Manifold Bayesian Sequential Partitioning and Manifold Contraction Correction
Manifold Bayesian Sequential Partitioning and Manifold Contraction Correction Shortest Distance Merging Student: Po-Hsu Shih Advisor: Sheng-Jyh Wang 1
Outline • • • Introduction Background Manifold Bayesian Sequential Partitioning Manifold Contraction Correction Shortest Distance Merging Discussion Conclusion & Future Works 2
Introduction • Complicated Feature, High Dimension • Data (exponential growth) • The curse of dimensionality • Appearance • Dimensionality Reduction • Manifold Learning • Visualization • Low dimensional manifold embedded in the high dimensional space Ref : The Manifold Ways of Perception 中央研究院週報 (第 1058期) 流行學習與人臉辨識 3
Introduction • Manifold Learning Methods • • • Isometric Feature Mapping (Isomap) Locally Linear Embedding (LLE) Maximum Variance Unfolding (MVU) Laplacian Eigenmap …… Ref : Advanced Introduction to Machine Learning , CMU-10715 Modern Multidimensional Scaling: Theory and Applications A Global Geometric Framework for Nonlinear Dimensionality Reduction by Locally Linear Embedding Unsupervised learning of image manifolds by semidefinite programming Laplacian eigenmaps for dimensionality reduction and data representation 4
Introduction • Ref : Modern Multidimensional Scaling: Theory and Applications 古典多維標度法 (MDS) , 線代啟示錄 Advanced Introduction to Machine Learning , CMU-10715 A Global Geometric Framework for Nonlinear Dimensionality Reduction
Outline • • • Introduction Background Manifold Bayesian Sequential Partitioning Manifold Contraction Correction Shortest Distance Merging Discussion Conclusion & Future Works 6
Background • • Segmentation a sequel of optimization pixel-based + grid-based region-based hierarchical Segmentation number • Iterative Contraction and Merging (ICM) 40 30 20 MNCut GBIS Mshift ICM 7 Ref : Hierarchical Image Segmentation based on Iterative Contraction and Merging
Background • Affinity regularization window number color mean covariance identity • Energy Function • Optimal Solution 8 Ref : Hierarchical Image Segmentation based on Iterative Contraction and Merging
Background • region data probability parameter multinomial Dirichlet Beta volume 9 Ref : Multivariate Density Estimation by Bayesian Sequential Partitioning
Background • cut path 10 Ref : Multivariate Density Estimation by Bayesian Sequential Partitioning
Background • Ref : Unsupervised Hierarchical Image Segmentation based on Bayesian Sequential Partitioning 11
Background • precision mean parameters Noticeable Difference Unnoticeable Difference variance region channel number Lab color Ref : Unsupervised Hierarchical Image Segmentation based on Bayesian Sequential Partitioning 12
Outline • • • Introduction Background Manifold Bayesian Sequential Partitioning Manifold Contraction Correction Shortest Distance Merging Discussion Conclusion & Future Works 13
Manifold Bayesian Sequential Partitioning • Ref : Gaussian Conjugate Prior Cheat Sheet (Tom SF Haines) Bayesian Data Analysis (Gelman, Carlin, Stern and Rubin) 14
Manifold Bayesian Sequential Partitioning Score Function Ref : Gaussian Conjugate Prior Cheat Sheet (Tom SF Haines) Bayesian Data Analysis (Gelman, Carlin, Stern and Rubin) 15
Manifold Bayesian Sequential Partitioning Segmentation = 30 , N = 1000 Segmentation = 70 , N = 999 • Experiment 1 • Circles Log Posterior
Manifold Bayesian Sequential Partitioning Segmentation = 40 , N = 1000 Segmentation = 20 , N = 1000 Segmentation = 70 , N = 1000 • Experiment 2 • Swiss rolls Log Posterior 17
Manifold Bayesian Sequential Partitioning Experiment 3 Segmentation = 2 Segmentation = 3 Segmentation = 4 Segmentation = 1 , N = 1000 Log Posterior Log Posterior Group Score = 2. 664 Group Score = 0. 010851 Group Score = 1. 6708 Group Score = 2. 7852 Group Score = 0. 5564 18
Manifold Bayesian Sequential Partitioning • Experiment 4 Segmentation = 40 , N = 1000 Segmentation = 8 , N = 1000 Partial Enlarged Picture • Outliers Log Posterior 19
Outline • • • Introduction Background Manifold Bayesian Sequential Partitioning Manifold Contraction Correction Shortest Distance Merging Discussion Conclusion & Future Works 20
Manifold Contraction Correction Shortest Distance Merging • Shortest Distance Merging Cluster = 4 Cluster = 3 Cluster = 2 Segmentation = 5 , N = 1000 Log Posterior Algorithm: 1. Region Distance Matrix (5 x 5) 2. Shortest Distance Merging 3. Region Distance Matrix (4 x 4) 4. …… 21
Manifold Contraction Correction Shortest Distance Merging • Shortest Distance Merging Segmentation = 40 , N = 1000 Log Posterior Cluster = 2 22
Manifold Contraction Correction Shortest Distance Merging • 23
Manifold Contraction Correction Shortest Distance Merging Segmentation = 8 , N = 1000 Log Posterior • Experiment 1 Cluster = 2 24
Manifold Contraction Correction Shortest Distance Merging Segmentation = 40 , N = 1000 Log Posterior Partial Enlarged Picture • Experiment 2 Cluster = 2 25
Manifold Contraction Correction Shortest Distance Merging • Experiment 3 26
Manifold Contraction Correction Shortest Distance Merging • Experiment 3 27
Manifold Contraction Correction Shortest Distance Merging • Experiment 4 28
29
Outline • • • Introduction Background Manifold Bayesian Sequential Partitioning Manifold Contraction Correction Shortest Distance Merging Discussion Conclusion & Future Works 30
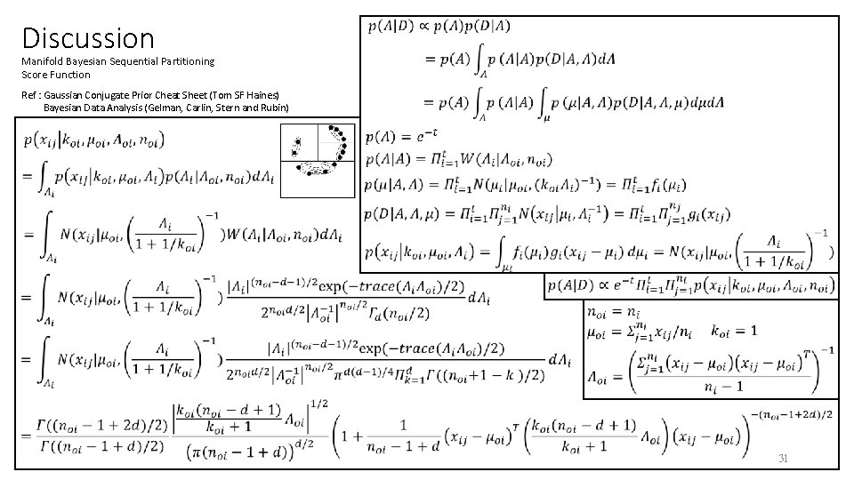
Discussion Manifold Bayesian Sequential Partitioning Score Function Ref : Gaussian Conjugate Prior Cheat Sheet (Tom SF Haines) Bayesian Data Analysis (Gelman, Carlin, Stern and Rubin) 31
Segmentation = 70 , N = 1000 Log Posterior Group Score 32
Discussion Segmentation = 70 , N = 1000 Noise Log Posterior Noise = 0. 2 Noise = 1. 8 Noise = 0. 6 Noise = 1. 4 Noise = 2. 2 33
Outline • • • Introduction Background Manifold Bayesian Sequential Partitioning Manifold Contraction Correction Shortest Distance Merging Discussion Conclusion & Future Works 34
Conclusion • Manifold Bayesian Sequential Partitioning • can separate different manifolds in data space ∵ enough cuts • outliers appear ∵ not enough cuts & noise • Manifold Contraction Correction Shortest Distance Merging • can remerge outliers ∵ MBSP manifolds roughly provides different • hard to decide distance limit ∵ without visual observation 35
Future Works • • More examples 3 -dimensional data Real Sequential images ( high-dimensional data ) Speed up 36
Reference • The Manifold Ways of Perception • 中央研究院週報 (第 1058期) 流行學習與人臉辨識 • Advanced Introduction to Machine Learning , CMU-10715 • Modern Multidimensional Scaling: Theory and Applications • A Global Geometric Framework for Nonlinear Dimensionality Reduction • Nonlinear Dimensionality Reduction by Locally Linear Embedding • Unsupervised learning of image manifolds by semidefinite programming • Laplacian eigenmaps for dimensionality reduction and data representation • Modern Multidimensional Scaling: Theory and Applications • 古典多維標度法 (MDS) , 線代啟示錄 • Hierarchical Image Segmentation based on Iterative Contraction and Merging • Multivariate Density Estimation by Bayesian Sequential Partitioning • Unsupervised Hierarchical Image Segmentation based on Bayesian Sequential Partitioning 37
38
- Slides: 38