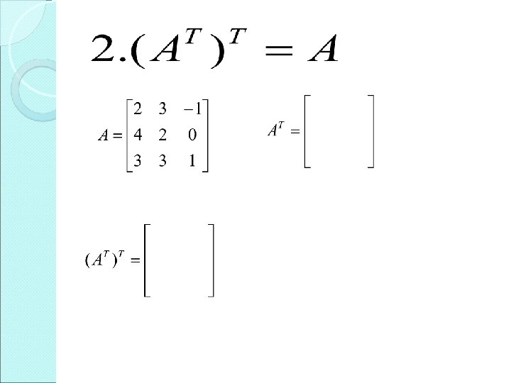
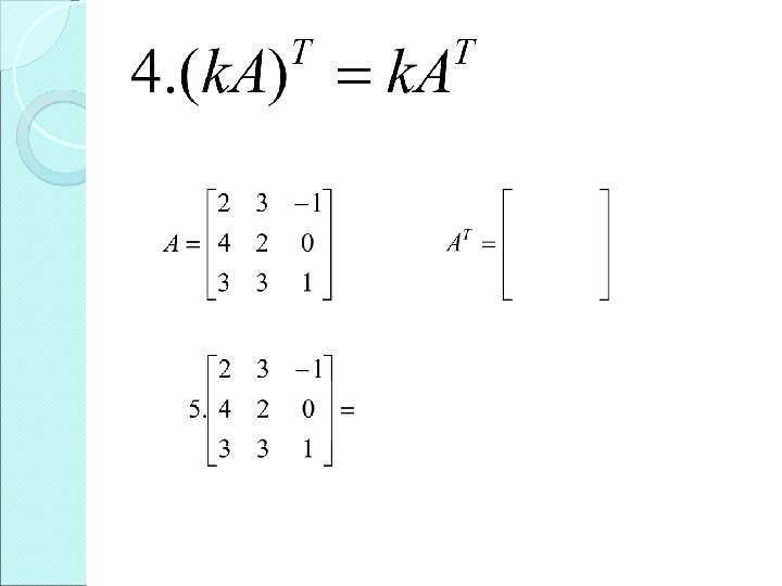
MATRIKS TRANSPOSE § Transpose dari matriks A berordo m x n adalah sebuah matriks AT berordo n x m yang disusun dengan proses sebagai berikut: 1) Baris pertama matriks A ditulis menjadi kolom pertama dalam matriks AT. 2) Baris kedua matriks A ditulis menjadi kolom kedua matriks AT. 3) Baris ketiga matriks A ditulis menjadi kolom ketiga dalam matiks AT, . . , demikian seterusnya. Kesimpulan: Baris ke-m matriks A ditulis menjadi kolom ke-m dalam matriks AT.
MATRIKS TRANSPOSE q Jika A adalah suatu matriks m x n, maka tranpose A dinyatakan oleh AT dan didefinisikan dengan matriks n x m yang kolom pertamanya adalah baris pertama dari A, kolom keduanya adalah baris kedua dari A, demikian juga dengan kolom ketiga adalah baris ketiga dari A dan seterusnya. q Contoh : matriks A : berordo 2 x 3 transposenya : berordo 3 x 2
Contoh Tentukan matriks transposenya : P= Q= R=
TRANSPOSE MATRIKS Beberapa Sifat Matriks Transpose : Buktikan sifat-sifat transpose diatas !
MATRIKS TRANSFORMASI ELEMENTER PADA BARIS DAN KOLOM Yang dimaksud dengan transformasi pada baris atau kolom suatu matriks A adalah sebagai berikut: A. Penukaran tempat baris ke-i dan baris ke-j (baris ke-i dijadikan baris ke-j dijadikan baris ke-i), ditulis: Hij(A). Contoh : maka H 12(A) = Tentukan H 24(B)!
MATRIKS TRANSFORMASI ELEMENTER PADA BARIS DAN KOLOM B. Penukaran tempat kolom ke-i dan kolom ke-j (kolom ke-i dijadikan kolom ke-j dijadikan kolom ke-i), ditulis: Kij(A). Contoh : maka K 12(A) = Tentukan K 14(B)!
MATRIKS TRANSFORMASI ELEMENTER PADA BARIS DAN KOLOM C. Mengalikan baris ke-i dengan suatu bilangan skalar λ (λ≠ 0), ditulis Hi(λ)(A). Tentukan: a. H 1(¼)(A) b. H 3(3)(A)
MATRIKS TRANSFORMASI ELEMENTER PADA BARIS DAN KOLOM D. Mengalikan kolom ke-i dengan suatu bilangan skalar λ (λ≠ 0), ditulis Ki(λ)(A). Tentukan: a. K 1(2)(A) b. H 3(-10)(A)
MATRIKS TRANSFORMASI ELEMENTER PADA BARIS DAN KOLOM E. Menambah baris ke-i dengan λ kali baris ke-j, ditulis Hij(λ)(A). Tentukan : - H 12(2)(A) - H 31(-3)(A) - H 32(½)(A)
MATRIKS TRANSFORMASI ELEMENTER PADA BARIS DAN KOLOM F. Menambah kolom ke-i dengan λ kali kolom ke-j, ditulis Kij(λ)(A). Tentukan : - K 12(2)(A) - K 31(-3)(A) - K 32(½)(A)
CONTOH LATIHAN Diketahui : Tentukan: a. H 12(A), H 23(A), H 31(A), K 14(A), K 23(A), K 24(A), K 34(A) b. H 2(2)(A), H 1(-1)(A), K 3(2)(A), K 2(-½)(A), H 3(-3)(A), K 4(5)(A) c. H 12(3)(A), H 31(½), H 13(-1)(A), H 23(-2)(A), K 13(-2)(A), K 24(2)(A) K 34(3)(A), K 41(-3)(A)
Latihan PR Matriks Transpos 1. Tentukan matriks transpose dari : Matriks Transformasi Elementer 2. Diketahui: Tentukan : H 2(-1)(P), H 21(P), H 31(2)(P), K 3(2)(P), K 23(P), K 13(-1)(P)