Margins on Bode plot Margins on Nyquist plot
Margins on Bode plot
Margins on Nyquist plot Suppose: • Draw Nyquist plot G(jω) & unit circle • They intersect at point A • Nyquist plot cross neg. real axis at –k
Relative stability from margins • One of the most widely used methods in determine “how stable the system is” • Margins on based on open-loop transfer function’s frequency response • Basic rule: – PM>0 and GM>0: closed-loop system stable – PM + Mp 70 – As PM or GM 0: oscillates more – PM=0 and GM=0: sustained oscillation – PM<0: unstable
• If no wgc, gain never crosses 0 d. B or 1: – Gain > 1: Closed loop system is unstable. – Gain < 1: Closed loop system is stable G(s) unstable
• If no wgc, gain never crosses 0 d. B or 1: – Gain > 1: Closed loop system is unstable. – Gain < 1: Closed loop system is stable G(s)
Relative stability from margins • If there is one wgc and multiple wpc’s all > wgc – PM>0, all GM>0, and closed-loop system is stable • If there is one wgc but > one wpc’s – Closed-loop system is stable if margins >0 – PM and GM reduce simultaneously – PM and GM becomes 0 simultaneously, at which case the closed loop system will have sustained oscillation at wgc=wpc
Relative stability from margins • If there is one wgc, and multiple wpc’s • And if system is minimum phase (all zeros in left half plane) • And if gain plot is generally decreasing – PM>0, all GM>0: closed-loop system is stable – PM>0, and at wpc right to wgc GM>0: closedloop system is stable – PM<0, and at wpc right to wgc GM<0: closedloop system is unstable
• ans = 1. 0 e+002 * -1. 7071 -0. 2928 -0. 0168 -0. 0017 + 0. 0083 i -0. 0017 - 0. 0083 i All poles negative (in left half plane) Closed loop system is stable
Relative stability from margins • If there is one wgc, and multiple wpc’s • And if system is minimum phase (all zeros in left half plane) • And if gain plot is generally decreasing – PM>0, all GM>0: closed-loop system is stable – PM>0, and at wpc right to wgc GM>0: closedloop system is stable – PM<0, and at wpc right to wgc GM<0: closedloop system is unstable
• ans = 1. 0 e+002 * -1. 7435 -0. 0247 + 0. 1925 i -0. 0247 - 0. 1925 i -0. 1748 -0. 0522 Closed loop system poles are all negative System is stable
Relative stability from margins • If there is one wgc, and multiple wpc’s • And if system is minimum phase (all zeros in left half plane) • And if gain plot is generally decreasing – PM>0, all GM>0: closed-loop system is stable – PM>0, and at wpc right to wgc GM>0: closedloop system is stable – PM<0, and at wpc right to wgc GM<0: closedloop system is unstable
• ans = 1. 0 e+002 * -1. 7082 -0. 2888 -0. 0310 0. 0040 + 0. 0341 i 0. 0040 - 0. 0341 i Two right half plane poles, unstable
Conditionally stable systems • Closed-loop stability depends on the overall gain of the system • For some gains, the system becomes unstable • Be very careful in designing such systems • Type 2, or sometimes even type 1, systems with lag control can lead to such • Need to make sure for highest gains and lowest gains, the system is stable
Relative stability from margins • If there are multiple wgc’s – Gain plot cannot be generally decreasing – There may be 0, or 1 or multiple wpc’s – If all PM>0: closed-loop system is stable – If one PM<0: closed-loop system is unstable
poles = -25. 3788 -4. 4559 -0. 2653 stable
Relative stability from margins • If there are multiple wgc’s – Gain plot cannot be generally decreasing – There may be 0, or 1 or multiple wpc’s – If all PM>0: closed-loop system is stable – If one PM<0: closed-loop system is unstable
poles = 4. 7095 +11. 5300 i 4. 7095 -11. 5300 i -1. 1956 -0. 3235 Unstable
poles = 4. 8503 + 7. 1833 i 4. 8503 - 7. 1833 i 0. 3993 -0. 1000 Unstable
Poles = 28. 9627 -4. 4026 + 4. 5640 i -4. 4026 - 4. 5640 i -0. 2576 Unstable
Limitations of margins • Margins can be come very complicated • For complicated situations, sign of margins is no longer a reliable indicator of stability • In these cases, compute closed loop poles to determine stability • If transfer function is not available, use Nyquist plot to determine stability
Stability from Nyquist plot The complete Nyquist plot: – Plot G(jω) for ω = 0+ to +∞ – Get complex conjugate of plot, that’s G(jω) for ω = 0– to –∞ – If G(s) has pole on jω-axis, treat separately – Mark direction of ω increasing – Locate point: – 1
Encirclement of the -1 point • As you follow along the G(jω) curve for one complete cycle, you may “encircle” the – 1 point • Going around in clock wise direction once is +1 encirclement • Counter clock wise direction once is – 1 encirclement
Nyquist Criterion Theorem # (unstable poles of closed-loop) Z = # (unstable poles of open-loop) + # encirclement or: Z = P + N To have closed-loop stable: need Z = 0, i. e. N = –P P N
That is: G(jω) needs to encircle the “– 1” point counter clock wise P times. If open loop is stable to begin with, G(jω) cannot encircle the “– 1” point for closed -loop stability In previous example: 1. No encirclement, N = 0. 2. Open-loop stable, P = 0 3. Z = P + N = 0, no unstable poles in closed-loop, stable
Example:
As you move around from ω = –∞ to 0–, to 0+, to +∞, you go around “– 1” c. c. w. once. # encirclement N = – 1. # unstable pole P = 1
i. e. # unstable poles of closed-loop = 0 closed-loop system is stable. Check: c. l. pole at s = – 3, stable.
Example: 1. Get G(jω) for ω = 0+ to +∞ 2. Use conjugate to get G(jω) for ω = –∞ to 0– 3. How to go from ω = 0– to ω = 0+? At ω ≈ 0 :
# encirclement N = _____ # open-loop unstable poles P = _____ Z = P + N = ____ = # closed-loop unstable poles. closed-loop stability: _______
Example: Given: 1. G(s) is stable 2. With K = 1, performed open-loop sinusoidal tests, and G(jω) is on next page Q: 1. Find stability margins 2. Find Nyquist criterion to determine closed-loop stability
Solution: 1. Where does G(jω) cross the unit circle? ____ Phase margin ≈ ____ Where does G(jω) cross the negative real axis? ____ Gain margin ≈ ____ Is closed-loop system stable with K = 1? ____
Note that the total loop T. F. is KG(s). If K is not = 1, Nyquist plot of KG(s) is a scaling of G(jω). e. g. If K = 2, scale G(jω) by a factor of 2 in all directions. Q: How much can K increase before GM becomes lost? ____ How much can K decrease? ______
Some people say the gain margin is 0 to 5 in this example Q: As K is increased from 1 to 5, GM is lost, what happens to PM? What’s the max PM as K is reduced to 0 and GM becomes ∞?
2. To use Nyquist criterion, need complete Nyquist plot. a) Get complex conjugate b) Connect ω = 0– to ω = 0+ through an infinite circle c) Count # encirclement N d) Apply: Z = P + N o. l. stable, P = _______ Z = _______ c. l. stability: _______
Incorrect Correct
Example: G(s) stable, P = 0 G(jω) for ω > 0 as given. 1. Get G(jω) for ω < 0 by conjugate 2. Connect ω = 0– to ω = 0+. But how?
Choice a) : Incorrect Where’s “– 1” ? # encirclement N = _______ Z = P + N = _______ Make sense? _______
Choice b) : Where is “– 1” ? # encir. N = _____ Z=P+N = _______ closed-loop stability _______ Correct
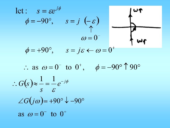
Note: If G(jω) is along –Re axis to ∞ as ω→ 0+, it means G(s) has in it. when s makes a half circle near ω = 0, G(s) makes a full circle near ∞. choice a) is impossible, but choice b) is possible.
Incorrect
Example: G(s) stable, 1. Get conjugate for ω < 0 2. Connect ω = 0– to ω = 0+. Needs to go one full circle with radius ∞. Two choices. P=0
Choice a) : N=0 Z=P+N=0 closed-loop stable Incorrect!
Choice b) : N=2 Z=P+N =2 Closed loop has two unstable poles Correct!
Which way is correct? For stable & non-minimum phase systems,
Example: G(s) has one unstable pole P = 1, no unstable zeros 1. Get conjugate 2. Connect ω = 0– to ω = 0+. How? One unstable pole/zero If connect in c. c. w.
# encirclement N = ? If “– 1” is to the left of A i. e. A > – 1 then N = 0 Z=P+N=1+0=1 but if a gain is increased, “– 1” could be inside, N = – 2 Z = P + N = – 1 c. c. w. is impossible
If connect c. w. : For A > – 1 N = ______ Z=P+N = ______ For A < – 1 N = ______ Z = ______ No contradiction. This is the correct way.
Example: G(s) stable, minimum phase P=0 G(jω) as given: get conjugate. Connect ω = 0– to ω = 0+,
If A < – 1 < 0 : N = ______ Z = P + N = ______ stability of c. l. : ______ If B < – 1 < A : A=-0. 2, B=-4, C=-20 N = ______ Z = P + N = ______ closed-loop stability: ______ Gain margin: gain can be varied between (-1)/(-0. 2) and (-1)/(-4), or can be less than (-1)/(-20)
If C < – 1 < B : N = ______ Z = P + N = ______ closed-loop stability: ______ If – 1 < C : N = ______ Z = P + N = ______ closed-loop stability: ______
- Slides: 60