M HNH HI QUY TUYN TNH 1 M

  • Slides: 29
Download presentation
MÔ HÌNH HỒI QUY TUYẾN TÍNH 1. MÔ HÌNH HỒI QUY TUYẾN TÍNH ĐƠN

MÔ HÌNH HỒI QUY TUYẾN TÍNH 1. MÔ HÌNH HỒI QUY TUYẾN TÍNH ĐƠN 2. MÔ HÌNH HỒI QUY TUYẾN TÍNH BỘI

§ 1. MÔ HÌNH HỒI QUY TUYẾN TÍNH ĐƠN • 1. Vấn đề mô

§ 1. MÔ HÌNH HỒI QUY TUYẾN TÍNH ĐƠN • 1. Vấn đề mô hình hồi quy • 2. Ước lượng hệ số hồi quy • 3. Tính chất của ước lượng của các hệ số hồi quy • 4. Kiểm định giả thuyết • 5. Khoảng tin cậy • 6. Tính phù hợp của mô hình • 7. Tuyến tính hóa một số mô hình

§ 1. MH HÒI QUY TUYẾN TÍNH ĐƠN 1. 1. Vấn đề mô hình

§ 1. MH HÒI QUY TUYẾN TÍNH ĐƠN 1. 1. Vấn đề mô hình hồi quy a: Hệ số chặn, b: Hệ số góc MH tuyến tính

Dạng quan sát

Dạng quan sát

2. Ước lượng hệ số hồi quy • Tổng bình phương các độ lệch

2. Ước lượng hệ số hồi quy • Tổng bình phương các độ lệch • Trong đó • Thể hiện chất lượng của xấp xỉ

 • Điều kiện cần của cực tiểu Phương trình hồi quy thực nghiệm

• Điều kiện cần của cực tiểu Phương trình hồi quy thực nghiệm

3. Tính chất của ước lượng của các hệ số hồi quy • đường

3. Tính chất của ước lượng của các hệ số hồi quy • đường hồi quy qua “trung tâm” số liệu. • Giả thiết:

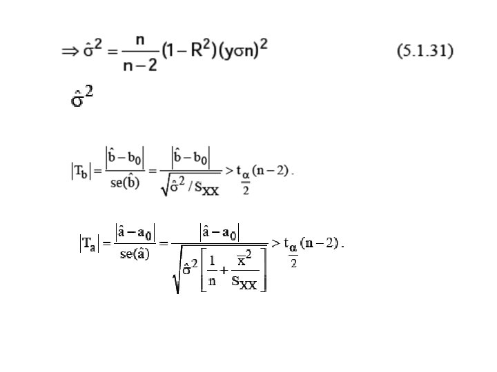
4. Kiểm định giả thuyết • a) Sử dụng kiểm định T Đặc biệt

4. Kiểm định giả thuyết • a) Sử dụng kiểm định T Đặc biệt Nếu H 0 không bị bác bỏ: . . . , Mô hình không có ý nghĩa, . . . , Xây dựng lại!

4. Kiểm định giả thuyết a) Sử dụng kiểm định T b. Phân tích

4. Kiểm định giả thuyết a) Sử dụng kiểm định T b. Phân tích phương sai Bác bỏ GT b=0: Chấp nhận MH

 • P giá trị lớn: Chấp nhận H 0, tìm MH khác

• P giá trị lớn: Chấp nhận H 0, tìm MH khác

1. 4. Kiểm định GT 1. 5. Khoảng tin cậy a) Khoảng tin cậy

1. 4. Kiểm định GT 1. 5. Khoảng tin cậy a) Khoảng tin cậy của các tham số • Hệ số chặn a: • Hệ số góc b:

1. 4. Kiểm định GT 1. 5. Khoảng tin cậy b) Khoản tin cậy

1. 4. Kiểm định GT 1. 5. Khoảng tin cậy b) Khoản tin cậy cho đáp ứng trung bình

1. 4. Kiểm định GT 1. 5. Khoảng tin cậy c) Dự đoán quan

1. 4. Kiểm định GT 1. 5. Khoảng tin cậy c) Dự đoán quan sát tương lai = Đáp ứng trung bình khi x = xo :

 • • 1. 4. Kiểm định GT 1. 5. Khoảng tin cậy

• • 1. 4. Kiểm định GT 1. 5. Khoảng tin cậy

1. 4. Kiểm định GT 1. 5. Khoảng tin cậy d) Lưu ý khi

1. 4. Kiểm định GT 1. 5. Khoảng tin cậy d) Lưu ý khi sử dụng MHHQ • Trường hợp nội suy • Trường hợp ngoại suy

1. 4. Kiểm định GT 1. 6. Tính phù hợp của mô hình 1.

1. 4. Kiểm định GT 1. 6. Tính phù hợp của mô hình 1. 5. Khoảng tin cậy • a) Phân tích phần dư • Phần dư chuẩn hóa Yêu cầu: * 95% các phần dư chuẩn hóa rơi vào khoảng (-2; 2) *Có dạng bình thường, tập trung “đều đặn” trong dải ( -2; 2) quanh trục hoành như dạng (a)

b) Hệ số xác định (coefficient of determination) • Định nghĩa, tính chất, cách

b) Hệ số xác định (coefficient of determination) • Định nghĩa, tính chất, cách tính

 • Phương trình hồi quy thực nghiệm • Y = 5. 115+ 2.

• Phương trình hồi quy thực nghiệm • Y = 5. 115+ 2. 9027 x

Phân tích phương sai

Phân tích phương sai

Tuyến tính hóa một số mô hình

Tuyến tính hóa một số mô hình

Sử dụng máy tính bỏ túi

Sử dụng máy tính bỏ túi