Linear program Separation Oracle Rounding We consider a










































- Slides: 42
Linear program Separation Oracle
Rounding • We consider a single-machine scheduling problem, and see another way of rounding fractional solutions to integer solutions. • We will see that by solving a relaxation, we are able to get information on how the jobs might be ordered. • We construct a solution in which we schedule jobs in the same order as given by the relaxation, and we are able toshow that his leads to a good solution.
1|rj |ΣCj • • Single machine J = {1, . . . , n} – jobs pj ≥ 0 – processing time of job j. rj ≥ 0 – release time of job j. Сj( ) – completion time of job j in . No preemption. The machine cannot process two jobs at the same time.
Example 1 С 1( 1) + С 2( 1) + С 3( 1) = 35 J 3 0 J 1 5 10 2 J 2 15 20 С 1( 2) + С 2( 2) + С 3( 2) = 24 J 2 0 J 1 J 3 5 10 J 1 p 1 = 1 r 1 = 2 J 2 p 2 = 3 r 2 = 1 J 3 p 3 = 10 r 3 = 0 15 20
1|pmtn, rj |ΣCj • We will show that we can convert any preemptive schedule into a nonpreemptive schedule in such way that the completion time of each job at most doubles. • In a preemptive schedule, we can still only one job at a time on the machine, but we do not need to complete each job’s required processing consecutively; we can interrupt the processing of a job with the processing of other job.
SRPT rule • Each time that a job is completed, or at the next release date, the job to be processed next has the smallest remaining processing time among the available jobs. • Denote by the schedule obtained by SRPT rule and show that is optimal. • Assume that an optimal schedule * coincides with a schedule up to time t.
Exchange argument * j i i i j Cj t Ci t i i j i Ci j Cj
Preemptive solution С 1( pr) + С 2( pr) + С 3( pr) = 22 pr J 3 J 2 J 1 J 2 0 J 3 5 10 J 1 p 1 = 1 r 1 = 2 J 2 p 2 = 3 r 2 = 1 J 3 p 3 = 10 r 3 = 0 15 20
Lower bound • Let Cj( pr) be the completion time of job j in an optimal preemptive schedule. • Let OPT be the sum of completion times in an optimal nonpreemptive schedule. • We have
Algorithm «Rounding preemptive schedule» 1. 2. Find an optimal preemptive schedule pr using SRPT. Schedule the jobs in nonpreemptively in the same order that they complete in pr. To be more precise, suppose that the jobs are indexed such that С 1( pr) ≤ С 2( pr) ≤ … ≤ Сn( pr). Then we schedule job 1 from its release date r 1 to time r 1 + p 1. We schedule job 2 to start as soon as possible after job 1; that is, we schedule it from max(r 1 + p 1, r 2) to max(r 1 + p 1, r 2) + p 2. The remaining jobs are scheduled analogously. We will show that scheduling nonpreemptively in this way does not delay the jobs by too much.
Example С 1( pr) + С 2( pr) + С 3( pr) = 22 pr J 3 J 2 J 1 J 2 3 0 J 3 5 10 15 20 С 1( ) + С 2( ) + С 3( ) = 25 J 1 0 2 J 2 3 J 3 6 16
Lemma 11. 1 For each job j = 1, …, n, Сj( ) ≤ 2 Сj( pr).
Proof • Let us first derive some easy lower bounds on Сj( pr). Since we know that j is processed in pr after jobs 1, …, j− 1, we have • By construction it is also the case that
Proof • Consider the nonpreemptive schedule constructed by the algorithm, and focus on any period of time that the machine is idle; idle time occurs only when the next job to be processed has not yet been released. • Consequently, in the time interval there cannot be any point in time at which the machine is idle. • Therefore, this interval can be of length at most
2 -approximation Theorem 11. 2 Scheduling in order of the completion times of an optimal preemptive schedule is a 2 -approximation algorithm for scheduling jobs on a single machine with release dates to minimize the sum of completion times.
1|rj |Σwj. Cj • • Single machine J = {1, . . . , n} – jobs pj ≥ 0 – processing time of job j. rj ≥ 0 – release time of job j. wj ≥ 0 – weight of job j. Сj( ) – completion time of job j in . No preemption. The machine cannot process two jobs at the same time.
1|pmtn, rj |Σwj. Cj • The algorithm “Rounding preemptive schedule” and analysis give us a way to round any preemptive schedule to one whose sum of weighted completion times is at most twice more. • Unfortunately, we cannot use the same technique of finding a lower bound on the cost of the optimal nonpreemptive schedule by finding an optimal preemptive schedule. • Unlike the unweighted case, it is NP-hard to find an optimal schedule for the preemptive version of the weighted case.
What we use to obtain the 2 -approximation? We can give a linear programming relaxation of the problem with variables Cj such that these inequalities hold within a constant factor, which in turn will lead to a constant factor approximation for the 1|rj |Σwj. Cj problem.
Variables and constraints • Denote by Cj the completion time of job j. • We want to minimize • The first set of constraints is easy: for each job j = 1, …, n, job j cannot complete before it is released and processed, so that Cj ≥ rj + pj.
Second set of constraints • Consider some set S J of jobs and the sum • This sum is minimized when all the jobs in S have a release date of 0 and all the jobs in S finish first in the schedule. • Assuming these two conditions hold, then any completion time Cj( ) for j S is equal to pj + the sum of all processing times of the jobs in S that preceded j in the schedule. • Then in the product pj Cj, pj multiplies itself and the processing of all jobs in S that preceded j in the schedule. • The sum must contain pj pk for all pairs j, k S.
Queyranne’s inequality
LP(1|rj |Σwj. Cj)
Algorithm 1|rj |Σwj. Cj 1. Find an optimal solution * = (С 1( *), С 2( *), …, Сn( *)) of the LP(1|rj |Σwj. Cj). 2. Schedule the jobs in nonpreemptively in the same order that they complete in *. 3. Output ( )
3 -approximation Theorem 11. 3 Scheduling in order of the completion times of * is a 3 -approximation algorithm for scheduling jobs on a single machine with release dates to minimize the sum of weighted completion times.
Proof • Assume that the jobs are reindexed so that С 1( *) ≤ С 2( *) ≤ … ≤ Сn( *). • As in the proof of Lemma 11. 1, there cannot be any idle time in the time interval • Therefore it must be the case that
• Let l {1, …, j} be the index of the job that maximizes maxk=1, …, jrk so that rl = maxk=1, …, jrk. • We have Сj( *) ≥ Сl( *) and Сl( *) ≥ rl by the LP constraints; thus Сj( *) ≥ maxk=1, …, jrk. • Consider set S = {1, …, j}. • From the fact that * is a feasible LP solution , we know that • Since С 1( *) ≤ С 2( *) ≤ … ≤ Сj( *), we have • By combining these two inequalities we see that
Proof
How to solve LP?
Ellipsoid method (draft) • The input for the algorithm is a system of inequalities P ={Cx ≤ d} with n variables in integral coefficients. • We would like to determine whether P is empty or not, and if it is nonempty, we would like to find a point in P. 1. Let N=2 n((2 n+1) C + n d − n 3) and k = 0 2. Find a “big” ellipsoid E 0(A 0, a 0), that contains our polytope P. 3. If k = N, then STOP! (Declare P empty. ) 4. If ak P, then STOP! (A feasible solution is found. ) 5. If ak P, then choose an inequality that is violated by ak. 6. Create a new ellipsoid Ek+1(Ak+1, ak+1), go to 3.
Löwner-John ellipsoid E=E(A, a) = {x Rn |(x−a) TA− 1(x−a) ≤ 1} Eʹ(A, a, c) = E(A, a) ∩ {x Rn |c. Tx ≤ c. Ta}
Ellipsoid method (draft) • The input for the algorithm is a system of inequalities P ={Cx ≤ d} with n variables in integral coefficients. • We would like to determine whether P is empty or not, and if it is nonempty, we would like to find a point in P. 1. Let N=2 n((2 n+1) C + n d − n 3) and k = 0 2. Find a “big” ellipsoid E 0(A 0, a 0), that contains our polytope P. 3. If k = N, then STOP! (Declare P empty. ) 4. If ak P, then STOP! (A feasible solution is found. ) 5. If ak P, then choose an inequality that is violated by ak. 6. Create a new ellipsoid Ek+1(Ak+1, ak+1), go to 3. We need a polynomial time procedure (separation oracle) for steps 4 and 5.
How to find the violated constraint? Given a solution . Reindex the variables so that С 1( ) ≤ С 2( ) ≤ … ≤ Сn( ). Let S 1 ={1}, S 2 ={1, 2}, …, Sn ={1, …, n}. We claim that it is sufficient to check whether the constraints are violated for the n sets S 1, S 2, …, Sn. • If any of these n constraints are violated, then we return the set as a violated constraint. • If not, we show below that all constraints are satisfied. • •
Separation oracle Lemma 11. 4 Given variables Cj, if constraints (2) are satisfied for the n sets S 1, S 2, …, Sn, thet they are satisfied for all S J.
Proof (1) • Let S J be a constraint that is not satisfied; that is • We will show that then there must be some set Si that is also not satisfied. We do this by considering changes to S that decrease the difference • Any such change will result in another set S that also does not satisfy the constraint.
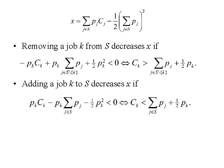
• Removing a job k from S decreases x if • Adding a job k to S decreases x if
Removing of jobs • Let l be the highest indexed job in S. • We remove l from S if • In this case the resulting set S {l} also does not satisfy the constraint (2). • We continue to remove the highest indexed job in the resulting set until finally we have a set S such that its highest indexed job l has
Adding of jobs • Now suppose S ≠ Sl ={1, …, l}. • Let k < l and k Sl. • We have • It follows that, adding k to S can only decrease the difference • Thus we can add all k < l to S , and the resulting set Sl will also not satisfy the constraint (2).
Ellipsoid Method (1) • Suppose we are trying to solve LP(1|rj |Σwj. Cj). • Initially, the algorithm finds an ellipsoid in Rn containing all basic solutions for the linear program. • Let Č be the center of the ellipsoid. • The algorithm calls the separation oracle with Č. • If Č is feasible, it creates a constraint Σwj. Cj ≤ ΣwjČj, since a basic optimal solution must have objective function value no greater than the feasible solution Č. • This constraint is sometimes called an objective function cut.
Ellipsoid Method (2) • If Č is not feasible the separation oracle returns a constraint Σaij. Cj ≥ bi that is violated by Č. • In either case, we have a hyperplane through Č such that a basic optimal solution to the linear program must lie on one side of the hyperplane. • In the case of a feasible Č the hyperplane is Σwj. Cj ≤ ΣwjČj. • In the case of an infeasible the Č the hyperplane is Σaij. Cj ≥ ΣaijČj.
Ellipsoid Method (3) • The hyperplane containing Č splits the ellipsoid in two. • The algorithm then finds a new ellipsoid containing the appropriate half of the original ellipsoid, and then consider the center of new ellipsoid.
Löwner-John ellipsoid E=E(A, a) = {x Rn |(x−a) TA− 1(x−a) ≤ 1} Eʹ(A, a, c) = E(A, a) ∩ {x Rn |c. Tx ≤ c. Ta}
Ellipsoid Method (3) • The hyperplane conta • The algorithm then finds a new ellipsoid containing the appropriate half of the original ellipsoid, and then consider the center of new ellipsoid. • This process repeats until the ellipsoid is sufficiently small that it can contain at most one basic feasible solution. • This solution must be a basic optimal solution.