Matrices Orthogonal matrix When the product of a




















































- Slides: 52
Matrices
Orthogonal matrix When the product of a matrix A with its transposed matrix is a unit matrix ; then the matrix A is called an orthogonal matrix.
Conjugate of a matrix The complex matrix obtained from any given matrix A on replacing its elements by the corresponding conjugate complex numbers is called the conjugate matrix.
Trensposed Conjugate of a matrix The transpose of the conjugate of a matrix A is called Transposed Conjugate of a matrix.
Hermitian matrix A square matrix A is said to be Hermitian matrix if it is equal to its conjugate transposed matrix
Skew-Hermitian matrix A square matrix A is said to be Skew-Hermitian matrix if it is equal to the minus of its conjugate transposed matrix
Unitary matrix A square matrix A is said to be Unitary matrix if the product of A to its conjugate transposed matrix is equal to the Identity matrix
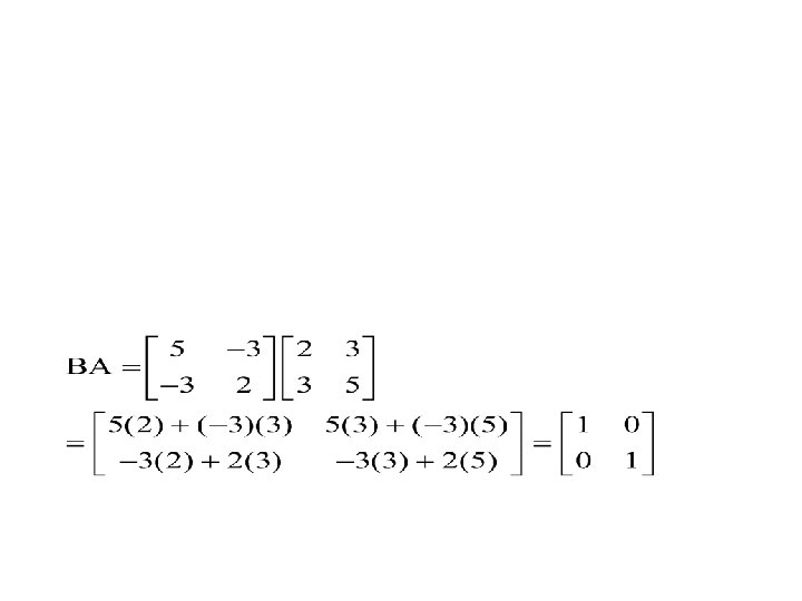
Cofactor Method for Inverses • Let A = (aij) be an nxn matrix • Recall, the co-factor Cij of element aij is: Cij = (-1)i+j |Mij| • Mij is the (n-1) x (n-1) matrix made by removing the ROW i and COLUMN j of A
Cofactor Method for Inverses • Inverse of A is given by: A-1 1 = (matrix of co-factors)T |A| 1 = |A| C 11 C 21 C 12 C 22 Cn 1 Cn 2 C 1 n C 2 n Cnn
Examples • Calculate the inverse of A = M 11 = d |M 11| = d a b c d C 11 = d
Examples • Calculate the inverse of A = M 12 = c |M 12| = c a b c d C 12 = -c
Examples • Calculate the inverse of A = M 21 = b |M 21| = b a b c d C 12 = -b
Examples • Calculate the inverse of A = M 22 = a |M 22| = a a b c d C 22 = a
Examples • Calculate the inverse of A = a b c d • Found that: C 11 = d C 12 = -c C 21 = -b C 22 = a • So, A-1 1 = (matrix of co-factors)T |A|
Examples • Calculate the inverse of A = a b c d • Found that: C 11 = d C 12 = -c C 21 = -b C 22 = a • So, A-1 1 = (matrix of co-factors)T (ad-bc)
Examples • Calculate the inverse of A = a b c d • Found that: C 11 = d C 12 = -c C 21 = -b C 22 = a • So, C 11 C 12 1 A-1 = (ad-bc) C C 21 22 T
Examples • Calculate the inverse of A = a b c d • Found that: C 11 = d C 12 = -c C 21 = -b C 22 = a • So, C 11 C 21 1 A-1 = (ad-bc) C C 12 22
Examples • Calculate the inverse of A = a b c d • Found that: C 11 = d C 12 = -c C 21 = -b C 22 = a • So, A-1 d -b 1 = (ad-bc) -c a
Examples 3 x 3 Matrix 1 • Calculate the inverse of B = 1 2 1 1 2 2 3 4 • Find the co-factors: 2 2 M 11 = 3 4 |M 11| = 2 C 11 = 2
Examples 3 x 3 Matrix 1 • Calculate the inverse of B = 1 2 1 1 2 2 3 4 • Find the co-factors: 1 2 M 12 = 2 4 |M 12| = 0 C 12 = 0
Examples 3 x 3 Matrix 1 • Calculate the inverse of B = 1 2 1 1 2 2 3 4 • Find the co-factors: 1 2 M 13 = 2 3 |M 13| = -1 C 13 = -1
Examples 3 x 3 Matrix 1 • Calculate the inverse of B = 1 2 1 1 2 2 3 4 • Find the co-factors: 1 1 M 21 = 3 4 |M 21| = 1 C 21 = -1
Examples 3 x 3 Matrix 1 • Calculate the inverse of B = 1 2 1 1 2 2 3 4 • Find the co-factors: 1 1 M 22 = 2 4 |M 22| = 2 C 22 = 2
Examples 3 x 3 Matrix 1 • Calculate the inverse of B = 1 2 1 1 2 2 3 4 • Find the co-factors: 1 1 M 23 = 2 3 |M 23| = 1 C 23 = -1
Examples 3 x 3 Matrix 1 • Calculate the inverse of B = 1 2 1 1 2 2 3 4 • Find the co-factors: 1 1 M 31 = 2 2 |M 31| = 0 C 31 = 0
Examples 3 x 3 Matrix 1 • Calculate the inverse of B = 1 2 1 1 2 2 3 4 • Find the co-factors: 1 1 M 32 = 1 2 |M 32| = 1 C 32 = -1
Examples 3 x 3 Matrix 1 • Calculate the inverse of B = 1 2 1 1 2 2 3 4 • First find the co-factors: 1 1 M 33 = 1 2 |M 33| = 1 C 33 = 1
Examples 3 x 3 Matrix 1 • Calculate the inverse of B = 1 2 1 1 2 2 3 4 • Next the determinant: use the top row: |B| = 1 x |M 11| -1 x |M 12| + 1 x |M 13| = 2 – 0 + (-1) = 1
Examples 3 x 3 Matrix • Using the formula, B-1 1 = (matrix of co-factors)T |B| 1 = (matrix of co-factors)T 1
Examples 3 x 3 Matrix • Using the formula, B-1 1 = (matrix of co-factors)T |B| 1 2 0 1 = 1 -1 2 -1 0 -1 1 = 2 -1 0 0 2 -1 -1 -1 1 T