LINGKARAN Oleh Tri wulanjari Lingkaran Lingkaran DAFTAR ISI

  • Slides: 15
Download presentation

LINGKARAN Oleh : Tri wulanjari

LINGKARAN Oleh : Tri wulanjari

Lingkaran

Lingkaran

Lingkaran

Lingkaran

DAFTAR ISI: o o o Pengertian Lingkaran Persamaan Lingkaran Berpusat di (0, 0) Persamaan

DAFTAR ISI: o o o Pengertian Lingkaran Persamaan Lingkaran Berpusat di (0, 0) Persamaan Lingkaran Berpusat di (h, k) Bentuk Umum Persamaan lingkaran Latihan

Pengertian Lingkaran a. Definisi Lingkaran adalah himpunan titik-titik pada bidang datar yang berjarak sama

Pengertian Lingkaran a. Definisi Lingkaran adalah himpunan titik-titik pada bidang datar yang berjarak sama terhadap satu titik tertentu yang disebut pusat lingkaran. b. Definisi Jari-jari Lingkaran adalah jarak antara pusat lingkaran dengan titik pada lingkaran. Jari-jari lingkaran dilambangkan oleh r.

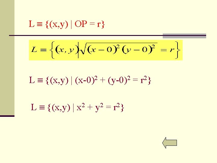
Persamaan Lingkaran yang Berpusat di Titik (0, 0) y P(x, y) O x x

Persamaan Lingkaran yang Berpusat di Titik (0, 0) y P(x, y) O x x 2 + y 2 = r 2

Posisi suatu titik terhadap lingkaran y r O x P(x, y) di dalam. Lingkaran

Posisi suatu titik terhadap lingkaran y r O x P(x, y) di dalam. Lingkaran

Posisi suatu titik terhadap lingkaran y P(x, y) r O P(x, y) pada Lingkaran

Posisi suatu titik terhadap lingkaran y P(x, y) r O P(x, y) pada Lingkaran x

Posisi suatu titik terhadap lingkaran y P(x, y) r O P(x, y) di luar

Posisi suatu titik terhadap lingkaran y P(x, y) r O P(x, y) di luar Lingkaran x

Persamaan Lingkaran Berpusat di titik (h, k) y P(x, y) r C(h, k) x

Persamaan Lingkaran Berpusat di titik (h, k) y P(x, y) r C(h, k) x

Bentuk Umum Persamaan Lingkaran x 2 + y 2 + Ax + Bx +

Bentuk Umum Persamaan Lingkaran x 2 + y 2 + Ax + Bx + C = 0 Pusat (A, B) Jari-jari

Latihan 1. Tentukan jari-jari tiap lingkaran berikut: a. x 2 + y 2 =

Latihan 1. Tentukan jari-jari tiap lingkaran berikut: a. x 2 + y 2 = 4 b. x 2 + y 2 = 16 c. 4 x 2 + 4 y 2 = 9 d. 9 x 2 + 9 y 2 = 25 2. Tentukan persamaan lingkaran yang mempunyai diameter (garis tengah) ruas garis AB, untuk tiap pasang titik A dan titik B berikut; a. A(1, -2) dan B(-1, 2) b. A(-3, 1) dan B(3, -1) 3. Diketahui titik A(0, 4) dan B(0, 1). Carilah persamaan tempat kedudukan titik-titik P(x, y) sehingga berlaku hubungan P(x, y) PA = 2 PB}

SUMBER BELAJAR: o o Sulistiyono dkk. 2004. Matematika SMA kelas XI. Jilid 2. Jakarta:

SUMBER BELAJAR: o o Sulistiyono dkk. 2004. Matematika SMA kelas XI. Jilid 2. Jakarta: Esis. W. Sartono. 2003. Matematika SMA kelas XI semester 1. Jilid 3. Jakarta: Erlangga.