Matematika 9 ronk Jak rozlom vraz na souin

  • Slides: 25
Download presentation
Matematika 9. ročník Jak rozložím výraz na součin? Výklad a procvičení

Matematika 9. ročník Jak rozložím výraz na součin? Výklad a procvičení

Jednoduché vytýkání které číslo je „obsaženo“ v obou číslech? hledám společný dělitel! 3 =

Jednoduché vytýkání které číslo je „obsaženo“ v obou číslech? hledám společný dělitel! 3 = 2…… (……. co zbude ze šestky po vydělení dvojkou? 4…. . . ) co zbude z osmičky po vydělení dvojkou?

Jednoduché vytýkání které výraz je „obsažen“ v obou členech? 3 2 a 3. 1

Jednoduché vytýkání které výraz je „obsažen“ v obou členech? 3 2 a 3. 1 = …… (……. co zbude z a 3 po vydělení a 3 ? 4…. . . ). a co zbude ze a 4 po vydělení a 3 ?

Jednoduché vytýkání které výraz je „obsažen“ v obou členech? 3 3 2 a b

Jednoduché vytýkání které výraz je „obsažen“ v obou členech? 3 3 2 a b 3. 1. b = …… (……. co zbude ze b 4 po vydělení b 3 ? 4…. . . ). a. 1 co zbude ze b 4 po vydělení b 3 ?

Jednoduché vytýkání 3 3 2 a b 3. 1. b - 4…. . .

Jednoduché vytýkání 3 3 2 a b 3. 1. b - 4…. . . ). a. 1 = …… (……. doplníme znaménko

Jednoduché vytýkání 3 3 2 a b 3. 1. b - 4…. . .

Jednoduché vytýkání 3 3 2 a b 3. 1. b - 4…. . . ). a. 1 = …… (……. a upravíme výsledek

Jednoduché vytýkání =2 a 2 b 3. (4 -11 ab 2+7 a 3 b)

Jednoduché vytýkání =2 a 2 b 3. (4 -11 ab 2+7 a 3 b)

a) 7 y 2 k 3 -3 yk+6 y 3 kc 3 = =

a) 7 y 2 k 3 -3 yk+6 y 3 kc 3 = = yk(7 yk 2 -3+6 y 2 c 3) b) 3 2 3 -21 v w +12 w p = = 3 w 2(-7 v 3+4 wp) c) 12 z 2 d 3 b-24 z-18 d 2 b = = 6(2 z 2 d 3 b-4 z-3 d 2 b)

Vytýkání závorek vidím nějaké závorky se stejným obsahem? 6(4 a-5)+5 g(4 a-5)= =(4 a-5).

Vytýkání závorek vidím nějaké závorky se stejným obsahem? 6(4 a-5)+5 g(4 a-5)= =(4 a-5). ( 6 + 5 g ) co zbude z prvního členu? co zbude z druhého členu?

Vytýkání závorek vidím nějaké závorky se stejným obsahem? 2 a(3 d+7)+3 d+7 = =(3

Vytýkání závorek vidím nějaké závorky se stejným obsahem? 2 a(3 d+7)+3 d+7 = =(3 d+7). (2 a + 1 ) co zbude z prvního členu? co zbude z druhého členu?

Vytýkání závorek vidím nějaké závorky se stejným obsahem? vidím nějaké závorky s podobným obsahem?

Vytýkání závorek vidím nějaké závorky se stejným obsahem? vidím nějaké závorky s podobným obsahem? z druhé závorky vytknu číslo -1 8(6 a-5)+7 s(5 -6 a) = =8(6 a-5) +7 s. (-1). (-5+6 a ) = =(6 a-5). ( 8 - 7 s)

7 a(2 x-3)+3 -2 x = = 7 a(2 x-3)+(3 -2 x) = =

7 a(2 x-3)+3 -2 x = = 7 a(2 x-3)+(3 -2 x) = = 7 a(2 x-3)+(-1). (-3 + 2 x )= =(2 x-3). ( 7 a - 1)

a) -6 n 2 x 2 k 2 -24 n 2 xk+27 n 2

a) -6 n 2 x 2 k 2 -24 n 2 xk+27 n 2 x 2 = = 3 n 2 x(-2 xk 2 -8 k+9 x) b) -8 b(-p+10 f)-j(-p+10 f) = = (-p+10 f)(-8 b-j) c) -9 j(4 -5 f)-2 r(-4+5 f) = = -9 j(4 -5 f)-2 r. (-1). (4 -5 f) = = (4 -5 f)(-9 j+2 r)

d) -6 g-4 m+4 f(-6 g-4 m) = =(-6 g-4 m)(1+4 f)= =2(-3 g-2

d) -6 g-4 m+4 f(-6 g-4 m) = =(-6 g-4 m)(1+4 f)= =2(-3 g-2 m)(1+4 f) e) -q(2 c+2 g)-2 c-2 g = = -q(2 c+2 g)+(-1)(2 c+2 g) = = (2 c+2 g)(-q-1)= 2(c+g)(-q-1) f) -14 ack 2 -14 c = = 14 c(-ak 2 -1)

Vytýkání „po dvou“ - 6 jv - 6 sv - 24 jm - 24

Vytýkání „po dvou“ - 6 jv - 6 sv - 24 jm - 24 sm = = - 6 v. (j + s) - 24 m( j + s) = = (j + s). ( -6 v -24 m ) = = 6(j + s)(- v - 4 m)

Vytýkání „po dvou“ - 18 nm - 6 nt - 10 kt - 30

Vytýkání „po dvou“ - 18 nm - 6 nt - 10 kt - 30 km = = - 6 n(3 m + t) - 10 k( 3 m + t ) = = (3 m + t)( -6 n -10 k ) = = 2(3 m + t)(- 3 n – 5 k)

Vytýkání „po dvou“ -27 ge - 21 gh + 18 re + 14 rh

Vytýkání „po dvou“ -27 ge - 21 gh + 18 re + 14 rh = = 9 e(-3 g + 2 r) + 7 h(-3 g + 2 r) = = (-3 g + 2 r)(9 e + 7 h)

Vytýkání „po dvou“ - 40 bh - 60 bk + 54 tk + 36

Vytýkání „po dvou“ - 40 bh - 60 bk + 54 tk + 36 th = = -20 b(2 h + 3 k) + 18 t(3 k + 2 h) = = (2 h + 3 k)(-20 b + 18 t) = = 2(2 h + 3 k)(-10 b + 9 t)

e) 10 ph+50 pn-12 wh-60 wn = = 2(6 w-5 p)(-h-5 n) f) -8

e) 10 ph+50 pn-12 wh-60 wn = = 2(6 w-5 p)(-h-5 n) f) -8 us-8 uw+64 vs = = 8(-u+8 v)(w+s) g) 72 mf+45 mj-48 qf-30 qj = = 3(-3 m+2 q)(-5 j-8 f)

Použití vzorců -192 d 2 + 3 v 2 = jde něco vytknout? =

Použití vzorců -192 d 2 + 3 v 2 = jde něco vytknout? = -3. ( 64 d 2 - v 2 )= je to nějaký vzorec? a 2 - b 2=(a+b)(a-b) = -3. ( 8 d + v ). ( 8 d - v )

-108 c 2 - 147 h 2 - 252 ch = jde něco vytknout?

-108 c 2 - 147 h 2 - 252 ch = jde něco vytknout? = -3. ( 36 c 2 + 49 h 2 + 84 ch ) = je to nějaký vzorec? = -3. (36 c 2 + 84 ch + 49 h 2) = je to nějaký vzorec? a 2+2 ab+b 2=(a+b)2 = -3. ( 6 c + 7 h)2

-300 h 2 + 27 x 2 = jde něco vytknout? = -3. (100

-300 h 2 + 27 x 2 = jde něco vytknout? = -3. (100 h 2 - 9 x 2 )= je to nějaký vzorec? a 2 - b 2=(a+b)(a-b) = -3. (10 h + 3 x). ( 10 h -3 x)

- 600 m 2 - 486 t 2 - 1080 tm = jde něco

- 600 m 2 - 486 t 2 - 1080 tm = jde něco vytknout? = -6. (100 m 2 + 81 t 2 + 180 tm) = je to nějaký vzorec? = -6. (100 m 2 + 180 tm + 81 t 2) = je to nějaký vzorec? a 2+2 ab+b 2=(a+b)2 = -6. ( 10 m + 9 t)2

e) -27 m 2+108 n 2 = -27(m 2 - 4 n 2) =

e) -27 m 2+108 n 2 = -27(m 2 - 4 n 2) = = -27(m + 2 n)(m - 2 n) f) 80 xy+100 x 2+16 y 2 2 + 4 y 2) = 4. (20 xy + 25 x = = 4(5 x + 2 y)2 g) -405 a 2+80 w 2 = -5(81 a 2 - 16 w 2) = = -5(9 a + 4 w)(9 a – 4 w)

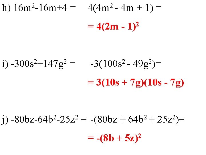
h) 16 m 2 -16 m+4 = 4(4 m 2 - 4 m +

h) 16 m 2 -16 m+4 = 4(4 m 2 - 4 m + 1) = = 4(2 m - 1)2 i) -300 s 2+147 g 2 = -3(100 s 2 - 49 g 2)= = 3(10 s + 7 g)(10 s - 7 g) j) -80 bz-64 b 2 -25 z 2 = -(80 bz + 64 b 2 + 25 z 2)= = -(8 b + 5 z)2