Lo sviluppo della chemioterapia 1904 1910 Paul Ehrilich




















































- Slides: 52
Lo sviluppo della chemioterapia • 1904 -1910 Paul Ehrilich usa sostanze coloranti con tossicità selettiva per curare infezioni da tripanosomi (malattia del sonno) e composti arsenicati per curare la sifilide • 1935 Gerhard Dogmak (Nobel 1939) usa il colorante Prontosil (solfonamide) per curare da infezioni da Streptococcus e Staphylococcus • 1940 Howard Florey e Ernst Chain (Nobel 1945) purificarono la penicillina scoperta nel 1929 da Alexandrer Fleming (Nobel 1945) • 1944 Selman Waskman (Nobel 1952) identificò la Streptomicina dopo un’analisi di circa 10. 000 microrganismi del suolo • da allora circa 5. 000 nuovi antibiotici sono stati identificati da organismi del suolo. Di questi circa 300 sono diventati farmaci e sono stati commercializzati
Una sostanza antimicrobica (antibiotico) per essere utile come farmaco deve avere particolari requisiti: • deve avere una tossicità selettiva • deve avere un alto indice terapeutico, cioè un rapporto tra dose tossica (concentrazione tossica per l’ospite) e dose terapeutica (concentrazione necessaria per eliminare il patogeno) • deve essere prodotta dall’organismo produttore e purificabile all’omogeneità • deve essere caratterizzata per lo spettro d’azione ed il tipo di attività sostanze ad ampio spettro d’azione o con spettro d’azione ristretto
Una sostanza antimicrobica (antibiotico) per essere utile come farmaco deve avere particolari requisiti: • deve avere una tossicità selettiva • deve avere un alto indice terapeutico, cioè un rapporto tra dose tossica (concentrazione tossica per l’ospite) e dose terapeutica (concentrazione necessaria per eliminare il patogeno) • deve essere prodotta dall’organismo produttore e purificabile all’omogeneità • deve essere caratterizzata per lo spettro d’azione ed il tipo di attività effetto della concentrazione e del ceppo bersaglio
l’effetto (battericida o batteriostatico) dipende da: - il tipo di antibiotico - la concentrazione di antibiotico - il ceppo bersaglio
Determinazione della MIC (minima concentrazione inibente)
valutazione attivita’ di un antibiotico: 1) ceppo bersaglio in coltura liquida + agar “molle” (0, 7%) 2) versare su terreno solido 3) aggiungere antibiotico si dischetto di carta sterile 4) incubare alla temperatura di crescita del ceppo “test” valutare la mic di un determinato antibiotico valutare la sensibilità del ceppo bersaglio a diversi antibiotici
Gli antibiotici sono metaboliti secondari, cioè sono prodotti dal metabolismo secondario (non essenziale per la vita della cellula), sono prodotti in fase stazionaria di crescita, principalmente da microrganismi del suolo (funghi, Streptomiceti e Bacilli)
I siti bersaglio degli antibiotici
Biosintesi del peptidoglicano Reazioni citoplasmatiche: Sintesi di UDP-NAG e UDP-NAM: NAG + UTP NAG-UDP + Pi NAM + UTP NAM-UDP + Pi Formazione del Nucleotide di Park: pentap. -NAM-UDP aa aggiunti in sequenza (enzimi specifici, NO ribosomi) D-ala terminali aggiunte direttamente come dimero: 2 L-ala 2 D-ala-D-ala
Reazioni di membrana: legame del dimero al C 55 -P: C 55 -P-P-NAG-NAM-pentap trasporto attraverso la membrana al punto di accrescimento e rilascio del C 55 -P Reazioni di parete: transglicosilazioni e transpeptidazioni
Reazioni di membrana: legame del dimero al C 55 -P: UMP UDP-NAM-pentap. + C 55 -P UDP-NAG UDP + C-55 -P-P-NAM-pentap. C 55 -P-P-NAG-NAM-pentap. C 55 -P vancomicina bacitracina C 55 -P-P NAG-NAM-pentap. inserimento nel peptidoglicano preesistente mediante transglicosilazione e transpeptidazione
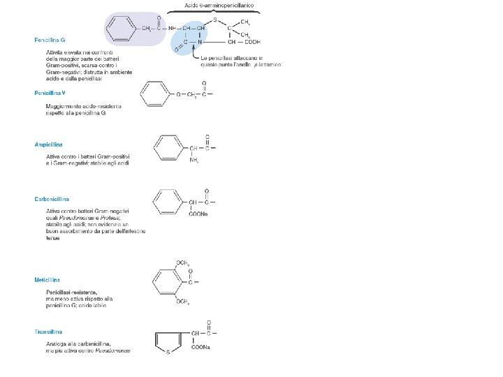
Antibiotici con effetto sulla parete cellulare (penicilline, cefalosporine e vancomicina) -lattamici
PROPRIETA’ DELLE PBP (Penicillin-Binding Proteins) di Escherichia coli PBP numero molec. /cell. Attività enzimatica Possibile funzione 1 100 transglicosilasi e transpeptidasi sintesi peptidoglicano durante allungam. parete 1 B 100 transglicosilasi e transpeptidasi sintesi peptidoglicano durante allungam. parete 1 C ? 2 20 transpeptidase 3 50 transglicosilasi e transpeptidasi 4 110 DD-endopeptidasi DD-carbossipeptidasi idrolisi leg. transpeptidici durante allungam. parete 5 1. 800 DD-carbossipeptidasi idrolisi leg. DAla-DAla 6 600 DD-carbossipeptidasi idrolisi leg. DAla-DAla 7 ? ? 8 ? ? sintesi peptidoglicano durante allungam. parete; mantenimento forma cellulare sintesi peptidoglicano durante formazione setto di divisione ? ?
La vancomicina è prodotta da Streptomyces orientalis ha una struttura chimica complessa; Blocca le reazioni di transpeptidizzazione, in particolare tra i monomeri appena trasportati e quelli già incorporati nella struttura del peptidoglicano
La bacitracina è prodotta da ceppi di Bacillus licheniformis; ha una struttura peptidica con aminoacidi insoliti che derivano da una sintesi non ribosomica inibisce la rigenerazione del bactoprenolo-P
La cicloserina è un analogo strutturale della D-Ala e viene riconosciuta dagli enzimi DAla-D-Ala racemasi e D-Ala-D-Ala ligasi con maggiore efficienza rispetto al substrato dei due enzimi. Come conseguenza le reazioni catalizzate dai due enzimi vengono bloccate. Si usa principalmente per curare la tuberculosi ed alcune infezioni urinarie
Antibiotico Organismo produttore Reazione bersaglio Citoplasma: D-CICLOSERINA Streptomyces lavendulae S. orchidaceus, S. garyphalus racemizzazione D-L ala sintesi D-Ala: D-Ala Membrana: VANCOMICINA Streptomyces orientalis transglicosilazione BACITRACINA Bacillus licheniformis defosforilazione bactoprenolo-P-P -LATTAMICI Penicillium, Streptomyces assemblaggio monomeri peptidoglicano Parete:
Antibiotici chinolonici con effetto sulla sintesi del DNA sono sostanze di sintesi (NON PRODOTTE DA MICRORGANISMI) ad ampio spettro d’azione
Antibiotici con effetto sulla sintesi proteica (tetracicline, amminoglicosidici, eritromicina, cloramfenicolo) La tetracicline sono prodotte da ceppi di Streptomyces; bloccano la sintesi proteica interagendo con la subunità 30 S del ribosoma ed in particolare bloccando il legame dell’aminoacil-t. RNA al sito A del ribosoma
Antibiotici con effetto sulla sintesi proteica (tetracicline, amminoglicosidici, eritromicina, cloramfenicolo) Appartengono a questa classe antibiotici molto comuni (streptomicina, kanamicina, gentamicina, neomicina). Bloccano la sintesi proteica interagendo con la subunità 30 S del ribosoma e bloccando il processo o causando errori di lettura dell’m. RNA
Antibiotici con effetto sulla sintesi proteica (tetracicline, amminoglicosidici, eritromicina, cloramfenicolo) L’eritromicina appartiene alla famiglia degli antibiotici macrolidici prodotto da Streptomyces erythraeus. Blocca la sintesi proteica interagendo con la subunità 50 S, in particolare con la molecole di r. RNA 23 S e bloccando la fase di allungamento della catena polipeptidica.
Antibiotici con effetto sulla sintesi proteica (tetracicline, amminoglicosidici, eritromicina, cloramfenicolo) Il cloramfenicolo è prodotto da Streptomyces venezuelae ma può essere ottenuto per via sintetica. Ha un’azione simile a quella dell’eritromicina, interagendo con l’r. RNA 23 S e bloccando la fase di allungamento della catena polipeptidica.
Antibiotici che contengono solfonammidi (solfamidici) con azione da antimetaboliti • efficacia limitata per l’insorgenza di ceppi batterici resistenti • 5% dei pazienti ha effetti collaterali (risposte allergiche)
Meccanismi di resistenza agli antibiotici Resistenza costitutiva: • mutazioni che alterano la permeabilità cellulare all’antibiotico • mutazioni che alterano il sito bersablio dell’antibiotico resistenza trasmissibile solo alle cellule figlie (trasmissione verticale) Resistenza trasmissibile: • inattivazione dell’antibiotico ad opera di enzimi batterici portati da plasmidi coniugativi resistenza trasmissibile ad altre cellule anche di specie diverse (trasmissione orizzontale)
cloramfenicolo acetil-transferasi
elementi genetici mobili
Farmaci antifungini è convertito dai funghi in 5 -fluoro uracile che si incorpora nell’RNA al post dell’uracile (effetti collaterali) inibitori della sintesi della parete successo minore rispetto a farmaci antibatterici perchè le cellule fungine sono più simili a quelle umane (tossicità)
Farmaci antifungini legame agli steroli o inibizione della sintesi: danni alla membrana fungina polienici
Farmaci antivirali antinfluenzale (blocca l’ingresso del virus) anti-Herpes (blocca la replicazione del DNA virale) viene fosforilato dal virus e diventa simile al d. GTP e blocca la replicazione del DNA anti-HIV (blocca la trascrittasi inversa) anti-Herpes (blocca la replicazione del DNA virale)