LowCharge Linac Operating Point Including Recent FEL Simulations
















- Slides: 16
Low-Charge Linac Operating Point Including Recent FEL Simulations P. Emma, W. Fawley, Z. Huang, C. Limborg, S. Reiche, J. Wu, M. Zolotorev SLAC/LBL/UCLA LCLS week, January 26, 2005
Present LCLS Design Problems Gun emittance: 1 -mm at 1 n. C, 100 A Resistive wake in undulator LSC/CSR micro-bunching Tight RF jitter tolerances Transverse wakes in L 2 CSR De in BC 2 too much charge AC resistive-wall wakefield
wakefieldinduced cubic chirp in L 2 -linac pre-BC 2 Nominal 1 -n. C case post-BC 2 cubic chirp produces current horns after BC 2 1 -n. C, 20 -mm rms bunch length is 6 k. A for a Gaussian in FEL much of charge wasted with only 3. 0 k. A in core
Low Charge Optimization Motivation: Less charge less wake Same compression factor ~same jitter Low gun current low emittance Chosen Scaling: Charge: 1 n. C 0. 2 n. C Gun Current: 100 30 A (10 ps 6. 5 ps) Slice emittance: 1 mm 0. 8 mm Final current: 3 k. A 2 k. A (same Lsat)
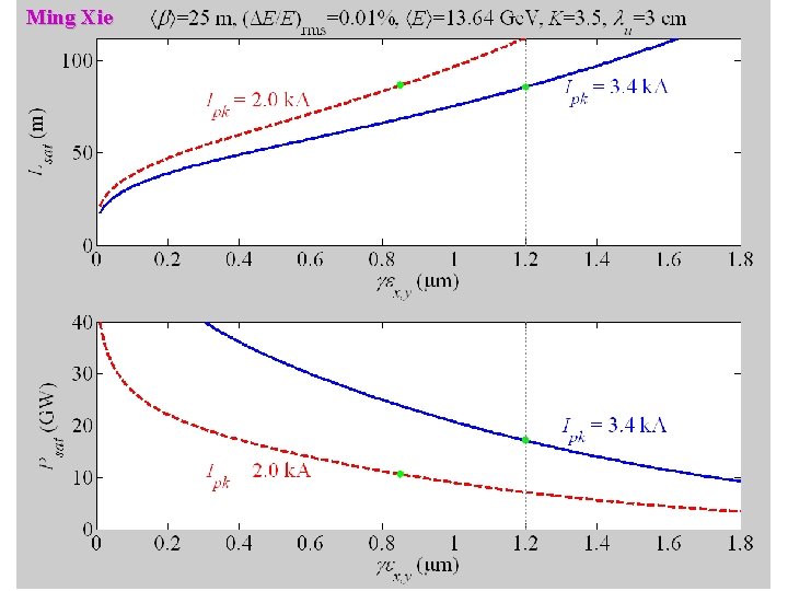
Ming Xie
200 -p. C optimized Parmela output from Cecile at end of L 0 -a section (64 Me. V) gethermal = 1 mm/mm spot radius = 0. 42 mm laser pulse = 6. 5 ps gethermal = 1 mm/mm Thermal emittance: 1 mm per mm radius 200 k in lcls_200 k_02 nc_atendl 01. dat C. Limborg, Oct. 19, 2004
200 p. C less cubic chirp pre-BC 2 post-BC 2 spikes reduced 2 k. A in FEL
Much less CSR projected x-emittance growth gex 4 mm 1. 0 n. C gey BC 2 0. 2 n. C BC 2 gex gey gex 1 mm
Linac Alignment Effects Eased 300 mm rms RF-structure & 200 mm rms quad/BPM misalignments, plus steering over 10 seeds 1. 0 n. C 0. 2 n. C Transverse wakes & dispersion errors vanish at 0. 2 n. C
LSC/CSR Micro-bunching Gain nominal 1 n. C, = 1£ 10 -4, Ipk = 3. 4 k. A (final current) 200 p. C, = 1£ 10 -4, Ipk = 2 k. A, 3 k. A, & 5 k. A, adjusted with L 2 chirp and laser heater power gain reduced!
Compress still further, until back up to a 12% peak-current jitter L 2 D-phase = -1. 6 deg 3 k. A: Saturate at 87 m with ge 1. 15 mm ( b = 25 m) 200 p. C 3 k. A (RW-wake and m-bunching OK)
Cylindrical-Copper Resistive-Wall Wakes in FEL Undulator 0. 2 n. C uses K. Bane damped resonator model for AC wake 1 n. C
200 -p. C FEL Simulations – Cu pipe • Data is smoothed from raw ~12 -as resolution to ~1 -fs resolution • Curve represent output power at z=130 m • For 300 -k. V ext. field + Cu wake case, agreement between the codes is good in overall temporal dependence with GINGER showing ~1. 5 X greater power than GENESIS • Compared to 1 -n. C case, lasing occurs over full 200 -p. C pulse
GINGER Results for 200 -p. C Pulse Energy vs. Z ~1012 output x-ray photons • • Uncompensated 200 -p. C Cu & Al wake lower power ~8 -10 X Gain length increased ~15% but sat. point unaffected External field of ~150 k. V/m makes up for wake Increasing ext. field to +300 k. V/m nearly doubles power over no wake case – agreeing with Huang and Stupakov prediction
Advantages for LCLS at Low Charge Drive-laser energy 1/5 Laser-heater power 1/4 BC 2 CSR De 1/5 Linac quad/BPM align. tol. ’s 2 L 2 transverse wake De 1/16 BC dipole field quality 1/2 Peak current jitter 1/2 (…or X-band phase tol. 3) Final timing jitter 95 fs (was 120 fs) X-ray pulse 85 fs (was 210 fs) No undulator RW-wake (Cu, AC, cyl. ) FEL power ~20 GW & ~1012 photons Undulator radiation damage reduced? Dump power 1/5 (to 330 W, was 1700 W) Less loading eases multi-bunch operation 1 -n. C operation still fully supported option
Conclusions The 200 -p. C configuration is the preferred LCLS operating point (300 p. C is OK too)! 1 -n. C is an alternate configuration with possibly somewhat more photons, but is more challenging on all fronts Diagnostics should emphasize 200 -p. C