LOS LPIDOS CARACTESTICAS DE LOS LPIDOS MOLCULAS ORGNICAS
















































































































































































- Slides: 176
LOS LÍPIDOS.
CARACTEÍSTICAS DE LOS LÍPIDOS. • MOLÉCULAS ORGÁNICAS. • GRUPO HETEROGÉNEO. • FORMADAS POR CARBONO E HIDRÓGENO, TAMBIEN PRESENTAN OXÍGENO.
• NO SON SOLUBLES EN AGUA NI EN DISOLVENTES POLARES. • SON SOLUBLES EN DISOLVENTES ORGÁNICOS COMO EL BENCENO, EL ETER O LA ACETONA. • PRESENTAN UN ASPECTO GRASO, POSEEN UN BRILLO CARACTERÍSTICO Y SON UNTUOSOS AL TACTO.
• FORMADOS POR C, H y O, ALGUNOS TAMBIEN TIENEN P , S. • POSEE N SOBRE TODO ENLACES C-C Y C-H, ESTOS ENLACES NO SON POLARES Y NO EXISTEN INTERACCIÓN CON LAS MOLÉCULAS DE AGUA POR LO QUE NO SON SOLUBLES EN AGUA.
FUNCIONES DE LOS LÍPIDOS • ENERGÉTICOS. • ESTRUCTURALES, SON COMPONENTES DE TODAS LAS MEMBRANAS CELULARES • FORMAN ALGUNAS VITAMINAS Y HORMONAS, REGULAN EL METABOLISMO. • PARTICIPAN EN PROCESOS INMUNITARIOS, FISIOLÓGICOS.
CLASIFICACIÓN. • ACIDOS GRASOS SATURADOS • INSATURADOS – LÍPIDOS CON ACIDOS GRASOS O SAPONIFICABLES • SIMPLES – ACILGLICÉRIDOS – CÉRIDOS • COMPLEJOS • FOSFOGLICERIDOS. • FOSFOESFINGOLÍPIDOS • GLUCOESFINGOLÍPIDOS • – LÍPIDOS INSAPONIFICABLES • TERPENOS • ESTEROIDES • PROSTAGLANDINAS
LOS ÁCIDOS GRASOS. • SON ÁCIDOS CARBOXÍLICOS FORMADOS POR LARGAS CADENAS CARBONADAS (A PARTIR DE 12 CARBONO), CON UN NÚMERO PAR DE ÁTOMOS DE CARBONO, EL ÚLTIMO DE LOS CUALES ES UN GRUPO CARBOXÍLICO. • TIENEN ENTRE 14 Y 22 CARBONOS. LOS MÁS ABUNDANTES SON LOS QUE TIENEN 16 Y 18 ÁTOMOS DE CARBONO.
• LA CADENA DE CARBONOS: • ES SATURADA SI SOLO TIENE ENLACES SIMPLES. PALMÍTICO Y ESTEÁRICO. • ES INSATURADA SI PRESENTA UNO O VARIOS ENLACES DOBLES ENTRE ÁTOMOS DE CARBONO. OLEICO Y LINOLEICO.
NOMENCLATURA • LA NOMENCLATURA ABREVIADA ES MUY ÚTIL PARA NOMBRAR LOS ÁCIDOS GRASOS. CONSISTE EN UNA C, SEGUIDA DE DOS NÚMEROS, SEPARADOS POR DOS PUNTOS. EL PRIMER NÚMERO INDICA LA LONGITUD DE LA CADENA HIDROCARBONADA, MIENTRAS QUE EL SEGUNDO INDICA EL NÚMERO DE DOBLES ENLACES QUE CONTIENE.
INSATURADOS • EN LA NOMENCLATURA ABREVIADA, SE INDICA LA LONGITUD DE LA CADENA Y EL NÚMERO DE DOBLES ENLACES. LA POSICIÓN DE LOS DOBLES ENLACES SE INDICA COMO UN SUPERÍNDICE EN EL SEGUNDO MÚMERO. ASÍ, EL ÁCIDO OLEICO SE REPRESENTA COMO C 18: 19, Y EL LINOLEICO COMO C 18: 29, 12, Y EL LINOLÉNICO COMO C 18: 39, 12, 15.
PROPIEDADES FÍSICAS DE LOS ÁCIDOS GRASOS. • CARÁCTER ANFIPÁTICO: PRESENTAN UN DOBLE COMPORTAMIENTO, TIENEN UNA PARTE DE LA MOLÉCULA HIDRÓFILA O SOLUBLE EN AGUA Y OTRA HIDRÓFOBA O INSOLUBLE EN AGUA.
• ZONA HIDRÓFILA: ES EL GRUPO CARBOXILO IONIZADO. GRACIAS A SU CARGA ELECTRICA, ESTABLECE ATRACCIONES DE TIPO ELÉCTRICO CON LAS MOLÉCULAS DE AGUA Y CON OTRAS MOLÉCULAS POLARES.
• ZONA HIDRÓFOBA. ES LA CADENA HIDROCARBONADA QUE TIENE REPULSIÓN AL AGUA Y QUE ES CAPAZ DE ESTABLECER ENLACES DE VAN DER WAALS CON MELÉCULAS LÍPIDICAS.
SOLUBILIDAD. • CUANTO MAYOR ES LA CADENA HIDROCARBONADA DE UN ÁCIDO GRASO, MÁS INSOLUBLE ES EN AGUA Y MÁS SOLUBLE EN DISOLVENTES APOLARES. • LAS MOLÉCULAS DE UN ÁCIDO GRASO EN AGUA SE DISPONEN CON EL CARBOXILO DENTRO DEL AGUA Y LA CADENA CARBONADA FUERA DE ELLA.
MICELAS MONOCAPAS
MICELAS BICAPAS
PUNTO DE FUSIÓN BAJO • EL PUNTO DE FUSIÓN AUMENTA SI AUMENTA LA LONGITUD DE LA CADENA, YA QUE SE INCREMENTAN LAS INTERACCIONES DE VAN DER WALLS • DISMINUYE POR LA PRESENCIA DE DOBLES ENLACES, QUE ORIGINA CODOS EN LAS MOLÉCULAS QUE LAS ACORTA Y REDUCE EL NÚMERO DE INTERACCIONES CON OTRAS CADENAS.
PUNTO DE FUSIÓN BAJO • EL PUNTO DE FUSIÓN DEPENDE DE LA LONGITUD DE LA CADENA HIDROCARBONADA Y DE LA PRESENCIA DE DOBLES ENLACES. • LOS ACIDOS GRASOS INSATURADOS SON LÍQUIDOS A TEMPERATURA AMBIENTE Y CUANTO MAYOR ES EL NÚMRO DE DOBLES ENLACES, MAS BAJA ES LA TEMPERATURA DE FUSIÓN.
ÁCIDOS GRASOS SATURADOS
ÁCIDOS GRASOS ESENCIALES • SON AQUELLOS QUE NUESTRO CUERPO NO PUEDE SINTETIZAR. DEBEMOS INGERIRLOS CON LA DIETA. • SON EL ÁCIDO LINOLEICO, EL ÁCIDO LINOLÉNICO Y EL ÁCIDO ARAQUIDÓNICO.
PROPIEDADES QUÍMICAS DE LOS ÁCIDOS GRASOS • ESTERIFICACIÓN. • SAPONIFICACIÓN.
REACCIÓN DE ESTERIFICACIÓN • ESTERIFICACIÓN: UN ÁCIDO GRASO SE UNE A UN ALCOHOL MEDIANTE UN ENLACE COVALENTE, FORMANDO UN ÉSTER Y LIBERÁNDOSE UNA MOLÉCULA DE AGUA.
ESTERIFICACIÓN R-COOH + OH-R' ====== R-C-O-R' + H 2 O HIDROLISIS. • ac. graso + alcohol ==== éster + agua
REACCIÓN DE SAPONIFICACIÓN • SAPONIFICACIÓN: TÍPICA DE LOS ÁCIDOS GRASOS, EN LA CUAL REACCIONAN CON ÁLCALIS Y DAN LUGAR A UNA SAL DE ÁCIDO GRASO, QUE SE DENOMINA JABÓN. LAS MOLÉCULAS DE JABÓN TIENEN UNA ZONA LIPÓFILA O HIFRÓFOBA, QUE REHUYE EL CONTACTO CON EL AGUA, Y UNA ZONA HIDRÓFILA O POLAR, QUE SE ORIENTA HACIA ELLA, SE LLAMA COMPORTAMIENTO ANFIPÁTICO.
SAPONIFICACIÓN R-COOH + OHNa ----> R-C-ONa + H 2 O • ac. graso + base ----> jabón + agua
LÍPIDOS SAPONIFICABLES • CONTIENEN ÁCIDOS GRASOS DE CADENA LARGA Y PRESENTAN REACCIONES DE SAPONIFICACIÓN. • SON EL PRODUCTO DE LA UNIÓN DE UN ÁCIDO GRASO Y UN ALCOHOL.
LÍPIDOS SIMPLES • SON ÉSTERES FORMADOS POR ÁCIDOS GRASOS Y ALCOHOL. SEGÚN EL TIPO DE ALCOHOL SE DISTINGUEN DOS GRUPOS. • 1. ACILGLICÉRIDOS O GRASAS. • 2 CÉRIDOS O CERAS.
ACILGLICÉRIDOS O GRASAS • SON LOS ÉSTERES FORMADOS POR LA ESTERIFICACIÓN DE GLICERINA CON UNA DOS O TRES MOLÉCULAS DE ÁCIDOS GRASOS DENOMINANDOSE: MONOACILGLICÉRIDOS, DIACILGLICÉRIDOS Y TRIACILGLICÉRIDOS.
• FUNCIÓN DE RESERVA EN EL ORGANISMO. CADA GRAMO ALMACENA 9, 4 KCA/G • INSOLUBLES EN AGUA. • MENOS DENSAS QUE EL AGUA. • SON SAPONIFICABLES. FORMAN JABONES. • SON APOLARES.
CLASIFICACIÓN. • SEGÚN EL TIPO DE ÁCIDO GRASO: • ACEITES: PRESENTAN ÁCIDOS GRASOS INSATURADOS. SON LÍQUIDOS A Tª AMBIENTE • SEBOS: PRESENTAN ACIDOS GRASOS SATURADOS Y SON SÓLIDOS A Tª AMBIENTE. • MANTEQUILLAS: TIENEN ÁCIDOS GRASOS DE CADENA CORTA. SON SEMISÓLIDOS A Tª AMBIENTE.
CÉRIDOS O CERAS. • SON LOS ESTERES FORMADOS POR UN ALCOHOL MONOVALENTE DE CADENA LARGA Y UNA MOLÉCULA DE ÁCIDO GRASO. • ORIGINAN LAMINAS IMPERMEABLES QUE PROTEGEN LA EPIDERMIS Y FORMACIONES DÉRMICAS DE LOS ANIMALES COMO PELOS, PLUMAS Y ESCAMAS Y TAMBIEN EN VEGETALES COMO HOJAS, TALLOS Y FRUTOS.
LÍPIDOS COMPLEJOS O HETEROLÍPIDOS. • COMPLEJOS. SON LOS LÍPIDOS QUE, ADEMÁS DE CONTENER EN SU MOLÉCULA C, H Y O, CONTIENEN OTROS ELEMENTOS COMO N, P o S U OTRA BIOMOLÉCULA COMO UN GLÚCIDO. A LOS LÍPIDOS COMPLEJOS TAMBIÉN SE LES LLAMA LÍPIDOS DE MEMBRANA PUES SON LAS PRINCIPALES MOLÉCULAS QUE FORMAN LAS MEMBRANAS CELULARES.
• SON ESTERES FORMADOS POR UN ALCOHOL, ÁCIDOS GRASOS Y OTRO TIPO DE MOLÉCULA. • SON LOS PRINCIPALES COMPONENTES DE LA DOBLE CAPA LIPÍDICA DE LAS MEMBRANAS BIOLÓGICAS, POR LO QUE SE LES LLAMA LÍPIDOS DE MEMBRANA. • SON ANFIPÁTICOS.
LÍPIDOS COMPLEJOS • • • FOSFOGLICÉRIDOS O FOSFOLÍPIDOS. FOSFOESFINGOLÍPIDOS O ESFINGOLÍPIDOS. GLUCOESFINGOLÍPIDOS.
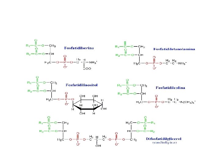
FOSFOGLICÉRIDOS. FOSFOLÍPIDOS. • FORMADOS POR DOS ÁCIDOS GRASOS, UNA GLICERINA, UN ÁCIDO FOSFÓRICO Y UN ALCOHOL QUE TIENE UN GRUPO AMINO. • EL FOSFÓRICO Y EL GRUPO AMINO SE IONIZAN Y FORMAN EL GRUPO POLAR • SON DIACILGLICÉRIDOS.
ÁCIDO FOSFATÍDICO
• SEGÚN EL ALCOHOL UNIDO AL GRUPO FOSFATO SE OBTIENEN DIFERENTES FOSFOGLICÉRIDOS: FOSFATIDILCOLINA: AC. FOSFATÍDICO+COLINA FOSFATIDILINOSITOL: AC. FOSFATÍDICO+INOSITO L FOSFATIDILETANOLAMINA: (ÁCIDO FOSFATÍDICO + ETANOLAMINA) FOSFATIDILSERINA: AC. FOSFATÍDICO +SERINA.
FOSFATIDILCOLINAS O LECITINAS. SI A ES LA COLINA.
FOSFATIDILETANOLAMINAS O CEFALINAS. SI A ES LA ETANOLAMINA
FOSFATIDILSERINAS.
FOSFATIDILINOSITOLES
FOSFATIDILGLICEROLES
CARDIOLIPINAS
• COMPONENTES DE LAS MEMBRANAS, CONSISTE EN UN GLICEROL -3 - FOSFATO ESTERIFICADO EN C 1 Y C 2 POR ACIDOS GRASOS Y EN EL GRUPO FOSFORIL CON UN GRUPO X POLAR QUE ES GENERALMENTE UN DERIVADO DE UN ALCOHOL. (X= agua: ácido fosfatídico; X= etanolamina: fosfatidiletanolamina; X= colina: fosfatidilcolina (lecitina); X= serina: fosfatidilserina; X= myo-inositol: fosfatidilinositol; X= glicerol: fosfatidilglicerol y X= fosfatidilglicerol: difosfatidilglicerol (cardiolipina)).
FOSFATIDILETANOLAMINA
FOSFOESFINGOLÍPIDOS. • - SON ÉSTERES FORMADOS POR LA UNIÓN DE: UN ÁCIDO GRASO. UNA ESFINGOSINA: ALCOHOL DE 18 C UN GRUPO FOSFATO. UN AMINOALCOHOL. SON ANFIPÁTICOS.
ESFINGOMIELINA.
GLUCOESFINGOLÍPIDOS • - FORMADOS POR LA UNIÓN DE: ÁCIDO GRASO. UNA ESFINGOSINA. UN GLÚCIDO. NO TIENEN GRUPO FOSFATO.
• LA ESFINGOSINA QUE ES UN AMINOALCOHOL DE 18 CARBONOS, SE UNE A UN ÁCIDO GRASO DE CADENA LARGA POR MEDIO DE UN ENLACE AMINA PARA FORMAR UNA CERAMIDA.
• LOS GLUCOESFINGOLÍPIDOS SE ENCUENTRAN EN LAS BICAPAS LIPÍDICAS DE LAS MEMBRANAS PLASMÁTICAS DE TODAS LAS CÉLULAS. SE SITUAN EN LA CARA EXTERNA DE ESTAS DONDE ACTUAN COMO RECEPTORES DE MOLÉCULAS EXTERNAS. • SON ABUNDANTES EN LAS NEURONAS DEL CEREBRO.
TIPOS DE GLUCOESFINGOLÍPIDOS • SEGÚN EL TIPO DE GLÚCIDO SE DIFERENCIAN: 1. CEREBRÓSIDOS: PRESENTAN UN MONOSACÁRIDO O UN OLIGOSACÁRIDO SENCILLO DE MENOS DE 15 MONOSACÁRIDOS. 2. GANGLIÓSIDOS: CONTIENEN UN OLIGOSACÁRIDO COMPLEJO EN EL CUAL SIEMPRE HAY UNA MOLECULA LLAMADA SIALICO.
GLUCOCEREBROSIDO
GALACTOCEREBROSIDO
GANGLIÓSIDOS. • LOS GANGLIÓSIDOS SE DIFERENCIAN DE LOS CEREBRÓSIDOS EN QUE CONTIENE UNA O VARIAS MOLÉCULAS DE ÁCIDO NACETILNEURAMÍNICO (ÁCIDO SIÁLICO). EL NÚMERO DE HEXOSAS QUE PRESENTAN VARÍA ENTRE UNO Y CUATRO.
GANGLIÓSIDO
LIPIDOS INSAPONIFICABLES NO POSEEN ÁCIDOS GRASOS EN SU MOLÉCULA. NO SON SAPONIFICABLES. SON: • TERPENOS. • ESTEROIDES. • EICOSANOIDES: PROSTAGLANDINAS, TROMBOXANOS Y LEUCOTRIENOS.
• SON ÉSTERES, SU HIDRÓLISIS PRODUCE UN ALCOHOL Y UN ACIDO CARBOXÍLICO. • LA HIDROLÍSIS DE UN ÉSTER SE CONOCE COMO SAPONIFICACIÓN Y EN LOS SERES VIVOS SE REALIZA CON LA INTERVENCIÓN DE LA LIPASAS.
ISOPRENOIDES O TERPENOS. • SON MOLÉCULAS DERIVADAS DE LA POLIMERIZACIÓN DEL ISOPRENO QUE ES EL 2 METIL-1, 3 -BUTADIENO. • PUEDEN FORMAR CADENAS LINEALES O CICLICAS
TIPOS DE TERPENOS • MONOTERPENOS: CONTIENEN DOS MOLÉCULAS DE ISOPRENO. PERTENECEN A ESTE GRUPO ESENCIAS VEGETALES COMO EL MENTOL, EUCALIPTOL, EL LIMONENO Y EL GERANIOL.
• DITERPENOS: CONTIENEN 4 MOLECULAS DE ISOPRENO. POR EJEMPLO EL FITOL QUE ES UN COMPONENTE DE LA CLOROFILA Y LAS VITAMINAS A, E Y K
• TRITERPENOS: CONTIENEN SEIS MOLÉCULAS DE ISOPRENO. UN EJEMPLO ES EL ESCUALENO A PARTIR DEL CUAL SE SINTETIZA EL COLESTEROL EN EL HÍGADO.
• TETRATERPENOS: CONTIENEN OCHO MOLÉCULAS DE ISOPRENO. A ESTE GRUPO PERTENECEN LOS CAROTENOIDES QUE SE DIVIDEN EN: • CAROTENOS DE COLOR ROJO • XANTOFILAS DE COLOR AMARILLO:
• POLITERPENOS: CONTIENEN MAS DE OCHO MOLECULAS DE ISOPRENO. COMO EJEMPLO EL CAUCHO.
ESTEROIDES • SON DERIVADOS DEL ESTERANO O CICLOPENTANOPERHIDROFENANTRENO. • SU ESTRUCTURA ESTA FORMADA POR TRES ANILLOS DE CICLOHEXANO UNIDOS EN UN CICLOPENTANO. • SE DIFERENCIAN DOS TIPOS DE ESTEROIDES: 1. ESTEROLES. 2. HORMONAS ESTEROIDEAS
ESTEROLES. • POSEEN UN GRUPO HIDROXILO EN EL CARBONO 3 Y UNA CADENA ALIFÁTICA EN EL CARBONO 17. LOS PRINCIPALES SON: - 1. COLESTEROL. - 2. ACIDOS BILIARES. - 3 GRUPO DE VITAMINA D. - 4 ESTRADIOL.
COLESTEROL • FORMA PARTE DE LAS MEMBRANAS CELULARES DE LOS ANIMALES, LES DA ESTABILIDAD AL SITUARSE ENTRE LOS FOSFOLÍPIDOS Y FIJARLOS
• SE ENCUENTRA EN TODOS LOS ÓRGANOS DEL CUERPO, SIENDO MUY COMÚN EN LA PIEL, HÍGADO Y PLASMA SANGUÍNEO.
• EL COLESTEROL ES EL PRINCIPAL COMPUESTO DEL GRUPO DE ESTEROIDES, YA QUE DE ÉL PROVIENEN LA MAYORÍA DE ESTEROIDES, COMO LA VITAMINA D (IMPRESCINDIBLE PARA LA SODIFICACIÓN DE CALCIO Y FÓSFORO EN HUESOS) QUE SE FABRICA CON RAYOS SOLARES SOBRE LA PIEL, LAS HORMONAS SEXUALES (PROGRESTERONA, ESTRÓGENOS Y TESTOSTERONA), OTRAS HORMONAS CORTICOIDES COMO EL CORTISOL (ANTIINFLAMATORIO) Y ALDOSTERONA(PRESIÓN ARTERIAL) Y LAS SALES BILIARES PARA EMULSIÓN DE GRASAS EN LA DIGESTIÓN (ROMPER MEJOR LAS GRASAS Y ASÍ COGER SUS NUTRIENTES MEJOR).
• • • El colesterol al ser muy insoluble en agua en la sangre (medio acuoso) como muchos lípidos es unido a un grupo especial de transporte llamado lipoprotreínas para su transporte al organismo: Lipoproteínas de baja densidad (Low density lipoproteins o LDL en inglés): conocido erróneamente como “colesterol malo” por dos razones: no es el colesterol en sí el “malo” si no la proteína, ya que al tener menos densidad lleva menos colesterol en menos volumen y dos, ese es el colesterol que se transporta desde el hígado hasta el resto del organismo para la reparación y reconstrucción de tejidos celulares, dando su importancia vital. Esta lipoproteína se encuentra solo en tejidos animales (nunca en vegetales como trigo, pan, aceites de oliva, arroz, etc…) y el organismo de por sí la sabe fabricar, el verdadero problema es el consumido en la dieta, ya que tiene mayor capacidad de oxidación y bloquea los capilares sanguíneos cuando hay un exceso y la célula no puede absorber más de lo que necesita. Lipoproteínas de alta densidad (High density lipoprotein, HDL o “colesterol bueno”): también así conocido erróneamente ya que es la proteína y no el colestero, que es el mismo, como esta proteína es más grande, puede engancharse a ella mayor número de moléculas de colesterol y otros triglicéridos para su destrucción desde tejidos del organisma hasta el hígado, permitiendo así arrastrar a más LDL y limpiar capilares.
ÁCIDOS BILIARES. • SON UNAS MOLÉCULAS PRODUCIDAS POR EL HÍGADO A PARTIR DEL COLESTEROL. • DE ELLAS DERIVAN LAS SALES BILIARES QUE SE ENCARGAN DE EMULSIONAR LAS GRASAS EN EL INTESTINO DELGADO PARA FAVORECER LA ACCIÓN DE LAS LIPASAS Y LA POSTERIOR ABSORCIÓN INTESTINAL.
GRUPO DE LAS VITAMINAS D • REGULAN EL METABOLISMO DEL CALCIO Y SU ABSORCIÓN INTESTINAL. • FORMADAS POR UN CONJUNTO DE ESTEROLES • LA VITAMINA D 2 O CALCIFEROL SE FORMA A PARTIR DEL ERGOSTEROL • VITAMINA D 3 O COLECALCIFEROL PROVIENE DEL COLESTEROL
ESTRADIOL • ES LA HORMONA ENCARGADA DE REGULAR LA APARICIÓN DE LOS CARACTERES SEXUALES SECUNDARIOS FEMENINOS.
HORMONAS ESTEROIDEAS • TIENEN UN ÁTOMO DE OXÍGENO UNIDO AL CARBONO 3 POR MEDIO DE UN DOBLE ENLACE. • HAY DOS TIPOS DE HORMONAS: • SUPRARRENALES. • SEXUALES.
HORMONAS SUPRARRENALES • CORTISOL. • ALDOSTERONA
ALDOSTERONA
CORTISOL
PTOGESTERONA
TESTOSTERONA
PROSTAGLANDINAS • SUSTANCIAS DERIVADAS DEL ACIDO PROSTANOICO, FORMADO POR UN ANILLO DE CICLOPENTANO Y DOS CADENAS ALIFÁTICAS • SE FORMAN A PARTIR DE ÁCIDOS GRASOS INSATURADOS.
• SE AISLARON POR PRIMERA VEZ EN SECRECIONES DE LA PROSTATAA PERO SE FORMAN EN MUCHOS OTROS TEJIDOS.
FUNCIONES. 1. 2. 3. 4. PERCEPCIÓN DEL DOLOR. FUNCIONAMIENTO DE LOS APARATOS. COAGULACIÓN DE LA SANGRE. CONSTRICCIÓN O DILATACIÓN DE LA MUSCULATURA LISA DE LOS VASOS SANGUINEOS. 5. DISMINUYEN LA PRESIÓN INTRAOCULAR.
6. CAUSAN AGREGACIÓN O DESAGREGACIÓN DE LAS PLAQUETAS. 7. SENSIBILIZAN LAS NEURONAS ESPINALES AL DOLOR. 8. REGULAN LA MEDIACIÓN INFLAMATORIA. 9. REGULAN EL MOVIMIENTO DE CALCIO. 10. CONTROLAN LA REGULACIÓN HORMONAL. 11. CONTROLAN EL CRECIMIENTO CELULAR.
FUNCIONES DE LOS LÍPIDOS 1. 2. 3. 4. 5. RESERVA ENERGÉTICA. ESTRUCTURAL. PROTECTORA. BIOCATALIZADORA. TRANSPORTADORA.