Math CC 78 Dec 12 Things Needed Today

































- Slides: 33
Math CC 7/8 – Dec. 12 Things Needed Today (TNT) q. Pencil q. Unit 4 Review Packet What’s Happening? q. Unit 4 Review
Multi-Steps
1 -5(x - 2) – (x + 2) = 50 -5 x + 10 –x - 2 = 50 -6 x + 8 = 50 -8 -8 -6 -6 -6 x = 42 x = -7
2 8 – 3(k + 2) = 2 – 3 k 8 – 3 k – 6 = 2 -3 k + 2 = 2 – 3 k +3 k 2 =2 ∞ +3 k infinite solutions
3 3 w – (7 w + 12) = 2(w – 3) 3 w – 7 w – 12 = 2 w - 6 -4 w – 12 = 2 w - 6 -2 w -6 w - 12 = -6 +12 -6 w = 6 -6 -6 W = -1
4 -7(a - 3) = 11 - 7 a -7 a + 21 = 11 – 7 a +7 a 21 = 11 Ø no solution
5 9(n - 4) – 7 n = 32 – 2(n + 8) 9 n – 36 – 7 n = 32 -2 n -16 2 n – 36 = -2 n + 16 +2 n 4 n - 36 = 16 +36 4 n = 52 4 4 n = 13
6 4(4 y - 3) – (y - 5) = -52 16 y – 12 – y + 5 = -52 15 y – 7 = -52 +7 +7 15 y = -45 15 15 y = -3
Proportions
7 2 · (x + 8) = 4 · 9 2 x + 16 = 36 -16 2 x = 20 2 2 x = 10
8 6 · (a - 3) = 3 (a -6) 6 a - 18 = 3 a -18 -3 a 3 a - 18 = -18 +18 3 a = 0 3 3 a=0
9 5 · (y - 5) = 3 (y - 7) 5 y - 25 = 3 y -21 -3 y 2 y - 25 = -21 +25 2 y = 4 2 2 y=2
10 6 · (n - 7) = 2 (2 n - 5) 6 n - 42= 4 n - 10 -4 n 2 n - 42 = -10 +42 2 n = 32 2 2 n = 16
Equations
11 x+1=6 -1 -1 x=5
12 6 c – 18 = 30 +18 6 c = 48 6 6 c = 8
13 -4(2 w + 6) = -32 -8 w -24 = -32 +24 -8 w = -8 -8 -8 w=1
14 5(4 x - 4) - 9 = 31 20 x – 20 – 9 = 31 20 x – 29 = 31 +29 20 x = 60 20 20 x=3
Literal Equations
15 • Solve for t
Solve for #16 y Ax + By = C - Ax
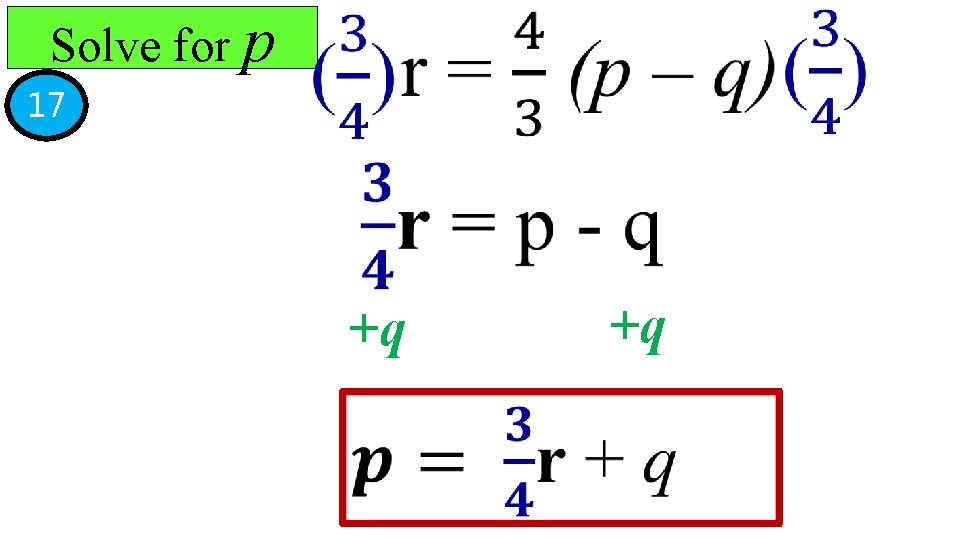
Solve for p 17 +q +q
18 Solve for n • 2 2 n = 3 m
Word Problems
19 A larger is five more than twice a smaller number. Their sum is 80. Find the numbers. Define Variable Let x = smaller # Let 2 x + 5 = Larger # x + 2 x + 5 = 80 3 x + 5 = 80 Two numbers are 25 & 55 -5 -5 3 x = 75 3 3 x = 25
As part of their government class, Maddie & Ryan had 20 to log volunteer hours in their community. Ryan volunteered for one more than three times the number of hours that Maddie did. Altogether, they volunteered in their community for 45 hours, how Define Variable many hours did Ryan volunteer? Let x = Maddie’s volunteer hours Let 3 x + 1 = Ryan’s x + 3 x + 1 = 45 4 x + 1 = 45 volunteer hours -1 -1 4 4 Ryan’s Volunteer Hours 4 x = 44 34 hours x = 11
A rectangle has a length six inches less than twice its width. If the perimeter of the rectangle is 54 inches, find the dimensions. 21 Define Variable Let x = width 2(x) Let 2 x – 6 = Length + 2(2 x -6) = 54 2 x + 4 x - 12 = 54 6 x - 12 = 54 +12 Width = 11 inches Length = 16 inches +12 6 x = 66 6 6 x = 11
22 The sum of two consecutive odd numbers is 148. Find the numbers Define Variable Let x = 1 consecutive odd # st Let x + 2 = 2 nd consecutive odd # Two consecutive odd numbers are 73 & 75 x + 2 = 148 2 x + 2 = 148 -2 -2 2 2 2 x = 146 x = 73
Fractions
23 m=3
Changed to have the same denominator 24 -1 -1 Don’t forget to reduce
25 Don’t forget to reduce
25 18 18 -69 Don’t forget to reduce