Maths C 4 Binomial Theorem Three quick questions
Maths C 4 Binomial Theorem
Three quick questions from C 2 • Expand the following: • 1) (1+x)4 • 2) (1 -2 x)3 • 3) (1+3 x)4 • Here these expansions are finite (n+1) terms and exact.
Expand the following: • 1) (1+x)4=1+4 x+6 x 2+4 x 3+x 4 • 2) (1 -2 x)4=1+4(-2 x) + 6(-2 x)2+4(-2 x)3+(-2 x)4. • 3) (1+3 x)4 =
Three steps • 1) write coefficients : • 2) Make first term = 1 • 3) second term ascending
Binomial expansion Previously in the course we found that, when n is a positive whole number, This is a finite series with n + 1 terms. If n is negative or fractional then, provided that |x| < 1, the infinite series will converge towards (1 + x)n.
What happens is n is a fraction or negative number? • Click here to investigate
For what values of x is this expansion valid? n is positive integer This expansion is finite and all other terms will be zero after this negative fractional This expansion will be infinite. What happens if x >1? What happens if it is a fraction?
What happens when n is negative or fractional? • Use the binomial expansion to find the first four terms of • This expansion is infinite-this goes on forever and convergent when [x] < 1 or • -1<x<1. This is very important condition!
Infinite and Convergent Using our applet can you see why this series goes on forever and forever? Can you see that if x is a fraction i. e. |x| < 1 that this series converges? For this infinite series |2 x| < 1. That is when |x| < .
Binomial expansion In general, for negative and fractional n and |x| < 1, Expand up to the term in x 4. Start by writing this as (1 + x)– 1. The expansion is then: This is equal to (1 + x)– 1 provided that |x| < 1.
Binomial expansion Expand up to the term in x 3. Start by writing this as This converges towards That is when |x| < . . Here x is replaced by 2 x. provided that |2 x| < 1.
Binomial expansion When the first term in the bracket is not 1, we have to factorize it first. For example: Find the first four terms in the expansion of (3 – x)– 2.
Binomial expansion Therefore This expansion is valid for < 1. That is, when |x| < 3. In general, if we are asked to expand an expression of the form (a + bx)n where n is negative or fractional we should start by writing this as: The corresponding binomial expansion will be valid for |x| < .
A summary of the key points • Look at this summary and take notes accordingly
The condition for convergence For these expansions to be infinite and converge then [x}<1, [2 x]<1 or [3 x]<1
Binomial expansion Expand up to the term in x 2 giving the range of values for which the expansion is valid.
Binomial expansion Therefore This expansion is valid for That is, when |x| <. < 1.
Approximations In general, when the index is negative or fractional, we only have to find the first few terms in a binomial expansion. This is because, as long as x is defined within a valid range, the terms get very small as the series progresses. For example, it can be shown that: If x is equal to 0. 1 we have: By only using the first few terms in an expansion we can therefore give a reasonable approximation.
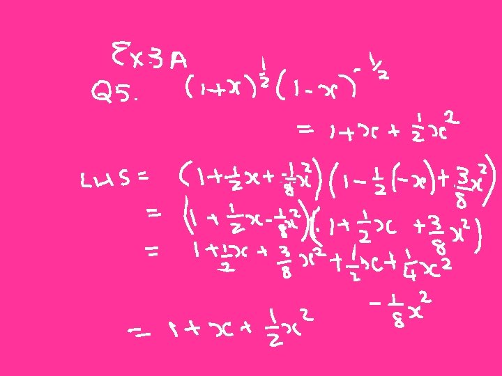
Approximations If we only expand up to the term in x it is called a linear approximation. For example: (for |x| < 1) If we expand up to the term in x 2 it is called a quadratic approximation. For example: (for |x| < 1) Binomial expansions can be used to make numerical approximations by choosing suitable values for x. Write a quadratic approximation to a rational approximation for. and use this to find
Approximations (for |x| < 4) Let x = 1:
Approximations Expand up to the term in x 2 and substitute x = obtain a rational approximation for (for |x| < 1) When x = we have: to
Approximations Therefore We can check the accuracy of this approximation using a calculator. Our approximation is therefore correct to 2 decimal places. If a greater degree of accuracy is required we can extend the expansion to include more terms.
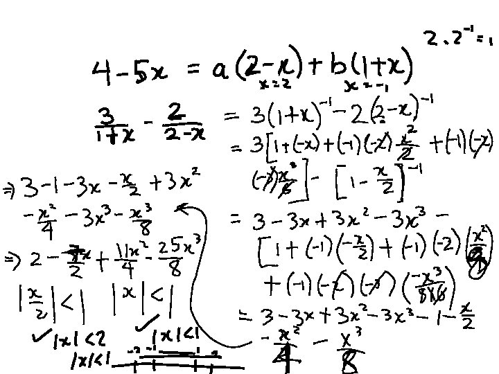
Using partial fractions We can use partial fractions to carry out more complex binomial expansions. For example, we can expand partial fractions as follows: Let Multiplying through by (x + 1)(x – 2) gives: When x = – 1: by expressing it in
Using partial fractions When x = 2: So We can now expand 2(1 + x)– 1 and 3(– 2 + x)– 1 :
Using partial fractions This is valid for |x| < 1. This expands to give: This is valid for |x| < 2.
Using partial fractions We can now add the two expansions together: This is valid when both |x| < 1 and |x| < 2. – 2 – 1 0 1 2 From the number line we can see that both inequalities hold when |x| < 1.
Problem A • Find the binomial expansions of up to and including the term in x 3 stating the range of values for which the expansions are valid.
Problem B • Find the binomial expansions of up to and including the term in x 3 stating the range of values for which the expansions are valid.
Problem C • Find the binomial expansions of up to and including the term in x 3 stating the range of values for which the expansions are valid.
Problem D • Find the binomial expansions of up to and including the term in x 3 stating the range of values for which the expansions are valid. • Hint make sure the first term is 1!!!
Problem E • Find the binomial expansions of up to and including the term in x 3 stating the range of values for which the expansions are valid. Hint make sure the first term is 1!!!
Problem A • Find the binomial expansions of up to and including the term in x 3 stating the range of values for which the expansions are valid.
Problem B • Find the binomial expansions of up to and including the term in x 3 stating the range of values for which the expansions are valid.
Problem C • Find the binomial expansions of up to and including the term in x 3 stating the range of values for which the expansions are valid.
Problem D • Find the binomial expansions of up to and including the term in x 3 stating the range of values for which the expansions are valid. • Hint make sure the first term is 1!!!
Problem E • Find the binomial expansions of up to and including the term in x 3 stating the range of values for which the expansions are valid. Hint make sure the first term is 1!!!
Let’s use our Partial Fractions knowledge! • Example 1 Express the following a partial fractions first and then expand up to the x 3 term.
Example 2 • Express as partial fractions, • hence expand the first three terms in ascending powers of x. State the set of values of x for which the expansion is valid.
Ex 3 C Q 1 Anom
- Slides: 42