Lecture Three Electromagnetism and the Ether 1 5
















- Slides: 16
Lecture Three: Electromagnetism and the Ether
• 1. 5 Electromagnetism and the Ether • We have just seen that the laws of mechanics are invariant to a Galilean transformation. Are the laws of electromagnetism also invariant? •
• c = rt • where r is the distance from the source of the wave to the spherical wave front. We • can rewrite this as • r = ct or r 2 =c 2 t 2 • or • r 2 - c 2 t 2 = 0 • The radius r of the spherical wave is • r 2 = x 2 + y 2 + z 2 • Substituting this into previous equation gives • x 2 + y 2 + z 2 - c 2 t 2 = 0
• The S’ observer observes the coordinates x’ and t’, • which are related to the x and t coordinates by the Galilean transformation equations as • x = x’ + vt • y = y’ • z = z’ • Substituting these Galilean transformations into equation 1. 14 gives • (x’ + vt)2 + y’ 2+ z’ 2 – c 2 t`2 = 0 • x’ 2+ 2 x’vt + v 2 t 2 + y’ 2 + z’ 2 –c 2 t`2 = 0 • or • x’ 2 + y’ 2 + z’ 2 – c 2 t`2 = -2 x'vt-v 2 t 2 1. 15 • Notice that the form of the equation is not invariant to a Galilean transformation.
• Something is very wrong either with the equations of electromagnetism or with the Galilean transformations, and hence, a new transformation law was required. • A further difficulty associated with the electromagnetic waves of Maxwell was the medium in which these waves propagated. The more rigid the medium the higher the velocity of the wave. The ether, being a medium for propagation of an electromagnetic wave, should also be quite rigid in order to support the enormous speed of 3 x 108 m/s. Yet the earth moves through this rigid medium at an orbital speed of 3 x 104 m/s and its motion is not impeded one iota by this rigid medium. This is very strange indeed.
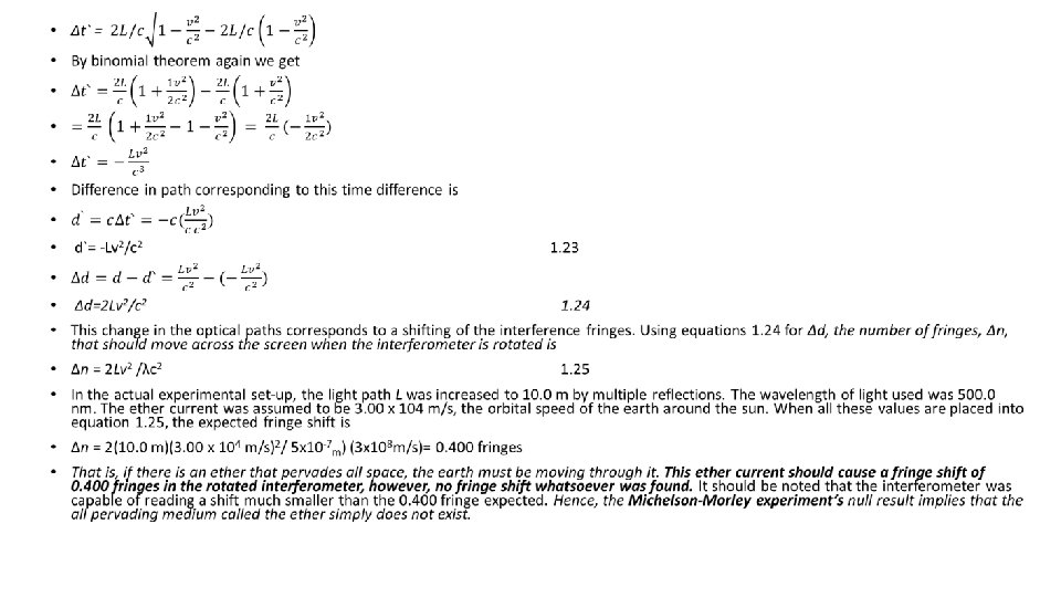
• 1. 6 The Michelson-Morley Experiment • If there is a medium called the ether that diffuses all of space, then the earth must be moving through this ether as it moves in its orbital motion about the sun. From the point of view of an observer on the earth the ether must flow past the earth, that is, it must appear that the earth is afloat in an ether current. The ether current concept allows us to consider an analogy of a boat in a river current
• 1. 7 - The Postulates of the Special Theory of Relativity • In 1905, Albert Einstein (1879 -1955) formulated his Special or Restricted Theory of Relativity in terms of two postulates. • Postulate 1: The laws of physics have the same form in all frames of reference • moving at a constant velocity with respect to one another. This first postulate is sometimes also stated in the briefer form: The laws of physics are invariant to a transformation between all inertial frames. • Postulate 2: The speed of light in free space has the same value for all observers, regardless of their state of motion.
• In order for the velocity of light to remain a constant independent of the motion of the source or observer, space and time itself must change. This is a revolutionary concept, indeed, because as already pointed out, Newton had assumed that space and time were absolute. • The Galilean equations for the transformation of velocity, which gave us the velocities of light as c’ = c -v and c’ = c +v, must be replaced by some new • transformation that always gives the velocity of light as c regardless of the velocity of the source or the observer. In section 1. 8 we will derive such a transformation.