Lecture 8 Continuous Random VariablesII Last Time Continuous
Lecture 8 Continuous Random Variables-II Last Time Continuous Random Variables n CDF n Probability Density Functions (PDF) n Expected Values n Families of CRVs n Gaussian R. Vs Reading Assignment: Chapter 3. 1 – 3. 5 Probability & Stochastic Processes Yates & Goodman (2 nd Edition) 8 - NTUEE SCC_04_2008
Lecture 8: C. R. V. s (II) This Week Continuous Random Variables n n Gaussian R. Vs (Cont. ) n Delta Functions, Mixed Random Variables n Probability Models of Derived Random Variables n Conditioning a CRV Pairs of R. Vs. n Joint CDF n Joint PMF Reading Assignment: Sections 3. 6 -4. 1 Probability & Stochastic Processes Yates & Goodman (2 nd Edition) 7 -2 NTUEE SCC_04_2008
Lecture 8: Next Week: Midterm 4/23/2009, 3: 30 – 5: 30 pm Pay attention to the announcement on the web and Be Prepared and On Time! Probability & Stochastic Processes Yates & Goodman (2 nd Edition) 7 -3 NTUEE SCC_04_2008
Random Number Generation One of the most common PRNG is the linear congruential generator http: //en. wikipedia. org/wiki/Random_number_gen erator RANDOM. ORG - True Random Number Service www. random. org NIST: Random Number Generation and Testing http: //csrc. nist. gov/groups/ST/toolkit/rng/index. ht ml 8 -4
Pierre Simon M. Laplace (23 Mar. 1749 – 5 Mar. 1827) n n Mécanique Céleste Théorie analytique des probabilités Classical foudation of probabilities and Statistics definition of probability, Bayes's rule, least squares, Buffon's needle problem, inverse probability applications to mortality, life expectancy, the length of marriages, and legal matters n n Napoleon: 'M. Laplace, they tell me you have written this large book on the system of the universe, and have never even mentioned its Creator. ' Laplace answered bluntly, 'Je n'avais pas besoin de cette hypothèse-là. ' ['I had no need of that hypothesis. '] n Napoleon, told this reply to Lagrange, who exclaimed, 'Ah! c'est une belle hypothèse; ça explique beaucoup de choses. ' ['Ah, it is a fine hypothesis; it explains so many things. ']" 8 -5
Probability Generating Function n Definition If X is a discrete random variable taking values on some subset of the nonnegative integers, {0, 1, . . . }, then the probability-generating function of X is defined as: where f. X is the probability mass function of X. Note that the equivalent notation GX is sometimes used to emphasize the dependence on X. 12 - 6
Buffon’s Needle Problem first posed in the 18 th century by Georges-Louis Leclerc, Comte de Buffon Suppose we have a floor made of parallel strips of wood, each the same width, and we drop a needle onto the floor. What is the probability that the needle will lie across a line between two strips? n Q: Implication or Importance of Answering This Problem? 8 -7
8 -8
8 -9
8 - 10
8 - 11
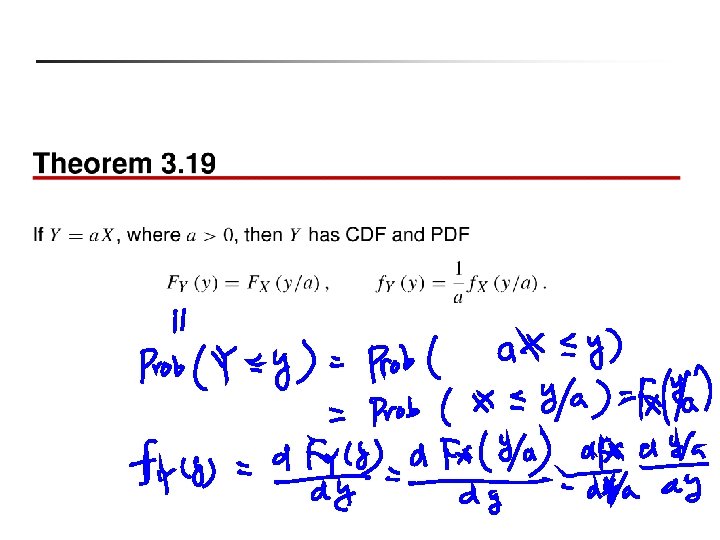
Normality is Preserved by Linear Transformation 8 - 12
8 - 13
8 - 14
Standard Normal Table 8 - 15
8 - 16
8 - 17
8 - 18
8 - 19
8 - 20
8 - 21
8 - 22
8 - 23
8 - 24
Signal Detection Example Transmitter: Signal S = +1 or -1 Noisy Channel: N ~ normal (0, s 2) Receiver: S+N > 0 S=1 < 0 S=0 Q: Error probability =? 12 - 25
8 - 26
8 - 27
8 - 28
8 - 29
8 - 30
8 - 31
Grade Adjustment Example Midterm exam grade distribution of a class N(61, 16) Q: How to adjust it to N(80, 9)? If your score is 71, what will it be after the adjustment? n 12 - 68
Buffon’s Needle Problem Suppose we have a floor made of parallel strips of wood, each the same width, and we drop a needle onto the floor. What is the probability that the needle will lie across a line between two strips? Idea: Use computer to generate random spread of needles over the striped floor Prob{cross a line} ~ # of line crossing needles/total # of needles Q 4: How do I use computer to “simulate” the random spread of needles? 8 - 69
Random Spread of Baffon’s Needles n Idea n X: horizontal location of the center of a needle from a left line X ~ U[0, t] n n Q: Orientation angle from a cross line Q ~ U[0, p] How? n Generation of U[0, 1]? n Generation of U[0, t] and U[0, p]? Q: FXQ(x, q) = 12 - 70
Signal Detection Example Transmitter: Signal S = +1 or -1 Noisy Channel: N ~ normal (0, s 2) Receiver: S+N > 0 S=1 < 0 S=0 Q: Error probability =? P(S=1|S+N=0. 2) = ? 8 - 81
- Slides: 99