Lecture on Analog to Digital Conversion Definitions Digital

  • Slides: 22
Download presentation
Lecture on Analog to Digital Conversion

Lecture on Analog to Digital Conversion

Definitions • Digital source produces a finite set of possible values. • Analog source

Definitions • Digital source produces a finite set of possible values. • Analog source produces a infinite set of possible values. • Signal is a measurable quantity (e. g. , voltage) which bears information. • Noise is a measurable quantity which carries undesired interference.

Why Digital? • • • Less expensive circuits Privacy and security Small signals (less

Why Digital? • • • Less expensive circuits Privacy and security Small signals (less power) Converged multimedia Error correction and reduction

Why Not Digital? • More bandwidth • Synchronization in electrical circuits • Approximated information

Why Not Digital? • More bandwidth • Synchronization in electrical circuits • Approximated information

Analog to Digital Conversion • Sampling: Obtaining values at discrete points in time. •

Analog to Digital Conversion • Sampling: Obtaining values at discrete points in time. • Quantization: Non-linear transformation that maps continuous values to discrete values. Analog Signal - Continuous time - Continuous value Sample Quantize - Discrete time - Continuous value Digital Signal - Discrete time - Discrete value

Sampling w(t) t 1 t 2 t 3 t 4 t 5 t

Sampling w(t) t 1 t 2 t 3 t 4 t 5 t

“sampler” ws(t) w(t) t 1 t 2 t 3 t 4 t 5 t

“sampler” ws(t) w(t) t 1 t 2 t 3 t 4 t 5 t

Gated Samples

Gated Samples

Gated Sample and Hold

Gated Sample and Hold

Impulse Samples

Impulse Samples

Sample and Hold

Sample and Hold

Quantization V output w 2(t) -V V input w 1(t) -V Region of operation

Quantization V output w 2(t) -V V input w 1(t) -V Region of operation For M=2 n levels, step size : = 2 V /2 n = V(2 -n+1)

Quantization Error, e V output w 2(t) -V V input w 1(t) -V /2

Quantization Error, e V output w 2(t) -V V input w 1(t) -V /2 - /2 Error, e input w 1(t)

 Error is symmetric around zero. 0

Error is symmetric around zero. 0

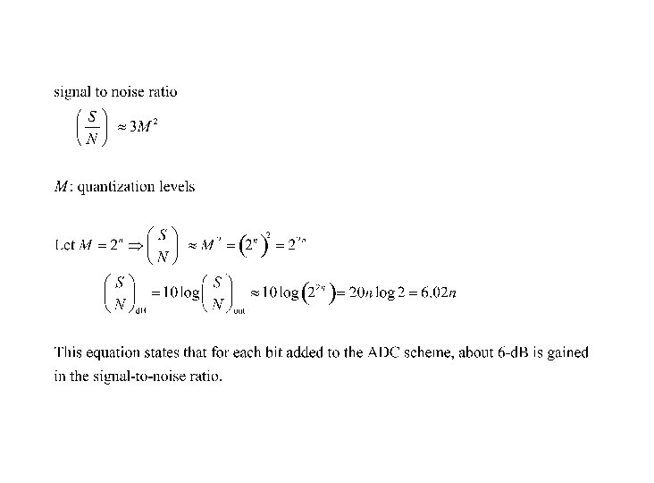
Noise Types of Noise • Quantizing noise (during A/D conversion) • Environment noise (e.

Noise Types of Noise • Quantizing noise (during A/D conversion) • Environment noise (e. g. , EM interference) • Filtering noise (low pass filtering at decoder) Types of Quantization Noise • Overload noise (input too large) • Random noise (input too small) • Granular noise (non uniform error jump) • Hunting noise (too long of quite time)

Non-uniform Quantizer Used to reduce quantization error and increase the dynamic range when input

Non-uniform Quantizer Used to reduce quantization error and increase the dynamic range when input signal is not uniformly distributed over its allowed range of values. allowed values for most of time input time

Digital to Analog Converter Circuit

Digital to Analog Converter Circuit

Analog to Digital Converter Circuit

Analog to Digital Converter Circuit