Lecture 8 Overview Final lecture today Can cover

































![The superpotential of the Next-to-Minimal Supersymmetric Standard Model (NMSSM) is [Dine, Fischler and Srednicki] The superpotential of the Next-to-Minimal Supersymmetric Standard Model (NMSSM) is [Dine, Fischler and Srednicki]](https://slidetodoc.com/presentation_image_h/0c1e86e5d9dfc8338c3056c8e94141c6/image-34.jpg)













- Slides: 47
Lecture 8
Overview Final lecture today! Can cover the following topics today: § Sfermion, chargino and neutralino masses §Fine Tuning Ø What this really means, how we may quantify it. Ø How LHC squark, gluino and Higgs searches affect this §Changing universality assumptions Ø Relaxing some constraints Ø Using different breaking scheme inspired constraints § Non-minimal Supersymmetry Ø Extend the chiral superfield content ØExtend the gauge structure Can give overview of all or focus on one or two?
MSSM Chiral Superfield Content Left handed quark chiral superfields Conjugate of right handed quark superfields Note: left handed fermions are described by chiral superfields, right handed fermions by anti-chiral superfields. Superpotential is a function of chiral superfields only so we include right handed fermions by taking the conjugate, which transforms as a left handed superfield!
MSSM Lagragngian density Superpotential With the gauge structure, superfield content and Superpotential now specified we can construct the MSSM Lagrangian.
EWSB conditions For successful EWSB: With:
Higgs Masses CP-even Higgs bosons CP-odd Higgs boson Goldstone bosons Charged Higgs boson
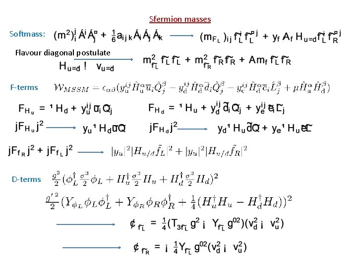
Sfermion masses Softmass: Flavour diagonal postulate F-terms D-terms
Sfermion masses Home exercise: find all the mistakes on the previous slide, then write in matrix form below and diagonalise.
Chargino and Neutralino masses (Home exercise) Hints: Soft masses: Superpotential: VEVs Kahler potential:
Chargino and Neutralino masses
Chargino and Neutralino masses
Chargino and Neutralino masses
Our Approach PA & D. J. Millier PRD 76, 075010 (2007) Compare dimensionless variations in: ALL parameters vs ALL observables Parameter space point, parameter space volume restricted by, `` Tuning: ``
Our Approach PA & D. J. Millier PRD 76, 075010 (2007) Compare dimensionless variations in: parameters vs observables Parameter space point, parameter space volume restricted by, `` `` Tuning: Probability of random point from lying in : But remember any parameter space point is incredibly unlikely if all equally likely (flat prior)! Fine tuning is when a special qualitative feature ( ) is far less likely that other typical case ( )
Our Approach PA & D. J. Millier PRD 76, 075010 (2007) Compare dimensionless variations in: parameters vs observables Parameter space point, parameter space volume restricted by, `` `` Tuning: Probability of random point from lying in : But what if : Any G << F large for all points (or all values of O) Global sensitivity (Anderson & Castano 1995)
Our Approach PA & D. J. Millier PRD 76, 075010 (2007) Compare dimensionless variations in: parameters vs observables Parameter space point, parameter space volume restricted by, `` `` Tuning: Probability of random point from lying in : But what if : Any G << F large for all points (or all values of O) Rescale to our expectation for
Regardless of measure details, fine tuning is increased when searches increase mass limits on squarks and gluinos: Search pushes up. Larger cancellation required!
Heavy stops Large soft masses and large one loop corrections Break c. MSSM link between stop masses and light squarks and evade fine tuning What about the Higgs? A relatively heavy Higgs requires heavy stops Tentative LHC Higgs signal LEP bound Tuning?
Fine Tuning Summary § Most important consideration at the LHC (by far) is what do we seec Ø Higgs? Beyond the standard model (BSM) signal? § If BSM signal is observed initially all efforts on understanding new physics. Ø Eventually will know if new physics solves Hierachy Problem Ø Residual tuning may also be a hint about highscale physics § If no SUSY signal? Where does that leave us? Ø Subjective question, depends on tuning measure, but also prejudice Ø Conventional wisdom: no observation ) SUSY is fine tuned! Ø Motivation for low energy SUSY weakened (doesn’t remove fine tuning). § No BSM signal at all Ø Hierarchy Problem motivated BSM models have tuning too. Ø Nature is fine tuned? Ø SM true up to Planck scale? Ø Or we need some great new idea
Beyond the CMSSM (Relaxing high scale constraints) Non-universal Higgs MSSM (NUHM) Motivated since Higgs bosons do not fit into the same SU(5) or SO(10) GUT multiplets: 10 + 16 5* + 1 10 5 + 5* Color triplets
Beyond the CMSSM (Relaxing high scale constraints) Non-universal Higgs MSSM (NUHM) Motivated since Higgs bosons do not fit into the same SU(5) or SO(10) GUT multiplets: Very mild modification to the CMSSM Impact: Higgs masses not linked to other scalar masses so strongly easier to fit EWSB constraints and other observables
Beyond the CMSSM (Relaxing high scale constraints) For universal gauginos we have a (one loop) relation: Testable predictions for gaugino universality! Non-universal Gaugino masses Breaks ratio get different gaugino mass patterns: One can also ignore the universality more parameters to consider the model with less prejudice, e. g. p. MSSM
Gauge Mediation In gauge mediated symmetry breaking the SUSY breaking is transmitted from the hidden sector via SM gauge interactions of heavy messenger fields. Chiral Messenger fields couple to Hidden sector SUSY breaking in messenger spectrum SM Gauge interactions couple them to visible sector Loops from gauge interactions with virtual messengers flavour diagonal soft masses. Loop diagram: Soft mass relations imposed at messenger scale Non-universal soft gaugino masses since they depend on gauge interactions! More details and a more general definition given in Steve Abel’s lectures
Minimal Gauge Mediated SUSY Breaking (m. GMSB) Messenger fields form Complete SU(5) representations Number of SU(5) multiplets Messenger scale From EWSB as in CMSSM
Beyond the MSSM Non-minimal Supersymmetry The fundamental motivations for Supersymmetry are: - The hierarchy problem (fine tuning) - Gauge Coupling Unification - Dark matter None of these require Supersymmetry to be realised in a minimal form. MSSM is not the only model we can consider!
The problem § The MSSM superpotential is written down before EWSB or SUSY breaking: ) it should know nothing about the EW scale. ( ¹-parameter has the dimension of mass! § The superpotential contains a mass scale! § What mass should we use? ) Forbidden by symmetry The natural choices would be 0 or MPlanck (or MGUT) § Phenomenological Constraints ) ¹ ¼ 0. 1 -1 Te. V ) Scale of origin
Solve the -problem by introducing an extra singlet [Another way is to use the Giudice-Masiero mechanism, which I won’t talk about here. ] Introduce a new iso-singlet neutral colorless chiral superfield the usual two Higgs doublet superfields. , coupling together If S gains a vacuum expectation value we generate an effective -term, automatically of oder the electroweak scale with We must also modify the supersymmetry breaking terms to reflect the new structure
So our superpotential so far is Yukawa terms effective -term But this too has a problem – it has an extra U(1) Peccei-Quinn symmetry Lagrangian invariant under the (global) transformation: This extra U(1) is broken with electroweak symmetry breaking (by the effective -term) massless axion!
massless axion! NMSSM Chiral Superfield Content Yukawa terms effective -term PQ breaking term
The superpotential of the Next-to-Minimal Supersymmetric Standard Model (NMSSM) is [Dine, Fischler and Srednicki] [Ellis, Gunion, Haber, Roszkowski, Zwirner] Yukawa terms effective -term PQ breaking term We also need new soft supersymmetry breaking terms in the Lagrangian: Modified Higgs sector: 3 CP-even Higgs, 2 CP-odd Higgs (new real and imagnary scalar S) “ Neutralino sector: 5 neutralinos (new fermion component of S)
Parameters: Top left entry of CP-odd mass matrix. Becomes MSSM MA in MSSM limit. minimisation conditions Finally: § The MSSM limit is ! 0, keeping / and fixed. § and are forced to be reasonably small due to renormalisation group running.
Supersymmetric Models § Minimal Supersymmetric Standard Model (MSSM) § Next to Minimal Supersymmetric Standard Model (NMSSM) [Dine, Fischler and Srednicki] [Ellis, Gunion, Haber, Roszkowski, Zwirner] Alternative solution to Peccei–Quinn symmetry : Decouple the axion PQSNMSSM Linear S term n. MSSM Eat the axion Z 0 models (e. g. USSM, E 6 SSM) In the latter we extend the gauge group of the SM with an extra gauged U(1) 0! When U(1)0 is broken as S gets a vev, Z 0 eats the masless axion to become massive vector boson!
Supersymmetric Models § Minimal Supersymmetric Standard Model (MSSM) § Next to Minimal Supersymmetric Standard Model (NMSSM) [Dine, Fischler and Srednicki] [Ellis, Gunion, Haber, Roszkowski, Zwirner] § Other variants: nm. MSSM, PQSNMSSM. § U(1) extended Supersymmetric Standard Model (USSM) § Exceptional Supersymmetric Standard Model (E 6 SSM) [S. F. King, S. Moretti, R. Nevzrov, Phys. Rev. D 73 (2006) 035009]
USSM Chiral Superfield Content Yukawa terms Problem: to avoid gauge anomalies effective -term
USSM Chiral Superfield Content Yukawa terms Problem: to avoid gauge anomalies Charges not specified in the definition of the USSM effective -term
U(1) extended Supersymmetric Standard Model (USSM) Yukawa terms effective -term Modified Gauge sector, new Z 0 Modified Higgs sector: 3 CP-even Higgs, 2 CP-odd Higgs (new real and imagnary scalar S) Modified Neutralino sector: 6 neutralinos: (new singlino + Zprimino )
Disclaimer: I work on the E 6 SSM Final part included for vanity
E 6 inspired models For anomaly cancelation, one can use complete E 6 matter multiplets New U(1)0 from E 6 § Matter from 3 complete generations of E 6 ) automatic cancellation of gauge anomalies! § In the E 6 SSM ) right-handed neutrino is a gauge singlet
Exceptional Supersymmetric Standard Model (E 6 SSM) [Phys. Rev. D 73 (2006) 035009 , Phys. Lett. B 634 (2006) 278 -284 S. F. King, S. Moretti & R. Nevzorov ] All the SM matter fields are contained in one 27 -plet of E 6 per generation. 10, 1 3 generations of “Higgs” + 5*, 2 + 5*, 27 exotic quarks -3 + 5, - 2 + 1, 5 singlets + 1, 0 SU(5) reps. right handed neutrino U(1)N charge
E 6 SSM Chiral Superfield Content Note: In it’s usual form there also two extra SU(2) doublets included for single step gauge coupling unification, but these are negleected here for simplicity.
SUSY Theory space Gauge group (vector superfields) USSM E 6 SSM Minimal superfields NMSSM Complete E 6 multiplets Chiral superfields
End of Supersymmetry Lecture course Thank you for listening
Sfermion masses