Lietojumi Jebkur uzdevums kur ldz ar kda lieluma
Lietojumi Jebkurš uzdevums, kurā līdz ar kāda lieluma x maiņu ir jāņem vērā arī šīs maiņas ātrums x’, var tikt aprakstīts ar diferenciālvienādojumu. Daudzos uzdevumos vienādojuma sastādīšanas pamatprincips ir: “lieluma maiņas ātrums ir vienāds ar tā palielināšanās ātrumu mīnus samazināšanās ātrums” Ja uzdevumā jāievēro arī paātrinājums, kā tas notiek daudzos mehānikas uzdevumos, procesu modelē ar otrās kārtas vienādojumu. Šādos uzdevumos bieži izmanto Ņūtona otro likumu F=ma.
Uzdevumi par ceļu un ātrumu x – pārvietojums, t – laiks, x’=v - ātrums Ja ātrums ir laika funkcija v=f (t), rodas diferenciālvienādojums: Ja zināms kustīgā punkta stāvoklis fiksētā sākuma momentā atrisinot Košī problēmu, viennozīmīgi atrodam stāvokli patvaļīgā momentā t:
Ja f (t)=const, vienādojums apraksta vienmērīgu kustību, f (t)=at, kustība ir vienmērīgi paātrināta. Analoģiska Košī problēma apraksta kustību arī gadījumā, ja ātrums ir ne tikai laika, bet arī noietā ceļa funkcija v=f (t, x): Piemērs: ātrums proporcionāli noietajam ceļam samazinās, “gājējs nogurst”:
Sastādot modeli, būtiska loma ir vienādojumā ieejošo parametru noteikšanai. 1. Eksperimentālo datu izmantošana. , 2. Piemērs. Sprinta modelis: (1973. g. J. B. Keller) 3. http: //www. math. duke. edu/education/ccp/materials/diffeq/sprints/sprin ts 1. html dv/dt = A - v/b A = 12. 2 m/sec 2 , b = 0. 892 sec.
Čempionāta rezultāti 1993. gadā:
Grafikā labākā un sliktākā rezultāti:
Atrisinot vienādojumu:
Radioaktīvā sabrukšana Radioaktīvās vielas sabrukšanas ātrums ir proporcionāls vielas esošajam daudzumam m(0)=m 0 Pussabrukšanas periods
Piemērs. Metodes lietojums. Radioaktīvā oglekļa C 14 relatīvais daudzums katrā dzīvā organismā (arī augos) ir tāds pats kā apkārtējā gaisā. Kad organisms mirst, ogļskābās gāzes uzņemšana beidzas, turpinās tikai radioaktīvā sabrukšana. C 14 pussabrukšanas periods ir Dzīvā organismā Geigera skaitītājs uzrāda 13. 5 sabrukšanas minūtē uz gramu vielas. Zinot Geigera skaitītāja rādījumu pētāmās vielas paraugā, var aprēķināt tās vecumu. Uzdevums. Noteikt Francijas aizvēsturisko alu gleznojumu vecumu, ja atrastajam oganiskā materiāla paraugam Geigera skaitītājs uzrāda 1. 69 sabrukšanas minūtē uz gramu vielas.
Pieņemsim t=0 šobrīd, T<0 momentā, kad organiskais paraugs gāja bojā, q(t) oglekļa saturs paraugā momentā t.
Tā kā sabrukšanas ātrumu raksturo Geigera skaitītāja rādījumi, var atrast
Bioloģijas piemēri. Baktēriju vairošanās. y’= y, y(0)=y 0 Ja dzīves apstākļi baktērijām (vai citām būtnēm) ir ļoti labi, var gadīties: Ja y(0)=y 0, šāds likums ātri noved pie katastrofas, jo ,
Populāciju augšanas uzdevums… Kenijas iedzīvotāju skaits (miljonos) 40 gadu laika posmā no 1950. līdz 1990. gadam statistiski dots tabulā 0 6, 265 5 7, 189 10 8, 332 15 9, 749 20 11, 498 25 13, 741 30 16, 632 35 20, 353 40 25, 13
Ar lineāro interpolāciju rēķinot, iegūst, ka dubultošanās periods ir apmēram 22, 30049 gadi. Modelējot ar lineāro diferenciālvienādojumu un atrisinājumu ar eksponentfunkciju, dabū
Salīdzinājumam grafikā statistiskie dati un eksponentfunkcijas vērtības Faktiski iedzīvotāju skaits aug ātrāk nekā eksponentfunkcijas vērtība
Logistiskais likums Situācijā, kad apkārtējās vides resursi ir ierobežoti, notiek konkurence par tiem, populācijas augšanas ātrumu ierobežo savstarpējo kontaktu biežums, jo kontaktējoties sugas īpatņi viens otru var iznīcināt. populācija pieaug populācija samazinās
Ir cerība, ka Zemeslodes iedzīvotāju skaits pieaug pēc logistiskā likuma
Ja populācijas īpatņi migrē prom no dotā areāla vai arī tiek rūpnieciski izmantoti ar konstantu ātrumu, pieaugšanas ātrums samazinās: B pieaugot…
yn+1=pyn, Pietiekoši lielam q. N:
Divu populāciju mijiedarbība Plēsoņu (y) - upuru (x) izturēšanās modelis x’=ax-bxy y’=-cy+kxy
Piemērs. Volterra – Lotkas sistēma. Eksperimentālie dati. Novērojumi veikti ilgstošā periodā. http: //www. math. montana. edu/frankw//ccp/modeling/continuous/twovars/body. htm http: //www. biology. ualberta. ca/courses. hp/bio 331. hp/lectures/lect 22/ Predator. Prey. Dynamics. htm
Kolmogorova pieeja. Par konkrētām parametru vērtībām neinteresējamies, uzsverot tikai proporcionalitāti, lielāks – mazāks, pozitīvs – negatīvs utml. īpašības. Jebkurā gadījumā ir svarīgi maksimāli samazināt ieejošo parametru skaitu, atstājot tikai būtiskos. Izvēlēties svarīgākos parametrus ir viena no modelēšanas mākslām.
Piemērs. Parametru skaita samazināšana Volterrra – Lotkas sistēmā. Reparametrizācija. Substitūcija: Izvēlamies koeficientus A, B, T, lai sistēma būtu pēc iespējas vienkārša:
Aprēķins Formulas: Sistēmā paliek viens būtisks parametrs Pāreja uz bezdimensionāliem mainīgajiem jāveic katrā uzdevumā!
A modelī raksturo upuru vairošanos B raksturo upuru apēšanas ātrumu, B(x, y)=B(x, . ) B(. , y) B(x, . ) nosaka apēšanas ātruma atkarību no upuru populācijas blīvuma fiksētam y. B(x, . )=kx. šādam modelim plēsoņa nekad nav paēdis. B(x, . )=kx x <x*, tad iestājas piesātinājums un x>x* B(x, . )=kx*
plēsoņa nevar apēst vairāk kā upurus, plēsoņam tāpat iestājas piesātinājums, bet mazam upuru populācijas blīvumam apēšanas ātrums ir mazāks kā iepriekšējā gadījumā
Ja neņem vērā plēsoņu konkurenci par upuriem, tad B(. , y)=y Ar konkurenci C(y)=-cy-hy 2 Konkrēts uzdevums no mikrobioloģijas u'(T) = (1 - u(T)) - M u(T) v(T) / (A + u(T)), v'(T) = M u(T) v(T) / (A + u(T)) - v(T), u ir proporcionāls substrāta koncentrācijai hemostatā, v mikroorganismu kultūras apjomam
Epidemioloģija 1. I(t) inficēto skaits momentā t, r – inficēšanās ātrums (cik cilvēkus dienā inficētā persona inficē no jauna), a - ātrums ar kādu atbrīvojas no infekcijas (atveseļojas vai nomirst) 1/dienu skaitu, kurās cilvēks ir inficēts 2. SIS modelis. S- uzņēmīgi, I - inficētie
Logistiskais vienādojums!
3. SIR modelis.
4. SEIR modelis latentais periods infekcijas periods
http: //www. muk. uni-hannover. de/~jansen/master_hjansen. pdf http: //www. me. ucsb. edu/~moehlis/APC 514/tutorials/tutorial_seasonal/node 5. html
http: //www. bondy. ird. fr/~bacaer/madd/node 25. html
Statistikas dati SARS 2003. Saslimušie Mirušie Izdzīvojušie
E, I, R kā laika funkcijas
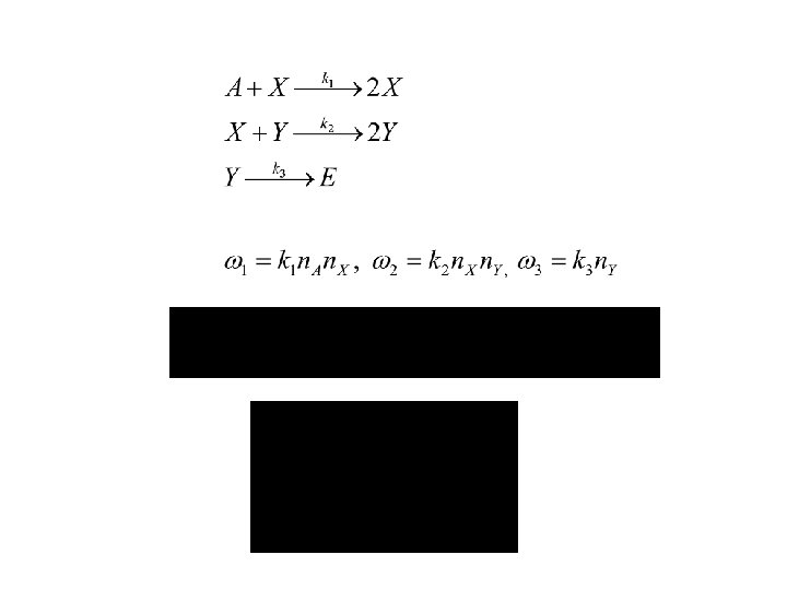
Ķīmijas uzdevumi i 0, i=1, . . . , k, i 0, i=k+1, . . . , n. Stohiometriskie koeficienti
Piemēri. n. A+n. X=C
n. A+n. C=a, n. B-n. A=b Iespējamas divas līdzsvara vērtības!
Autokatalītiska reakcija
Šlogla reakcija
Pārveidojuma piemērs.
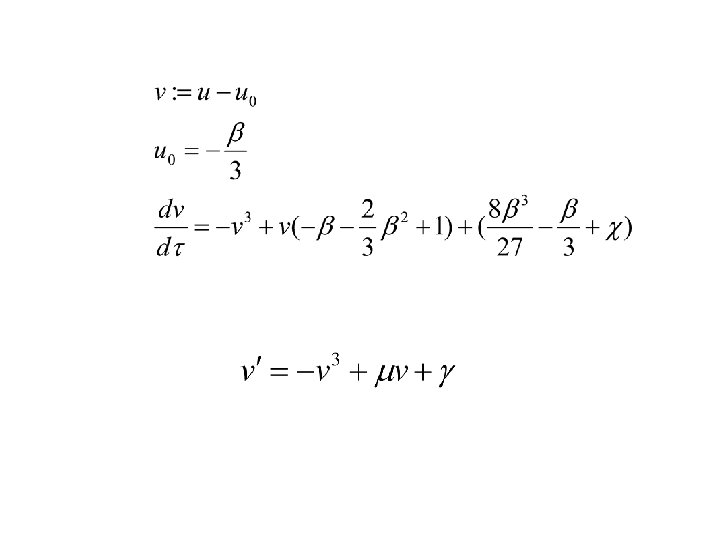
Mehānika Piemērs Masas punkts ar masu m=1 kustas ārējā spēka F un berzes spēka iespaidā. Berze ļoti liela Pārejam uz citu laika skalu: Praktiski pirmās kārtas vienādojums
Pieņemsim Vienādojums Elastības spēks! Viens pats līdzsvara stāvoklis x=0
Pieliekam vēl konstantu ārējo spēku Saglabājas viens pats (stabils) līdzsvara stāvoklis
II kārtas vienādojumu lietojumi Mehānika, elektrība u. c. Lineāri vienādojumi. Mehāniskās svārstības. Ideālās svārstības - bez berzes.
Trajektorijas fāzu plaknē
Svārstības ar lineāru berzi Maza berze
Liela berze, svārstību nav
Uzspiestās svārstības
Svārstības elektriskā kontūrā Kirhofa likumi. 1) Mezglā saejošo strāvu stiprumu algebriskā summa ir vienāda ar 0. 2) Noslēgtā kontūrā sprieguma kritumu summa ir vienāda ar darbojošos EDS summu.
Sprieguma kritums U : uz omiskās pretestības R pēc Oma likuma U=IR uz kondensātora ar lādiņu q un kapacitāti C indukcijas spole ar pašindukcijas koeficientu L dod indukcijas EDS ar lielumu
Elektriskā ķēde ar nelineāru elementu
Ekonomika P cena, Qs - piedāvājums, Qd – pieprasījums. Vienkāršotā variantā Līdzsvars Sezonāls raksturs Nepārtraukti: P’ cenas maiņas ātrums, P” ātruma izmaiņas tendence Pirmajā tuvinājumā cenas regulēšanas mehānisms: P’=j(( + )-( + )P)
Prognozēšana Qd= - P+m. P’+n. P” Qs=- + P+u. P’+v. P”. Vienkāršības dēļ prognozēšanas elementus iekļaujam tikai pircēju uzvedībā Q d= - P+m. P’+n. P” Qs=- + P. - P+m. P’+n. P”=- + P
x: =P-P 0 m<0, n<0 n>0 (? ) ? Ne vienmēr pieprasījums un piedāvājums ir lineāras cenas funkcijas. Tas noved pie sarežģītākiem modeļiem. Q Q P P
- Slides: 58