MATRIKS lanjutan Matrix Bersekat Kegunaan untuk mempermudah dalam
MATRIKS (lanjutan……)
Matrix Bersekat Kegunaan : untuk mempermudah dalam pengoperasian, khususnya untuk matrix berorde tinggi. Jika dua matrix seorde disekat secara sebangun, maka dapat dilakukan penjumlahan dan pengurangan pada sekatan-sekatannya.
• Berlaku juga untuk penyelesaian perkalian antar matrix. • Matrix-matrix yang akan dikalikan harus disekat sedemikian rupa sehingga memenuhi syarat operasi perkalian. • Jumlah kolom dari sekatan-sekatan yang dikalikan harus sama dengan jumlah baris dari sekatan-sekatan pengalinya.
DETERMINAN MATRIX Determinan selalu berbentuk bujursangkar, dilambangkan |A| Nilai numerik |A|
Minor dan Kofaktor Laplace Expansion by cofactors; if |A| = 0, then |A| is singular, i. e. , under identified
Pattern of the signs for cofactor minors
Adjoin Matrix C' or adjoint A: Transpose matrix of the cofactors of A
PEMBALIKAN MATRIX (Matrix Inverse) Berorde 2 x 2 Determinan |A|
AC'
Matrix AC'
Inverse of A
Penyelesaian Sistem Persamaan Linier Sehimpunan persamaan linier dapat disajikan dalam bentuk notasi matrix. Bentuk umumnya : A m xn X nx 1 = c mx 1 Jika m = n dan A mempunyai inverse matrix bujursangkar yang non-singular, maka : A n xn X nx 1 = c nx 1
Penyelesaian untuk vektor kolom x dapat diperoleh dengan membalik matrix A : X n x 1 = A-1 n x n c n x 1 Selain itu juga bisa diselesaikan dengan kaidah cramer
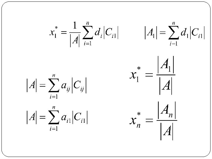
Cramer’s Rule
- Slides: 20